Дипломная работа: Рейтинговая оценка деятельности коммерческого банка
Великолукская
государственная сельскохозяйственная академия
Курсовая
работа
по
курсу: Банковское дело
на
тему: Рейтинговая
оценка деятельности коммерческого банка
Выполнил студент 4 курса
экономического факультета
Ф1 группы
Николаенков Евгений Павлович
Проверила проф., доктор эк.
наук
Семёнова Елена Васильевна
Великие
Луки 2008
План
Введение
1. Понятие и виды рейтинговой
оценки банков
2. Современные методики рейтинговой
оценки банков
2.1
Обзор
методов оценки рейтингов коммерческих банков.
2.2
Описание
исходных данных и результатов их обработки
2.3
Разработка
математической модели
2.4
Применение
разработанной модели для оценки рейтингов КБ и РБС.
3.
Структурный
анализ расходных статей коммерческого банка
3.1
Сущность
и значение анализа доходов и расходов кб. Его место в составе анализа финансовых
результатов деятельности коммерческих банков
3.2
Оценка
основных методик анализа доходов и расходов коммерческих....20 банков в составе
анализа финансовой деятельности коммерческих банков
3.3
Основные
методики оценки расходов коммерческих банков
4.
Классификационные
группы кредитных организаций Росси
4.1
Общие
положения
4.2
Краткая
характеристика категорий и групп
5. Международные рейтинги
5.1
Из истории
о международных рейтингах
5.2
Методические
вопросы
5.3
Процедуры
присвоения рейтингов
5.4
Оценка
России международными рейтинговыми агентствами
5.5
Сравнительные
характеристики рейтинговых агентств
( Moody's, Standard
& Poor's, Fitch Ratings и «Рус-Рейтинг» )
5.6
Международные
рейтинги российских банков
6. Рейтинг долговых обязательств
6.1 Оценка риска облигации
6.2 Кредитный рейтинг эмитента
как инструмент определения рисков
6.3 Кредитный рейтинг эмитента
как кредитный спрэд облигации
7.
Банковские
рейтинги в России
7.1
Формирование
в России рейтинговой системы
7.2
Развитие
банковской системы и банковские услуги
7.3
Банковские
рэнкинги
7.4
Рейтинги,
основанные на многомерных списках
Заключение
Литература
Задачи
Приложение
Введение
Банковская система - ключевой элемент денежно-кредитной
системы, во всех странах признается важнейшим факто ром развития экономики. От её
совершенства во многом зависят не только экономика, но и положение государства на
международной арене, благополучие граждан. Банки относятся к числу наиболее регулируемых
организаций и учреждений. Во многом это связано с ролью кредитных организаций как
кровеносных сосудов экономики и для отдельных стран, и для бизнеса в глобальном
понимании. Динамичное развитие российской банковской системы - неотъемлемая
составляющая развития экономики страны в целом. Кредитование, безналичные расчеты
и переводы становятся все более привычными услугами. Все больше предприятий финансируют
собственное развитие за счет при влеченных средств, вследствие чего активы многих
банков за последние годы выросли в 2-3 раза. Все больше отечественных банков пони
мают важность и актуальность получения рейтинга - одного из важнейших условий улучшения
имиджа банка, укрепления его позиций в банковской системе и роста доверия к нему
со стороны клиентов и регулятора. Однако процесс присвоения рейтинга авторитетными
агентствами — дорогостоящая и относительно длительная процедура, а периодическое
обновление информации о банке требует постоянного пересмотра рейтинга.
Все большее значение
придается координации деятельности кредитных учреждений в международном масштабе.
На эти цели направлены усилия Базельского комитета и его структур. Эти же цели в
конечном счете преследуют международные и национальные рейтинговые агентства, которые
предоставляют бизнес-сообществу свои оценки хозяйствующих субъектов, в том числе
банков, в форме рейтингов вне зависимости от их национальной принадлежности. Рейтинг
банков - это система оценки их деятельности, основанная на финансовых
показателях работы и данных баланса банка. Рейтинг банка в целом состоит в выведении
свободной оценки по всем направлениям, которые подергаются анализу. Суверенный кредитный
рейтинг имеет важнейшее значение как для страны, получающей кредиты и займы, так
и для ее кредиторов. Он влияет на кредитные рейтинги российских облигаций частных
предприятий, рейтинги от дельных ценных бумаг, региональные кредитные рейтинги.
В свою очередь "частные" кредитные рейтинги в определенной мере учитываются
при определении суверенного кредитного рейтинга страны.
В условиях притока зарубежных инвестиций в банковскую
систему России и роста конкуренции у банков возникает необходимость в повышении
привлекательности для клиентов. Рейтинговая оценка - важный сигнал для потенциальных
инвесторов. В настоящее время деятельность банковского сектора России анализируют
четыре ведущие рейтинговые агентства, чьи рейтинги признаны международными финансовыми
институтами. Это - Standard&Poor's, Fitch, Moody's и
Рус-Рейтинг.
Цель курсовой
работы – исследование
сущности и понятия рейтинговой оценки деятельности коммерческих банков, Экскурс
в историю вопроса, в частности, о возникновении международных кредитных рейтингов,
о первом и последующих советских и российских опытах, о процедуре присвоения рейтингов,
об оценке России крупнейшими международными агентствами. Также об оценке рейтинга
долговых обязательств и о формировании в России рейтинговой системы банков.
Основные задачи
исследования:
–
раскрытие
экономической сущности, понятия и видов рейтинговой оценки банков;
–
разработка
современных методик рейтинговой оценки банков, структурный анализ расходных статей
коммерческого банка, классификационных групп кредитных организаций России; проведение
исследований в области истории вопроса о рейтинговой системе; зарубежный и российский
опыт;
–
анализ
современного состояния и развития банковских рейтингов в России; динамика суверенных
рейтингов в России
Для
написания данной работы использовались следующие методы: исторический, аналитический,
статистический, правовой, монографический.
1.
Понятие
и виды рейтинговой оценки банков
В современном понимании рейтинг - это комплексная
оценка состояния анализируемого субъекта, которая дает возможность отнести его к
некоторому классу или категории. Результаты исследования деятельности экономических
субъектов выражаются комбинацией символов, на базе которой осуществляется определенная
кластеризация, дающая возможность проведения текущей и сравнительной оценок. Рейтинги
являются достаточно значимой составляющей в области деловой информации - они необходимы
как для поддержания уровня делового доверия, так и в качестве индикатора перспективных
на правлений размещения финансовых ресурсов, вложения инвестиционных потенциалов.
Рейтинг по своей сути выполняет функцию преобразования достаточно больших объемов
информации в мнения и рекомендации по принятию решения наиболее компактным образом.
Кредитные рейтинги — самые распространенные и широко
используемые. Они присваиваются всеми ведущими международными рейтинговыми агентства
ми. Кредитный рейтинг — это мнение экспертов агентств относительно общей
кредитоспособности заемщика или кредитоспособности заемщика в отношении конкретных
долговых обязательств, основанное на анализе достаточно стандартизованных факто
ров риска. Эти рейтинги бывают долгосрочными, краткосрочными, присваиваются по международной
или по национальной шкале. Кредитный рейтинг представляет собой информацию, которую
инвесторы могут использовать при совершении операций с финансовыми инструментами
и ценными бумагами. Долго- и краткосрочные кредитные рейтинги присваиваются на суверенном,
субсуверенном уровнях, а также финансовым и нефинансовым экономическим субъектам
в национальной и иностранной валютах (что даёт наличие рейтинга - см. рис.1).
Рейтинговый подход
предполагает разработку системы значений показателей, в данном случае для оценки
показателей финансового состояния банка. Эта система включает несколько уровней
(групп, категорий) финансового состояния банков. Конечным результатом её является
отнесение анализируемого банка к той или иной группе. В мировой практике существует
три основных метода по строения рейтинга: номерной, балльный и индексный.
Номерная система рейтинга заключается в построении
сочетаний значений показателей финансового состояния банка и присвоении каждому
из этих сочетаний определённого места в рейтинге. В соответствии с технологией построения
номерная система рассчитана на слабо детализированную методику с небольшим охватом
факторов, влияющих на финансовое состояние банка, имеющих небольшую шкалу критериальных
значений.
Для построения
рейтинга в рамках более сложных методик используют балльную систему, которая
позволяет осуществить оценку финансового состояния банка в баллах, присвоенных ему
по каждому оценочному показателю. Сводная балльная оценка банка даёт возможность
определить принадлежность последнего к той или иной группе банков.
Помимо вышеназванных,
широко распространённых в мировой банковской практике рейтинговых систем существует
также относительно редко встречающийся индексный метод построения рейтинга.
При его использовании производится расчёт индекса каждого из оценочных показателей
финансового состояния банка. Расчёты могут производиться относительно базисных данных
или средних значений, рассчитанных за ряд лет.
Рейтинг - это
лишь сравнительная оценка уровней риска коммерческого банка по различным видам его
деятельности, способ сопоставления их между собой по величинам различных рисков
и позволяет:
·
интегрально
оценить состояние коммерческого банка;
·
сравнить
финансовое положение коммерческого банка;
·
дать обобщенную
характеристику состояния коммерческого банка;
·
оценить
динамику изменений за истекший период;
·
оценить
влияние внешних факторов на состояние банка;
·
дать основу
для вычисления стоимости акций коммерческого банка.
Ценность рейтинга заключается в едином, однородном
подходе к измерению и анализу показателя развития банков и позволяет оценить надежность,
риск возможного невыполнения банком своих обязательств, это косвенная и независимая
оценка риска возможных будущих потерь. Рейтинг - это не совет, как действовать,
это «информация к сведению» для всех частников рынка. Население и организации в
большинстве своем не имеют возможности оценить состояние того или иного банка для
вложения свободных ресурсов, возможности получения кредита на свои нужды. С прохождением
определенного количества времени ситуация среди банков меняется. Поэтому для ориентации
населения и юридических лиц необходима оценка состояния банка, т.е. рейтинг. Рейтинг
позволит кроме этого инвесторам провести оценку с каким из банков они могли бы без
проблем сотрудничать на долгосрочной основе.
Таблица 1. –
Что дает рейтинг
|
Что даёт наличие
рейтинга
|
|
Финансовому
посреднику
|
инвестору
|
|
• широкий доступ на рынок капиталов. Наличие рейтинга у
субъекта финансового сектора
довольно часто на практике улучшает условия доступа на финансовые
рынки за счет повышения доверия инвесторов и кредиторов к его долговым
обязательствам. Это может привести к снижению издержек финансирования. Многие
институциональные инвесторы не при обретают долговых обязательств у
субъектов, не имеющих рейтинга. В условиях растущей глобализации рынков
рейтинги стали ориентирами, помогающими эмитентам размещать свои ценные
бумаги во всем мире, расширяя рынок привлечения капитала;
• управление стоимостью кредитных ресурсов. Финансовый
посредник, имеющий кредитный рейтинг, получает более широкий выбор на рынках
капитала. У него больше альтернатив в источниках финансирования, чему банка,
не имеющего рейтинга. Это дает возможность финансовым организациям выбирать
наиболее эффективные формы заимствования и оптимизировать его стоимость.
|
• возможность принятия осознанного инвестиционного решения. Наличие
рейтинга у финансовой организации позволяет инвестору оценить, приемлемо ли
для него соотношение риск/до ходность для данного вложения, и сравнить с альтернативным
вариантом. Очевидно, что при прочих равных соотношениях риска и доходности
инвестор выберет финансового посредника, имеющего рейтинг ведущего
международного рейтингового агентства;
• большая открытость эмитента. Как правило, наличие кредитного
рейтинга у банка означает большую информационную прозрачность его
деятельности. Это связано с тем, что банк при подготовке рейтингового
заключения и в процессе процедуры под держания рейтинга представляет
рейтинговому агентству больший объем информации, чем другие компании, и в большинстве
случаев эта ин формация становится открытой для всех потенциальных
инвесторов.
|
В развитых странах
и странах с открытой экономикой постоянно проводятся рейтинги коммерческих банков,
которые позволяют проводить оценку состояния банка и в зависимости от этого принимать
определенные решения.
В мире на сегодняшний
день функционируют ряд рейтинговых агентств, которые присваивают рейтинги странам,
банкам, компаниям, проектам. К таким агентствам относятся Standard and Poor"s, Moody's, Fitch IBCA и другие.
Примером проведения
рейтинга коммерческих банков служит участие банков в программах международных кредитных
линиях Всемирного банка, ЕБРР и других международных финансовых институтов финансирования
МСП. Этот рейтинг проводился с согласия руководства коммерческого банка на предмет
их участия в кредитной линии, при отказе в участии показатели данного банка не рассматривались,
хотя среди отказавшихся были достойные банки, например, АК "Промстройбанк".
Но это был частный рейтинг и общественность не знает, по каким показателем были
отобраны банки для участия в кредитной линии, хотя нет сомнения, что они прошли
жесточайший отбор и заслужили право участия в кредитных линиях.
Основная функция
коммерческих банков - это кредитование экономики и все вышеуказанные факты способствуют
тому, что банковской системой будет направлено на кредитование реального сектора
больше ресурсов, чем до сегодняшнего дня. Тем не менее, банки кредитовали и будут
кредитовать надежных заемщиков, у которых хорошая кредитная история и которые не
подведут банки, а также будут находить и помогать становлению аналогичных заемщиков
из числа новых фирм и частных лиц.
Агентства «Standard & Poor's» и «Moody's» (совместно с агентством «Интерфакс»)
на регулярной основе по общепринятой методике присваивают так называемые страновые/суверенные
рейтинги. Системы этих рейтингов нацелены на достаточно оперативную и достоверную
оценку величины кредитных рисков в экономике страны. Из названных рейтингов исключен
риск дефолта. Между рейтингами международных и внутри страновых шкал существует
согласованность. Кроме этого, каждое из названных международных рейтинговых агентств
присваивает и некоторые специфические для отдельных агентств рейтинги, которые на
практике играют вспомогательную роль для принятия решений, т.е. дополняют кредитные
рейтинги.
Считается, что наличие у финансового учреждения даже
невысокого рейтинга, выставленного одним из ведущих международных рейтинговых агентств,
про изводит на мировое сообщество лучшее впечатление, чем отсутствие такого вообще.
Присвоение финансовому посреднику как кредитного, так и специфического для конкретного
рейтингового агентства рейтинга предоставляет ему по сравнению с финансовым институтом
без рейтинга ряд преимуществ. Это, прежде всего, повышение доверия со стороны клиентов,
расширение занимаемой доли на рынке банковских услуг, повышение рентабельности деятельности
банка и его конкурентоспособности. Иными словами, наличие рейтинга одинаково важно
как инвестору при принятии инвестиционного решения, так и финансовой организации,
которой присваивался рейтинг.
При выпуске долговых обязательств кредитный и прочие
рейтинги:
• снижают стоимость
заимствований, так как, с точки зрения инвесторов, риск по облигациям снижается
с неопределенно высокого до зафиксированного на понятном для них уровне;
• расширяют круг потенциальных инвесторов за счет
консервативных участников рынка капитала, имеющих ограничения на уровень риска по
финансовым вложениям;
•способствуют росту известности компании и её долговых
обязательств за счет распространения ин формации по каналам рейтингового агентства;
• демонстрируют намерения эмитента строить свои отношения
с инвесторами на принципах информационной открытости в соответствии с международными
стандартами.
Рассмотрим подробнее некоторые из специфических/специализированных
рейтингов, присваиваемых ведущими международными рейтинговыми агентства ми «Moody's», «Standard & Poor's» и «Fitch IBCA».
I. Рейтинги финансовой устойчивости (присваиваются агентствами
«Moody's» и «Fitch IBCA»). См. таблица 1.
Данные рейтинги отражают позицию агентства в от ношении
устойчивости и надежности финансовых посредников, исключая определенные внешние
кредитные риски и факторы внешней поддержки. Помимо кредитных организаций, эти рейтинги
могут при меняться и к другим типам финансовых учреждений, а именно: международные
банки развития, правительственные финансовые учреждения и национальные финансовые
институты развития.
Данные рейтинги не рассматривают своевременность выполнения
обязательств финансового учреждения, а отражают вероятность того, что банку потребуется
помощь третьей стороны (владельцев, государственных органов, других компаний). Они
не учитывают вероятность получения такой внешней помощи. Не рассматриваются также
риски, связанные с государственным вмешательством, которое может повлиять на способность
финансового посредника выполнить свои обязательства (как внутренние, так и внешние).
Среди факторов, учитываемых при присвоении рейтинга
финансовой устойчивости, выделяют такие специфические факторы, характеризующие деятельность
финансовых учреждений, как базовые финансовые показатели, диверсификация деятельности
и активов и прочее.
Таблица 1 - Рейтинги
финансовой устойчивости
|
Класс рейтингов
|
Рейтинг
|
Толкование рейтинга (степень устойчивости
|
|
А
(инвестиционный уровень)
|
А+
|
Высокая финансовая стабильность
не вызывает сомнений, вне зависимости от внешних условий и сроков
выполнения обязательств
|
|
А
|
Высокая финансовая стабильность не вызывает сомнений, может измениться
только при резком ухудшении макроэкономической ситуации |
|
А-
|
Стабильность не вызывает сомнений, сроки обеспечения платежеспособности
по обязательствам зависят от макроэкономической ситуации |
|
В
(нижний инвестиционный уровень)
|
В+
|
Стабильность обеспечена, сроки обеспечения платежеспособности зависят
от внешних условий |
|
В
|
Стабильность обеспечена, но сроки обеспечения платежеспособности
могут отличаться для краткосрочных и долгосрочных обязательств |
|
В-
|
Стабильность обеспечена при благоприятных внешних условиях |
|
С
(уровень спекулятивный)
|
С+
|
Стабильность зависит от внешних условий, возможно ухудшение |
|
С
|
Стабильность зависит от внешних условий, в ближайшей перспективе
существует вероятность повышения финансовой уязвимости |
|
С-
|
Стабильность зависит от внешних условий, в ближайшей перспективе
существует вероятность повышения финансовой уязвимости, необходима внешняя поддержка |
|
В
(уровень достаточно высокой уязвимости)
|
D+
|
Финансовая стабильность проблематична, необходима внешняя поддержка |
|
D
|
Стабильность вызывает большие сомнения |
|
D-
|
Стабильность не обеспечена |
|
E (высокая уязвимость)
|
Е
|
Высокая финансовая уязвимость |
К базовым финансовым показателям деятельности финансовых
посредников относятся; группа индикаторов, характеризующих структуру капитала, индикаторы
оценки активов; группа показателей оценки качества управления финансовым учреждением,
его операциями и рисками; оценки уровня доходности и ликвидности. Хотя при этом
исключаются внешние факторы, рейтинг учитывает устойчивость и перспективность роста
экономики, структуру и, соответственно, уязвимость финансовой системы, качество
регулирования и надзора за банковской деятельностью. В 2004г. Банк России зарегистрировал
Указание от 16.01.2004 № 1379-У «Об оценке финансовой устойчивости банка в целях
признания ее достаточной для участия в системе страхования вкладов», в котором в
основном представлены аналогичные индикаторы, исследуемые экспертами международных
рейтинговых агентств.
Рейтинги финансовой устойчивости связаны с рыночными
рисками, включающими в соответствии с рекомендациями Базельского
комитета процентный риск, валютный риск, фондовый и торговый риски. В материалах
Базельского комитета представлены и некоторые методики анализа уровня этих рисков
в статике, динамике и с элементами прогноза. Однако рейтинговые агентства не публикуют
свои развернутые методики анализа, поэтому посторонние аналитики не могут реально
оценивать обоснованность принимаемых экспертами агентств решений о присвоении того
или иного уровня рейтингов.
Для ранжирования применяются литеры от «А» до «Е»
с возможностью использования подградаций «+» и «-», которые характеризуют соответствующее
мнение экспертов агентств, а также отклонения базовых рейтингов от средних показателей
по соответствую щей группе.
Интерес представляет и рейтинг финансовой устойчивости,
присваиваемый страховым компаниям агентством «A.M. Best Company». Он представляет собой экспертную
оценку финансовой устойчивости страховых компаний и уровень безопасности капиталовложений
в их акции на основе всестороннего анализа финансовых возможностей страховщиков,
их финансовой устойчивости и платежеспособности. Агентство также учитывает прогнозные
оценки экспертов по ожидаемому уровню конкурентоспособности компании на рынке страховых
услуг на базе анализа результатов финансово-хозяйственной деятельности страховых
компаний, маркетинговой, инвестиционной и андеррайтерской политики страховщика.
Основой формирования рейтинга «A.M. Best Rating» агентства «A.M. Best Company» является общедоступная информация
— публичная годовая и квартальная отчетность страховых компаний; дополнительная
информация, содержащаяся в отчетах аудитора, отчетах о выпусках ценных бумаг и протоколах
собраний акционеров; информация, полученная от управленческого персонала компании
через анкетирование, в письменном виде и при встречах.
Для формирования рейтинга агентство использует систему,
включающую 16 категорий, сгруппированных в три группы/класса:
1)
группы
«безопасных» рейтингов:
«А++» и «А+» — превосходный;
«А» и «А+» — отличный;
«В++» и «В+» — очень хороший;
2) группы уязвимых рейтингов:
«В» «В-» — хороший;
«C++» и «С+» — предельный;
«С» и «С-» — низкий;
3) группы «дефолтных» рейтингов: «D» — крайне низкий;
«Е» — компания под надзором;
«F» — ликвидируемые компании;
«S» — приостановленный рейтинг.
Под безопасными рейтинговыми категориями агентства
«A.M. Best Company» понимаются рейтинговые классы,
означающие превосходную и хорошую финансовую устойчивость страховой компании, а
также высокую вероятность выполнения всех обязательств перед страхователями при
разнообразных экономических условиях и изменениях страхового рынка. Что касается
уязвимых рейтинговых категорий, то они подтверждают (от хорошей до крайне низкой)
финансовую устойчивость страховых компаний и их зависимость от неблагоприятных экономических
условий и изменений страхового рынка. К данным категориям также относятся категории,
означающие компании, находящиеся под государственным надзором, и ликвидируемые компании.
II. Рейтинги поддержки (присваиваются ведущими международными
рейтинговыми компаниями «Fitch IBCA» и «Standard & Poor's»).
Рейтинг поддержки, присваиваемый агентством «Fitch IBCA», представляет собой оценку
финансовой возможности субъекта (государства или организации), который готов оказать
финансовую поддержку конкретному субъекту финансового сектора. Для этой цели аналитики
агентства рассматривают уровень и динамику долгосрочного кредитного «поддерживающего»
рейтинга в иностранной, а при необходимости и в национальной валюте. В соответствии
с методикой анализа при присвоении рейтинга поддержки необходимо, чтобы поддерживающая
сторона была достаточно устойчива и могла оказывать поддержку финансовому учреждению
до тех пор, пока оно не сможет самостоятельно отвечать по своим обязательствам.
Но при этом не учитывается качество внутреннего кредита (это происходит при присвоении
индивидуального рейтинга). Поддержка необходима в случаях, когда имеются:
•наличие приоритетного долга (застрахованного или
незастрахованного), включающего межбанковские и прочие депозиты;
•задолженность, возникшая вследствие операции с производными
финансовыми инструментами и обязательств по выполнению гарантий;
• кредитные письма, акцепты и авали;
• потери от торговых операций и судебных издержек.
На практике поддержку субординированного долга
со стороны государственных органов довольно труд но
предварительно оценить, так как нередко она не закреплена юридически и зависит от
конкретной ситуации.
Рейтинговая шкала представлена цифрами от «1» до «5».
Рейтинг «1» присваивается финансовому учреждению,
для которого существует высокая вероятность получения внешней поддержки. Поддержку
осуществляет экономический субъект, которому агентством уже присвоен долгосрочный
кредитный рейтинг не ниже уровня «А-», характеризующий степень надежности «выше
среднего».
Рейтинг «2» присваивается
финансовому посреднику в случае, если вероятность поддержки со стороны также высока,
но субъекту поддержки присвоен долгосрочный кредитный рейтинг уровня «ВВВ-». Этот
рейтинг относится к той же зоне и классу, как и в предыдущем случае, но несколько
повышена вероятность, что субъект будет не в состоянии оказать полную поддержку
финансовому учреждению в силу собственных временных трудностей. Необходимо отметить,
что значения рейтинговых категорий, в которых присутствуют не только буквы, но и
знаки «+» или «-», являются уточненными.
В вышеперечисленных рейтингах поддерживающим субъектам
присвоены рейтинги инвестиционного класса самой низкой зоны.
Рейтинг «3» характеризует стабильность субъекта финансового
сектора как более уязвимую, так как рейтинг поддерживающей структуры находится в
спекулятивной зоне на уровне «ВВ-».
Рейтинг «4» свидетельствует об ограниченной возможности
финансового учреждения получить своевременную и/или полноценную поддержку в силу
того, что поддерживающему органу присвоен рейтинг уровня «В». Этот рейтинг находится
в спекулятивном классе и характеризуется «высокоспекулятивным» уровнем риска.
Рейтинг «5» характеризует состояние финансового посредника,
который в силу высокой финансовой уязвимости поддерживающего органа не может рассчитывать
на своевременную и полную поддержку. Поддерживающему органу присвоен рейтинг на
уровне «В-», т.е. тот же класс и тот же уровень, что и в предыдущем случае, но со
знаком «-».
Таким образом, рейтинги поддержки базируются на долгосрочных
кредитных рейтингах поддерживающего субъекта.
III. Рейтинги корпоративного
управления (присваиваются международными рейтинговыми агентствами «Moody's» и «Standard & Poor's»).
В 90-х гг. прошлого столетия возрос интерес к корпоративному
управлению у акционеров, менеджеров, директоров и иных заинтересованных финансовых
посредников и нефинансовых экономических субъектов. Появилась потребность в независимых,
сопоставимых в международном масштабе оценках для сравнения практики корпоративного
управления в различных странах и институциональных единицах. Концепция рейтингов
корпоративного управления нацелена на удовлетворение этой потребности.
Рейтинг корпоративного управления (РКУ), присваиваемый
агентством «Standard & Poor's»
Аналитики агентства приступили к разработке методологии
рейтингов корпоративного управления в начале (РКУ) 1998 г. После тестирования методологии
в ходе пилотных проектов руководство агентства приняло решение о создании специализированной
службы рейтингов корпоративного управления, и с 2000 г. оказываются рейтинговые
услуги в этой области. Данный рейтинг связан с динамикой эффективности принимаемых
менеджментом финансово го учреждения решений в сфере корпоративного управления и
присваивается по шкале от CGS-10 (самый высокий рейтинг) до CGS-1 (самый низкий).
Рейтинги CGS-10 или CGS-9 присваиваются финансовому
посреднику, который, по мнению экспертов рейтингового агентства, имеет очень эффективно
организованную систему корпоративного управления.
Рейтинги CGS-8 или CGS-7 свидетельствуют о наличии
достаточно эффективно организованной системы корпоративного управления, но с определенными
недостатками осуществления некоторых направлений анализа.
Рейтинги CGS-6 или CGS-5 присваиваются финансовым
учреждениям, которые имеют средние процессы и практику корпоративного управления.
У субъектов финансового сектора, получивших рейтинг корпоративного управления этих
категорий, есть слабые стороны в нескольких основных областях анализа.
Рейтинги CGS-4 или CGS-3 получают финансовые организации,
которые имеют слабо организованные и-структурированные направления анализа в соответствии
с требованиями системы корпоративного управления.
Рейтинги CGS-2 или CGS-1 означают, что компании
почти осознанно не используют элементы системы корпоративного управления и не осуществляют
мониторинг в соответствии с основными аналитическими направлениями этой системы.
Рейтинг корпоративного управления является результатом
оценок, выставленных отдельно по четырем компонентам:
1. Структура собственности и влияние со стороны акционеров.
Анализ этого
блока связан с раскрытием информации о номинальных владельцах акций; выстраиваются
схемы четких и однозначных отношений между ними, степень аффилированности акционеров
и влияния отдельных групп акционеров на стратегию, политику и тактику финансового
учреждения. Таким образом прослеживается концентрация ряда финансовых и банковских
рисков, возникающих вследствие деятельности реальных и/или номинальных владельцев.
Основными факторами, характеризующими этот компонент рейтинга, являются: прозрачность
структуры собственности; концентрация собственности и влияние на принимаемые решения
со стороны самых значимых собственников.
2. Права финансово-заинтересованных лиц и от ношения
с такими лицами. Анализ осуществляется по следующим направлениям:
• регулярность
и частота проведения собрания акционеров, возможность принятия в них участия и по
лучения оперативной и достоверной информации о них;
• процедуры голосования и регламент ведения собраний
акционеров;
• права собственности (регистрация и передача, равенство
прав собственности).
3. Финансовая прозрачность и раскрытие информации,
к которым относятся:
• общепринятые стандарты раскрытия информации;
• своевременность и доступность раскрываемой информации;
• независимость аудитора и его статус.
4. Структура и методы работы Совета директоров (репутация
и независимость его членов; их участие в мониторинге деятельности субъекта финансового
сектора, адекватность уровня вознаграждения членов), включающие:
• структуру и состав Совета директоров;
• роль и эффективность Совета директоров;
• роль и независимость внешних директоров;
• политику в области вознаграждения, оценки результатов
работы и должностных перемещений директоров и менеджеров.
Рейтинг корпоративного управления является и качественной
интерпретацией количественных индикаторов, измеряющих уровень кредитного риска.
Оперативное и достоверное определение уровня кредитного риска в статике, динамике
и с элементами прогноза необходимо для обеспечения стабильных отношений и согласования
интересов акционеров, инвесторов, кредиторов, клиентов и менеджмента любой кредитной
организации. Для более точного определения уровня кредитного риска и принятия адекватных
мер в случае его повышения необходимо на регулярной основе анализировать уровень
отраслевого риска, динамику рисков, связанных с операциями на фондовом рынке
(фондовой риск), производными финансовыми инструментами, за балансовыми сделками.
Необходимо отметить, что поддержание приемлемого уровня
вышеупомянутых рисков немыслимо без создания методологии анализа уровня процентного
риска.
IV. Индивидуальные рейтинги
(присваиваются международным рейтинговым агентством «Fitch IBCA»).
Индивидуальный
рейтинг является индикатором возможности самого финансового посредника «поглотить»
ряд возникших в процессе его деятельности финансовых и банковских рисков. Основными
индикаторами, на базе которых эксперты рейтингового агентства принимают решение
о присвоении соответствующего рейтинга, являются:
• прибыльность;
• полнота, достоверность и оперативность баланса финансовой
организации, включая уровень капитализации;
• наличие/отсутствие каких-либо льгот со стороны государственных
или регулирующих органов или учреждений;
• качество менеджмента, включая степень проработки
стратегии, политики и тактики деятельности в статике, динамике и с элементами прогноза;
• оперативная внутренняя и внешняя среда осуществления
деятельности;
• последовательность, логичность управления капиталом
финансовой организации, в том числе его диверсификация по географическим и функциональным
направлениям деятельности финансового учреждения.
Основные рейтинги, присваиваемые рейтинговым агентством
«Fitch»:
• рейтинг «А» — банк с очень высоким уровнем финансовой
устойчивости. Традиционные финансовые и банковские риски, которые он принимает на
себя, достаточно хорошо оптимизированы и сбалансированы. На практике это финансовые
учреждения «лидеры», «звезды» или «коты»3; в случае, если они организованы
недавно, — это «собаки»4;
• рейтинг «В» — финансовый посредник финансово устойчив,
но в периоды обострения кризисных явлений может испытывать временные трудности;
• рейтинг «D» — слабая активность финансового
посредника. Финансовое положение оценивается как уровень «ниже среднего», а его
доходность - неудовлетворительная. Существует вероятность восстановить активность
за счет собственных ресурсов, но для этого потребуется некоторое время;
• рейтинг «Е» - финансовое учреждение достаточно уязвимо,
ему необходима внешняя поддержка.
Кроме этого, существуют и рейтинговые градации, которые
находятся между основными рейтингами, -«А/В», «В/С», «C/D» и «D/E».
Основные принципы, которых придерживаются рейтинговые
агентства, должны обеспечивать достаточно адекватные основным рискам рейтинги.
Основные принципы, служащие базой для принятия решения
о присвоении, изменении или отзыве рейтингов конкретному финансовому учреждению:
а) независимость — присвоенный рейтинг представляет собой
независимое мнение экспертов агентства относительно уровня финансовой устойчивости,
возможности субъекта финансового сектора принимать на себя ряд финансовых и банковских
рисков, вероятности получения поддержки от государственного органа или коммерческой
организации в случае возникновения дестабилизирующей ситуации, а также эффективности
организации системы корпоративно го управления. Независимость мнения аналитиков
агентства от интересов любых участников рынка, государственных и коммерческих организаций
— одна из важнейших гарантий объективности оценок в целях присвоения конкретного
вида рейтинга. Наряду с качеством аналитической работы, независимость обусловливает
и точность присвоенных рейтингов;
б) публичность аналитических критериев — дает всем заинтересованным
субъектам (например инвесторам)
полное представление об аналитических подходах агентства
при оценке рисков. Все критерии (но не конкретные индикаторы методологии) доступны
и размещены на сайтах ведущих рейтинговых агентств;
в) коллегиальность — процедура принятия решения, позволяющая
исключить любую возможность манипуляции мнением аналитиков. Рейтинговый комитет
является важнейшим механизмом в процессе присвоения рейтингов, гарантирующим непредвзятость
оценки аналитиков, контроль качества и отсутствие давления на мнение экспертов со
стороны. Рейтинговый комитет формируется из 5-9 профильных специалистов в зависимости
от особенностей эмитента. В задачу рейтингового комитета входят детальное обсуждение
рейтингового отчета по конкретному финансовому учреждению и присвоение рейтинга
определенного уровня посредством голосования;
г) интерактивность — на ее основе построено взаимодействие
с финансовым учреждением в процессе присвоения конкретного рейтинга и последующего
наблюдения за ним. Аналитики агентств полагаются, прежде всего, на информацию, полученную
от самого объекта исследования, а также на кропотливое, детальное обсуждение всех
возможных ситуаций, способных повлиять на уровень его финансовой устойчивости. Интерактивность
подразумевает регулярные встречи с руководством исследуемого субъекта и постоянный
информационный контакт, позволяющий оперативно реагировать на происходящие изменения
— внешние и/или внутренние;
д) конфиденциальность информации — важнейшее условие
работы руководства рейтинговых агентств с клиентами. Она позволяет гарантировать
клиентам не разглашение переданной аналитикам конфиденциальной информации и предание
огласке рейтинга только с разрешения исследуемого субъекта;
е) использование рейтинговых шкал. Шкала дает возможность
сравнивать финансовые учреждения разных стран и регионов (различный уровень суверенных,
правовых и нормативных рисков), различной специфики деятельности (различная ранжировка
по значимости отдельных финансовых и банковских рисков) по величине принимаемых
на себя рисков;
ж) постоянный анализ вероятности возникновения кризисной
ситуации или дефолта с целью оперативного изменения присвоенных рейтингов или даже
их отзыва.
Информацию о присвоении рейтингов ведущими международными
рейтинговыми агентствами можно получить из интернет-сайтов и пресс-релизов. На практике
на сайтах отражаются только уровни рейтингов и даты их присвоения. В пресс-релизах
почти всегда отмечаются некоторые ключевые моменты, на базе которых присвоены соответствующие
рейтинги, но конкретные методики не раскрываются.
Для осуществления
более полного анализа основных индикаторов, на базе которых эксперты агентств присваивают
тот или иной рейтинг, необходимо сформировать альбом рейтингов. В нем следовало
бы от разить рейтинги, их расшифровку с точки зрения анализа уровня основных финансовых
и банковских рис ков, а также их связь с уровнем финансовой устойчивости исследуемого
экономического субъекта.
Таким образом, рейтинги как стран, региональных и
муниципальных образований, субъектов финансового сектора экономики, так и нефинансовых
организаций и предприятий стали важным информационным средством, инструментом установления
и поддержания деловых отношений в рамках хозяйственной деятельности и регулирования
делового общения. В условиях притока зарубежных инвестиций в банковскую систему России
и роста конкуренции у банков возникает необходимость в повышении привлекательности
для клиентов. Рейтинговая оценка - важный сигнал для потенциальных инвесторов. Однако
рейтинги международных агентств присвоены лишь незначительной части российских банков.
Свобода выбора в рыночной экономике должна подкрепляться
уверенностью в надежности партнера. Для принятия решения недостаточно внутренних
оценок и зачастую необходима оценка независимых экспертов. Такую роль в современном
обществе играет, в частности, система рейтингов. Показатели рейтинга в компактной
и ёмкой форме характеризуют состояние и перспективные тенденции изменения финансовой
стабильности банка, играя роль индикаторов для принятия решений, установления и
поддержания деловых отношений. Текущий уровень рейтинга и динамика его изменения
служат сигналами для сохранения, расширения или свертывания взаимосвязей.
2. Современные методики рейтинговой
оценки банков
2.1 Обзор методов оценки рейтингов
коммерческих банков
В условиях жесткой
межбанковской конкуренции для принятия экономически обоснованных решений по проведению
активных операций с коммерческими банками (КБ) клиенты нуждаются в объективной информации
о финансовом состоянии этих КБ. Для получения такой информации необходима классификация
КБ, которая может осуществляться по их рейтингам. Рейтинги КБ позволяют любому клиенту
сравнивать и оценивать состояние различных КБ без проведения глубокого анализа их
деятельности. Наличие же рейтинга российской банковской системы (РБС) в целом необходимо
как Правительству и ЦБ России для выработки решений по управлению РБС, так и целому
ряду национальных и международных организаций. Учитывая предстоящее вступление России
в ВТО и ожидаемое увеличение количества высокоресурсных иностранных банков на российском
рынке банковских услуг, наличие точных количественных рейтингов отдельных российских
банков и РБС в целом также необходимо для регулирования квоты допуска иностранных
банков на российский рынок, в т. ч. и для решения вопросов конкурентоспособности
российских и иностранных банков на территории России.
Наличие высокого
рейтинга КБ и РБС дает им ряд известных преимуществ, таких как:
•возможность расширения
занимаемой доли рынка;
•повышение рентабельности
работы и конкурентоспособности на рынке заемных ресурсов за счет снижения стоимости
привлечения ресурсов и установления ставок в зависимости от рейтинга;
•повышение доверия
со стороны клиентов, рост привлекательности в качестве заемщика, а значит, привлечение
новых клиентов и их ресурсов.
Исторически известны
следующие рейтинговые системы оценки экономического состояния КБ.
Среди зарубежных
рейтинговых систем наиболее широко распространенной является система CAMEL, которая
является заочной и дает 5 качественных уровней состояния КБ. Количественные оценки
отсутствуют.
Среди российских
дистанционных рейтинговых систем известны следующие: методика Агентства банковской
информации еженедельника «Экономика и Жизнь», рейтинги КБ газеты «Коммерсант-Daily»,
рейтинги кредитоспособности КБ московского региона МБО «Оргбанк», рейтинги стабильных
КБ Аналитического центра финансовой информации, методика классификации КБ по группам
надежности Информационного центра «Рейтинг», банковские рейтинги «Интерфакс-100»
и др.
Перечисленные
зарубежные и российские рейтинговые системы оценки КБ используют внешнюю и крайне
ограниченную информацию, в основном, из балансов КБ. Как правило, описанные системы
применяют большое число показателей КБ. «Свертывание» этих показателей в выходной
рейтинг КБ иногда осуществляется с помощью «весов», которые получают либо сомнительным
экспертным путем, либо метод определения этих «весов» вообще не объясняется, тогда
как определение «весов» показателей КБ является едва ли не самым главным при определении
рейтинга КБ.
За последние годы
в журналах «Коммерсант-Деньги», «Профиль», «Финансы и Кредит» появились попытки
получения количественных рейтингов КБ, однако при их анализе можно заметить, что
либо метод получения количественных оценок не приводится вообще, либо эти оценки
откровенно некорректны, либо они снова замешаны на эвристике.
Бесспорно, наиболее
точными являются количественные рейтинги КБ и РБС, получаемые на основе математических
методов.
2.2 Описание исходных статистических данных и результатов
их обработки
В данной статье
использованы статистические данные о 300 самых крупных российских КБ. Указанные
данные опубликованы в журнале «Профиль», № 4, 2002 по состоянию на 1 декабря 2001г.
Ввиду того, что эти статистические данные приведены в тыс. рублей, соответствующие
цифры имеют до 9 разрядов. Поэтому для снижения масштабов программных расчетов все
исходные статистические данные были переведены в долларах США по курсу 31,2 руб.
за 1 доллар. Следует также отметить, что капиталы 75 из 300 КБ приведены с учетом
субординированного кредита. И, наконец, в 300 КБ включено несколько КБ с иностранным
капиталом, действующих на территории России.
Результаты обработки
описанных статистических данных приведены в таблице 2.1
Таблица 2.1 -
Результаты
обработки описанных статистических данных
|
Статистические характеристикиПоказатели
КБ
|
Общая сумма показателей
КБ,млн. долл.
|
Показатель СБР,млн. долл.
|
Ошибка оценки показателя
СБР,млн. долл.
|
| Капитал |
13 908,539 |
46,362 |
12,233 |
| Работающие активы |
60 708,608 |
202,362 |
76,099 |
| Ликвидные активы |
8 633,986 |
28,780 |
8,447 |
| Обязательства до востребования |
44 703,655 |
149,012 |
68,625 |
| Суммарные обязательства |
62 836,715 |
209,456 |
79,111 |
| Защита капитала |
2 907,717 |
9,692 |
6,260 |
| Уставной фонд |
6 978,691 |
23,262 |
5,547 |
| Суммарные активы |
77 796,050 |
259,320 |
90,350 |
| Прибыль |
1 826,533 |
6,088 |
2,548 |
| Привлеченные средства других
КБ |
7 890,639 |
26,302 |
5,511 |
В первом столбце
таблицы приведены общие суммы соответствующих показателей 300 КБ. Во втором столбце
приведены средние арифметические значения соответствующих показателей КБ, которые,
в свою очередь, являются показателями среднего банка России (СБР), характеризующего
собой РБС в целом. В третьем столбце представлены ошибки оценки средних арифметических
значений, т.е. ошибки оценки показателей СБР.
Данная выборка
из 300 самых крупных российских КБ является системообразующим ядром РБС, и характеристики
этого ядра, в соответствии с положениями выборочной теории, можно распространить
на всю РБС. Так, учитывая что все показатели КБ в составе РБС имеют распределение
Гаусса (Hauss) и это проверено по критериям согласия, можно утверждать следующее:
• если взять значение
какого-то показателя СБР в пределах плюс-минус одного среднеквадратического отклонения
(СКО), то этот показатель будет верен для 68% банков РБС;
• если взять значение
показателя СБР в пределах плюс-минус два СКО, то этот показатель будет верен для
95% банков РБС;
• если же взять
значение показателя СБР в пределах плюс-минус три СКО, то этот показатель будет
верен для более, чем 99% банков РБС.
В целом, в каждый
момент РБС представляет собой изменяющуюся во времени генеральную совокупность рейтингов
КБ как реализаций случайных процессов, происходящих в банках этой РБС. Эта генеральная
совокупность имеет свои статистические характеристики, в т. ч. центр группирования
(среднее арифметическое), рассеяние (дисперсия, СКО, коэффициент вариации), закон
распределения и др.
2.3 Разработка математической модели
Разработку математической
модели оценки рейтингов КБ и РБС целесообразно начать с выбора коэффициентов, всесторонне
характеризующих как каждый КБ, так и РБС в целом. В настоящее время существует достаточно
много показателей КБ, опубликованных, например, в работах. C учетом существующей
практики оценки экономического состояния КБ с помощью коэффициентов выберем для
математической модели оценки рейтингов КБ и РБС следующие коэффициенты.
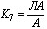
Коэффициенты
достаточности капитала
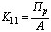
— показывает, насколько
вложения КБ в работающие активы (Ар) защищены собственным капиталом КБ (К), которым
будут погашаться возможные убытки в случае невозврата или возврата в обесцененном
виде того или иного работающего актива.
— показывает отношение
капитала КБ к суммарным обязательствам (СО), — т. е. масштаб осуществляемых КБ операций.
— показывает, какая
часть собственного капитала КБ сформирована за счет прибыли, т. е. за счет деятельности
самого КБ (УФ — уставной фонд).
— показывает, насколько
КБ учитывает инфляционные процессы и какую долю своих активов размещает в недвижимости,
ценностях, оборудовании (ЗК — защищенный капитал).
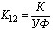
Коэффициенты
ликвидности КБ
— коэффициент мгновенной
ликвидности показывает, насколько КБ использует клиентские деньги в качестве собственных
кредитных ресурсов (ЛА — ликвидные активы, ОВ — обязательства до востребования).
— показывает, какую
часть суммарных обязательств КБ может вернуть по первому требованию клиентов.
— показывает долю
ликвидных активов в общей сумме активов (А) и характеризует масштаб принимаемых
КБ рисков.
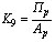
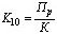
Коэффициенты
рентабельности КБ
— характеризует
эффективность использования банком привлеченных ресурсов (Пр — прибыль КБ).
— характеризует
эффективность операций КБ.
— показывает эффективность
использования собственного капитала.
— показывает размер
прибыли по отношению к валюте баланса или эффективность использования всех ресурсов.
— показывает эффективность
работы КБ, т. е. способность наращивать свой капитал за счет прибыли, а не за счет
дополнительных эмиссий акций.
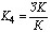
Коэффициент
качества активов
— показывает, в
какой мере КБ использует имеющиеся у него ресурсы для получения дохода.
Коэффициенты
качества пассивов
— характеризует
стабильность ресурсной базы, которую обеспечивают долгосрочные обязательства.
— показывает зависимость
ресурсной базы КБ от рынка краткосрочных банковских капиталов (Кр — сумма привлеченных
кредитов банков). Используя данные таблицы, рассчитаем выбранные коэффициенты, которые
характеризуют средний банк России:
К1 = 0,229; К2
= 0,221; К3 = 0,498; К4 = 0,209; К5 = 0,193;
К6 = 0,137; К7
= 0,111; К8 = 0,029; К9 = 0,030; К10 = 0,131;
К11 = 0,023; К12
= 1,993; К13 = 0,780; К14 = 0,288; К15 = 0,874.
Теперь уравнение
для оценки рейтингов КБ и РБС можно записать в виде:
W = Р1 К1 + Р2
К2 + ... + Р15 К15,
где: Р1, Р2, ...
,Р15 — «финансовые веса» коэффициентов.
Для расчета «финансовых
весов» коэффициентов рассчитаем опорное значение рейтинга СБР. С этой целью примем
«веса» всех коэффициентов равными, т.е. К1 = К2 = ... = К15 = 1. В результате суммирования
выше обозначенных значений коэффициентов получим опорное (базовое, исходное, нулевое)
значение рейтинга СБР W = 5,746.
Далее используем
метод оценки функций влияния того или иного коэффициента на выходную сумму этих
коэффициентов и по степени этого влияния определим «финансовый вес» каждого коэффициента.
Определение «финансовых
весов» коэффициентов необходимо, ибо простая сумма этих коэффициентов может давать
ошибочную оценку рейтинга КБ. Например, высокий рейтинг КБ может быть получен за
счет больших значений менее важных показателей КБ, в то время как более важные показатели
КБ будут иметь достаточно скромные значения.
Определение «финансовых
весов» показателей КБ является достаточно трудной задачей. Качественных решений
этой задачи много (см. выше), что негативно, так как это означает, что существует
много мнений о «финансовых весах» тех или иных показателей КБ и нет единого мнения
об этих «весах» тем более в математической форме.
Определение «финансовых
весов» показателей КБ и с их помощью «весов» коэффициентов выходит за рамки определения
«весов» в математике. При работе с детерминированными процессами «математические
веса» зависят от точности измерения наблюдений. При работе со случайными процессами
«математические веса» также зависят от точности оценки наблюдений, т. е. от их дисперсии.
Таким образом,
«математические веса» показателей базируются на точности определения этих показателей,
что в банковском деле может быть неприемлемо. Так, показатель, имеющий большой «математический
вес», при определении рейтинга КБ может играть незначительную роль и наоборот. Поэтому
«финансовые веса» показателей КБ и, соответственно, коэффициентов уравнения рейтинга
целесообразно определять по степени влияния этих показателей на выходную сумму указанного
уравнения.
Для получения
оценок функций влияния необходимо давать одному показателю уравнения (модели) определенное
отклонение, фиксировать все остальные показатели и измерять выходной результат модели,
т. е. отклонение результата модели от его опорного значения, которое определено
выше и составляет W = 5,746.
Выбор отклонений
показателей СБР от их средних значений осуществлялся с учетом ограничений, чтобы
не создавать нереальные ситуации типа ОВ > СО и т.д. Расчет «финансовых весов»
показателей СБР проводился дважды. На первом этапе отклонения показателей СБР от
их средних значений брались в диапазоне плюс-минус 20 %. На втором этапе в качестве
отклонений показателей СБР от их средних значений бралась плюс-минус одна ошибка
оценки среднего арифметического соответствующего показателя СБР (см. таблицу). Результаты
оценки «финансовых весов» показателей СБР по вышеуказанным двум этапам полностью
совпали, что свидетельствует о корректности этих оценок.
Таким образом,
были определены «финансовые веса» десяти показателей СБР: К, Ар, ЛА, ОВ, СО, ЗК,
УФ, А, Пр, Кр. Используя эти «веса», можно легко находить «финансовые веса» коэффициентов
модели и, соответственно, рейтинги КБ и РБС.
Технику определения
«финансовых весов» показателей КБ покажем на примере капитала СБР. Варьируя значением
капитала СБР $46,362 млн. (см. таблицу) в пределах плюс-минус 20%, получаем:
•при значении
капитала СБР $55,634 млн. модель дает на выходе W = 6,262, что превышает опорное
значение W = 5,746 на 0,516;
•при значении
капитала СБР $37,089 млн. модель дает на выходе W = 5,217, что ниже опорного значения
W = 5,746 на 0,529;
• разделив сумму
отклонений модели от опорного значения на диапазон изменения капитала $18,545млн.,
получим, что «финансовый вес» капитала равен Р (К) = (0,516 + 0,529) / $18,545 млн.
= 0,05634 1/млн.
Аналогично рассчитаны
и «финансовые веса» других показателей:
Р(Ар) = 0,00252
1/млн.; Р(СО) = 0,00223 1/млн.;
Р(УФ) = —0,11069
1/млн.; Р(ЗК) = 0,02166 1/млн.;
Р(ЛА) = 0,01537
1/млн.; Р(ОВ) = —0,00612 1/млн..;
Р(А) = —0,00370
1/млн.: Р(Пр) = 0,03532 1/млн..;
Р(Кр) = —0,00475
1/млн.
Полученные оценки
«финансовых весов» показателей СБР свидетельствуют об их большом разбросе и о необходимости
их масштабирования. Как видно из изложенных результатов, наибольшие «финансовые
веса» имеют такие показатели как УФ, К, Пр, ЗК и ЛА.
2.4 Применение разработанной модели для оценки
рейтингов Коммерческих Банков и Российской Банковской Системы
Таким образом,
получены «финансовые веса» всех показателей КБ, входящих в коэффициенты модели оценки
рейтингов. Указанные «веса» для более удобного их использования необходимо масштабировать.
С этой целью умножим все исходные «финансовые веса» на 100, после чего запишем эти
«веса» в окончательном виде:
Р(УФ) = —11,069
1/млн..; Р(К) = 5,634 1/млн..; Р(Пр) = 3,532 1/млн..;
Р(ЗК) = 2,166
1/млн..; Р(ЛА) = 1,537 1/млн..; Р(ОВ) = —0,612 1/млн..;
Р(Кр) = —0,475
1/млн..; Р(А) = —0,370 1/млн..; Р(Ар) = 0,252 1/млн..;
Р(СО) = 0,223
1/млн..
Наличие отрицательных
«финансовых весов» естественно, так как все входящие в модель рейтинга коэффициенты
являются отношениями соответствующих показателей. Поэтому, если знаменатель какого-то
отношения уменьшается, то это отношение растет и, следовательно, растет и искомый
рейтинг. Это значит, что «финансовый вес» рассмотренного знаменателя в отношении
будет отрицательным.
Полученные «финансовые
веса» характеризуют значимость широко известных банковских показателей и коэффициентов
в принятой модели оценки рейтингов. Так, например, в модель можно включать коэффициент,
характеризующий качество ссудного портфеля КБ с точки зрения наличия просроченной
задолженности, коэффициент, показывающий долю кредитов в сумме работающих активов,
что свидетельствует об активности КБ на рынке услуг, коэффициент клиентской базы,
показывающий долю расчетных и текущих счетов в привлеченных ресурсах, коэффициент,
показывающий, насколько КБ сохраняет разумное соотношение между ликвидностью и рентабельностью
операций, различные кросс-коэффициенты и др.
Используя вышеприведенные
«финансовые веса», для СБР, характеризующего РБС в целом, получаем, что рейтинг
СБР и, соответственно, рейтинг системообразующего ядра РБС составляет W = 16,183.
Заметим здесь, что рейтинг СБР — это рейтинг центра группирования российских банков.
Это значит, что рейтинги отдельных КБ могут быть как выше, так и ниже рейтинга СБР.
Для иллюстрации
работоспособности предложенного метода рассчитаем рейтинги нескольких КБ, находящихся
в РБС на различных уровнях иерархии:
Газпромбанк
. 15,240, Евротраст . 19,020, Желдорбанк 27,988, Автогазбанк. 19,800 и т. д.
Как следует из
приведенных оценок, рейтинги банков-гигантов типа Газпромбанк могут быть ниже рейтингов
более мелких банков. Это значит, что рейтинг КБ зависит не столько от его размера,
сколько от его организации. Кроме того, этот количественный факт свидетельствует
и о том, что закрытие малых и средних российских банков является преждевременным.
Таким образом,
предложен математический метод количественной оценки рейтингов отдельных КБ и РБС
в целом. Метод позволяет классифицировать КБ по экономическому состоянию на основе
модели и введенных «финансовых весов» показателей КБ. Метод также позволяет с необходимой
периодичностью оценивать рейтинги КБ и РБС во времени, что может являться основой
для их прогнозирования в интересах реализации оптимального управления как отдельными
КБ, так и РБС в целом.
3. Структурный анализ расходных статей
коммерческого банка
В связи с возрастающей
ролью банковской системы региона в обслуживании экономических субъектов, расширением
внешнеэкономических и межрегиональных связей, продолжающимся процессом становления
и ликвидации отдельных коммерческих банков возрастает роль и значение анализа финансового
состояния банка, составной частью которого выступает анализ доходов и расходов коммерческого
банка. Российские банки вынуждены работать в условиях повышенных рисков, чаще чем
их зарубежные партнеры оказываются в кризисных ситуациях. Прежде всего это связано
с недостаточной оценкой собственного финансового положения, доходов и расходов,
надежности и устойчивости обслуживаемых клиентов. Зарубежные методики анализа доходов
и расходов банка в условиях России практически неприменимы или недостаточно эффективны,
поскольку существуют определенные противоречия между российской системой ведения
бухгалтерского учета и составлением финансовой отчетности и используемыми в западных
странах системами. В отечественной практике анализа банковской деятельности также
не существуют единые методические рекомендации, банки и территориальные подразделения
ЦБ РФ ориентированы на собственные разработки и основные показатели, установленные
Центробанком в виде обязательных рекомендаций и нормативов. Поэтому для российских
банков весьма актуален вопрос разработки и применения эффективных методов анализа
доходов и расходов, соответствующих местным условиям.
Здесь указаны
основные методики, применяемые отечественными банками для анализа указанных составляющих,
определены их преимущества и недостатки.
Мы остановимся
на структурном анализе расходных статей коммерческого банка. Но вначале дадим общий
анализ, как доходов, так и расходов коммерческого банка.
3.1 Сущность и значение анализа доходов и расходов коммерческого
банка. Его место в составе анализа финансовых результатов деятельности коммерческих
банков.
Анализ доходов
и расходов банка дает возможность изучения результатов деятельности коммерческого
банка, а следовательно, и оценки эффективности его как коммерческого предприятия.
Анализ результативности банковской деятельности начинается с анализа доходов и расходов,
а заканчивается исследованием прибыли. Анализ финансовой деятельности банка производится
одновременно с анализом ликвидности баланса банка, и на основании полученных результатов
делаются выводы относительно надежности банка в целом.
В процессе анализа
финансовых результатов банковской деятельности используются различные приемы и методы:
·
экономически
обоснованные группировки доходных и расходных аналитических счетов баланса банка;
·
структурный
анализ;
·
оценка
динамики показателей финансовых результатов деятельности банка по квартальным и
годовым данным;
·
выявление
степени зависимости показателей финансовых результатов деятельности банка от влияния
различных факторов;
·
экономическая
оценка количественного влияния отдельных факторов и их содержание;
·
сопоставление
полученных показателей с рекомендуемым уровнем.
Целью анализа
банковской деятельности с точки зрения ее финансовых результатов является выявление
резервов роста прибыльности банка и на этой основе формулирование рекомендаций руководству
банка по проведению соответствующей политики в области пассивных и активных операций.
Все производственные
расходы и полученные доходы учитываются про результативным счетам банка, которые
иначе называются счетами прибылей и убытков. Схема построения такого результативного
счета, как правило, определяется контрольными государственными органами и различна
в разных странах.
Так в США результативный
счет имеет следующую структуру:
·
проценты
полученные (по всем видам операций) (1);
·
проценты
уплаченные (по всем видам операций) (2);
·
чистые
доходы по процентам (1 - 2);
·
резервы
на покрытие возможных убытков по кредитам;
·
чистые
доходы по процентам после вычета резервов для покрытия возможных убытков по кредитам
(3);
·
другие
операционные доходы:
Ø
Þ
плата за расчетно-кассовое обслуживание;
Ø
комиссии
за оказанные услуги;
Ø
доходы
по валютным операциям;
Ø
прочие
доходы;
·
итого
других операционных доходов (4);
·
чистые
доходы по процентам и другим операционным доходам (3+4) (5);
·
другие
операционные расходы:
Ø
зарплата
и расходы по содержанию штата;
Ø
чистые
хозяйственные расходы;
Ø
амортизация
на приобретенные активы;
Ø
прочие;
·
итого
других операционных расходов (6);
·
доходы
до обложения налогом и до включения доходов (потерь) на ценные бумаги (5 - 6);
·
налог
на доходы;
·
доход
до включения доходов (расходов) на ценные бумаги;
·
доходы
(расходы) на ценные бумаги;
·
чистая
прибыль.
Система построения
результативного счета, при которой он строится не по балансовой форме (с разбивкой
расходов и доходов на дебит и кредит), а по форме последовательно счета, позволяет
сразу оценить результат от основной деятельности банка (кредитование), который затем
корректируется на суммы других доходов и расходов. Полученный результат облагается
налогом на доход, а затем к нему прибавляется результат от вложений в ценные бумаги,
который либо вообще освобождается от уплаты налогов, либо облагается по отдельной
ставке (аналогично ситуации в Российской Федерации).
Результативные
счета немецких и французских, а также российских коммерческих банков строиться по
балансовому принципу. При использовании этого принципа сначала вычисляется общая
сумма расходов, затем общая сумма доходов. Далее определяется результат от деятельности
коммерческого банка.
Зарубежные и российские
специалисты разработали различные методики анализа результатов деятельности коммерческого
банка, в основе которых лежит исследование высокорентабельной банковской деятельности.
Итак, каким же
образом осуществляется анализ доходов и расходов коммерческих банков в нашей стране?
3.2 Оценка основных методик анализа доходов и расходов
коммерческих банков в составе анализа финансовой деятельности коммерческих банков.
В отличие от стран
с развитой рыночной экономикой, где широко информируют общественность не только
о размерах прибыли банков, но и о источниках ее формирования, в России недоступны
результаты работы банков, их доходных и расходных составляющих и даже иногда методики
определения их рейтингов. До настоящего времени вопросами оценки финансового состояния
коммерческих банков (в том числе доходов и расходов) занимаются или сами банки,
или специальные организации без участия ЦБ РФ, Министерства финансов, налоговой
инспекции. Рейтинги оценки доходов и расходов коммерческих банков, служащие в международной
практике средством государственного надзора, в России подобной роли не играют.
Наши методики
оценки доходов и расходов коммерческих банков отличаются большим разнообразием,
в соответствии с существующей практикой анализа финансового состояния. По целевому
назначению их можно разделить на группы рейтинговой оценки, ранжирования по одному
из показателей деятельности банка, расчета нормативов, оценки имиджа. Алгоритмы
методик совершенно различны.
Так, в основе
методики, разработанной экспертами под руководством В. Кромонова, лежит следующий
алгоритм:
объединение
доходов и расходов в однородные группы;
вычисление
коэффициентов, описывающих закономерности балансов;
расчет текущего
индекса надежности банков;
сравнение и
расстановка различных банков в рейтинге.
Методика международного
промышленного банка (МПО) сроиться на предварительно заданных общих принципах комплексности,
обоснованности, корректности и согласованности. Методика позволяет получить рейтинговую
таблицу, где указаны значения показателей, характеризующих доходы и расходы того
или иного банка. Из информации о банках инвестор получает представление о конкретном
банке и сравнивает его с данными о других банках, чтобы выбрать наиболее надежный.
Таблица 3.1 -
Сравнительная характеристика методик
|
Методика
|
Преимущества
|
Недостатки
|
| В. Кромонов |
Удобна в работе.
Полностью доступна. Широко представлена в печати. |
На достоверность
результата влияют субъективные оценки экспертов. Недостаточно корректна из-за
несогласованности показателей. |
| Международный
промышленный банк |
Формулируются
важнейшие характеристик и предлагается итоговый рейтинг. |
Недостаточно
корректна. Сложен расчет. |
| «Интерфакс-АиФ» |
Представление
наиболее полной информации о российских банках. |
Недостаточно
достоверна. Отсутствие собственных коэффициентов. |
| ИЦ «Рейтинг» |
Удобство в работе.
Группировка. |
Недоступность
- имеет закрытый характер. Отдает предпочтение субъективным оценкам экспертов.
Конфиденциальность исходной информации. |
| «ИНЭКС» |
Попытка адаптации
международной методики к российским условиям. |
Неудобство в
работе. |
| Журнал «Эксперт» |
Высокая доступность.
Представляется возможность прогноза. |
Неудобство в
работе. |
| МБО «Оргбанк» |
Удобство использования
для сравнения различных банков. |
Закрытость методики.
Использование субъективных методов оценки. |
Алгоритм методики
ИЦ «Рейтинг» включает этап рассмотрения балансов коммерческих банков и последующего
их анализа экспертами. По окончании этапа консультаций производится экспертная оценка
и публикуется рейтинг.
Фирма «ИНЭКС»
пытается адаптировать к российским условиям американскую методику «CAMEL». Итоговый
рейтинг методикой не предусмотрен, но для каждого расчетного коэффициента установлены
нормативы, несоответствие которым свидетельствует о наличии проблем в банке.
По методике журнала
«Эксперт» банки характеризуются по ряду показателей. Итогом исследования является
таблица, в которой для любого банка по каждому из показателей устанавливается его
принадлежность к определенной категории.
Методика «Оргбанка»
носит закрытый характер. Она включает три этапа анализа: формальный, математический
и экспертный, по полученным результатам банку присваивается категория в соответствии
с его кредитоспособностью.
Сводные таблицы,
разрабатываемые по методике «Интерфакс-АиФ», дают информацию о каждом из банков
по показателям. На ее основании потребитель самостоятельно делает оценки и выводы.
Итак, приведенные
методики оценки российских коммерческих банков наряду с положительными качествами
имеют и существенные недостатки, что может привести к несоответствию между положением
дел в банке и местом, занимаемым им в рейтинге. Нередко при расчете отдельных показателей
выявляются методологические ошибки. Из-за недоступности методик многие заинтересованные
лица не могут понять принципов расчета тех или иных показателей, и следовательно,
делать выводы о качестве методик.
Для проведения
работ по составлению качественных методик и устранения недостатков имеющихся необходимо
создать независимое агентство при участии специалистов ЦБ РФ, Министерства финансов
РФ, налоговой службу РФ, которое должно разработать единую научно-обоснованную и
проверенную практикой методику оценки.
Сравнительная
характеристика рассмотренных методик приведена в таблице 3.1.
3.3 Основные методики оценки расходов коммерческих банков
Методика,
разработанная Пановой Г.С.
Валовые
расходы банка можно разделить на процентные и непроцентные.
Процентные
расходы составляют:
·
начисленные
и уплаченные проценты в рублях:
·
начисленные
и уплаченные проценты в валюте.
К
непроцентным расходам относятся:
·
операционные
расходы:
Ø
уплаченные
комиссионные по услугам и корреспондентским отношениям;
Ø
расходы
по операциям с ценными бумагами;
Ø
расходы
по операциям на валютном рынке;
Ø
расходы
на функционирование банка (расходы на содержание аппарата управления; хозяйственные
расходы);
Ø
прочие
расходы (штрафы, пени, неустойки уплаченные; проценты и комиссионные прошлых лет
и т.д.).
Наиболее
крупными статьями операционных расходов банка традиционно являются расходы:
·
по выплате
процентов по текущим и срочным вкладам;
·
связанных
с выплатой комиссионных другим банкам и прочим финансово-кредитным учреждениям за
предоставленные услуги;
·
по содержанию
и эксплуатации зданий и оборудования;
·
на заработную
плату персонала;
·
на создание
специальных резервов.
В
последние годы наблюдается рост удельного веса расходов на выплату процентов по
вкладам клиентов. Это объясняется, во-первых, повышением уровня процентных ставок
по депозитам в результате усиления конкурентной борьбы и, во-вторых, увеличением
удельного веса депозитных счетов в общей сумме привлеченных средств.
Банки,
выполняющие международные расчетные операции, уплачивают комиссионные банку, исполняющему
поручения не совершение операций (аккредитивных, инкассовых и др.). Но конечным
плательщиком выступает клиент банка, по поручению которого совершена операция. Банк
в полном объеме списывает с его счета уплаченную им комиссию. Расходы банка на содержание
и эксплуатацию зданий и оборудования. оплату персонала и социальные пособия носят
относительно постоянный характер. Их удельный вес в общей сумме расходов банка весьма
незначительный.
Определенная
часть денежных средств банка расходуется на создание резервов. Остальные расходы
в счете прибылей и убытков банка показываются по статье «Прочие операционные расходы».
Это взносы, расходы на рекламу, инвентарь и материалы, на оплату услуг аудиторских
фирм, судебные и транспортные издержки, а также некоторые виды налогов.
Рост
операционных расходов не только отражает неблагоприятное состояние конъюнктуры рынка,
на котором банк привлекает ресурсы, но и может свидетельствовать об ухудшении менеджмента.
Особое внимание заслуживает анализ двух групп статей: расходы, связанные с обеспечением
функционирования банка (особенно административно-хозяйственные) и расходы, связанные
с повышением рискованности банковской деятельности (создание обязательных прочих
страховых резервов).
В
процессе анализа расходов банка необходимо не только проанализировать в динамики
абсолютные и относительные величины расходов (в целом по группам расходов), но и
выделить основные факторы, повлиявшие на их уровень с тем, чтобы принять необходимые
управленческие решения.
Сокращению
расходов банка будут способствовать:
·
улучшение
структуры ресурсной базы, т.е. увеличение доли расчетных, текущих и прочих депозитных
счетов клиентов и сокращение доли дорогостоящих депозитных инструментов (например,
межбанковских кредитов);
·
оптимальное
сокращение непроцентных расходов.
Методика,
разработанная специалистами Финансовой академии при Правительстве РФ
Рассматриваемой
методикой выделяются следующие расходы банка: налоги, относимые на себестоимость
банковских операций, процентный расход, связанный с привлечением ресурсов, уплата
комиссий за услуги, расходы по валютным операциям (покупка валюты переоценка валютных
средств, отрицательные курсовые разницы), амортизационные отчисления, износ МБП
и нематериальных активов, расходы почтовые и телеграфные, по аренде, на рекламу,
на инкассацию, оплата услуг ВЦ, расходы канцелярские, а также накопительного характера,
связанные с улучшением банковских услуг, обслуживанием банковского процесса, обеспечением
условий труда, зарплата, премии и другие денежные выплаты работникам банка, оплата
отпусков, обязательные отчисления в различные социальные фонды, расходы по содержанию
и эксплуатации зданий, на охрану, представительские, командировочные и т.д.
Основными
направлениями анализа расходов являются:
·
оценка
уровня всех и отдельных видов расходов и их динамики;
·
структурный
анализ расходов;
·
оценка
общего уровня расходов.
О
размерах всех и отдельных видов расходов нельзя судить только по их абсолютной величине
и ее темпах роста. Дело в том, что по мере роста банка, увеличение его активов,
закономерно растет и абсолютная величина активов. Поэтому для оценки закономерностей
изменения отдельных видов расходов используется относительный показатель: все или
отдельные виды расходов за период активы На основе его динамики можно судить о росте
или снижении определенных расходов, правомерности этих изменений. Данные анализа
также рекомендуется занести в таблицу (см. таб. 3.2.).
Таблица
3.2 Анализ динамики расходов банка
|
Виды расходов
|
Относительная
величина на рубль активов, %
|
|
|
Предыдущий
период
|
Отчетный
период
|
|
Операционные
и прочие расходы - всего
|
|
|
| в том числе: |
|
|
| проценты уплаченные |
|
|
| налоги |
|
|
| уплаченная комиссия
за услуги других банков и клиентов |
|
|
| амортизационные
отчисления |
|
|
| расходы по операциям
с ценными бумагами и на валютном рынке |
|
|
| прочие расходы |
|
|
|
Расходы на
содержание аппарата управления
|
|
|
| в том числе: |
|
|
| оплата труда |
|
|
| командировочные
расходы |
|
|
| прочие расходы |
|
|
Структурный
анализ расходов производится с целью выявления основных видов расходов, динамика
которых и причины роста подлежат особенно тщательному анализу. Кроме того, структурный
анализ делается для качественной оценки расходов. Расходы делятся, как указано в
методике Пановой Г.С. на процентные и беспроцентные, и кроме того, на стабильные
и нестабильные, операционные и прочие. Такая группировка необходима для выявления
основных факторов роста затрат и возможности воздействия на их сокращение.
Методика,
разработанная Батраковой Л.Г.
Анализ
расходов
Автором данной методики приводятся два подхода к определению расходов банка:
1.
Расходы всего = Процентные расходы + Непроцентные расходы. (см. методику Пановой
Г.С.)
2.
Расходы всего = Операционные расходы + Расходы по обеспечению функционирования банка
+ Прочие расходы.
В
общем виде расходы состоят из следующих основных слагаемых, так же как в предыдущих
методиках:
·
операционные
расходы (Р1) - уплаченные проценты и комиссионные, расходы по валютным операциям,
почтовые и телеграфные расходы клиентов;
·
расходы
по обеспечению функциональной деятельности банка (Р2) - зарплата и другие расходы
по содержанию штата, чистые хозяйственные расходы, амортизационные отчисления, оплата
услуг.
·
прочие
расходы банка (Р3) - уплаченные штрафы, проценты и комиссионные прошлых лет и др.
При
анализе банковских расходов определяющую роль и место каждой группы расходов в общей
сумме. Например, доля операционных расходов: Операционные расходы / Суммарные расходы,
доля штрафов (пени и неустойки) в общей сумме расходов, доля расходов по уплаченным
процентам за кредитные ресурсы, полученные из других банков: Сумма процентов, уплаченных
банком / Суммарные расходы.
Динамика
расходных статей анализируется по сравнению с предыдущими периодами или плановыми
показателями. При этом увеличение доли прочих расходов банка свидетельствует об
ухудшении управления банковскими операциями.
Значительное
место в анализе расходов занимают показатели, характеризующие разные виды расходов
на 1 руб. средних остатков по активным операциям:
1.
Расходы по содержанию персонала / Средние остатки по активам
2.
Хозяйственные расходы банка / Средние остатки по активам
3.
Прочие расходы / Средние остатки по активам.
Данные
соотношения показывают, насколько прибыльно осуществляются операции банка. При этом
полученные результаты сравниваются с данными других банков. Показатель: Проценты
полученные / Средние остатки по активам, приносящим доход, характеризует соотношение
расходов «работающих» активов.
Показателем
эффективности деятельности банка служит себестоимость банковских продуктов. Ее исчислении
необходимо для изучения возможностей банка. Себестоимость банковских активных операций
может быть охарактеризована средней суммой расходов на обслуживание одного клиента.
Подводя
итог, следует отметить, что сокращению суммарных расходов банка способствуют:
·
оптимизация
структуры ресурсной базы;
·
уменьшение
непроцентных расходов.
Проведенный
анализ теоретических и практических аспектов анализа доходов и расходов банка позволяет
сделать следующие заключительные выводы:
1.
Существует
большое многообразие методик анализа, как расходов, так и доходов банка. Все они
имеют ряд положительных и отрицательных характеристик. Мы остановились на расходных
статьях.
2.
Отсутствие
проработанной государственной методики анализа доходов и расходов банка затрудняет
анализ указанных составляющих, что оказывает негативное воздействие как на политику
самих банков, так и пользователей банковскими услугами.
3. Анализ приведенных методик
позволяет указать следующие их преимущества: простоту в работе, доступность информации,
легкость подсчета; и следующие недостатки: невозможность составления рейтинговых
таблиц с целью сравнительного анализа, ограниченность характеристик.
4. Классификационные группы кредитных организаций
России
4.1 Общие положения
1.1 В целях организации банковского
надзора территориальные учреждения Банка России относят все кредитные организации
с точки зрения финансового состояния к одной из двух категорий, а в рамках каждой
категории - к одной из двух классификационных групп:
I категория.
Финансово стабильные кредитные организации.
Группа 1. Кредитные организации без
недостатков в деятельности.
Группа 2. Кредитные организации, имеющие
отдельные недостатки в деятельности.
II категория.
Проблемные кредитные организации.
Группа 3. Кредитные организации, испытывающие
серьезные финансовые трудности.
Группа 4. Кредитные организации, находящиеся
в критическом финансовом положении.
Отнесение кредитных
организаций к той или иной категории и классификационной группе производится территориальными
учреждениями Банка России на основании мотивированного суждения, базирующегося на
критериях и подходах, определенных настоящим Указанием, и основанного на данных:
- оборотной ведомости
по счетам бухгалтерского учета кредитной организации (ф. 101).
Примечание. Здесь
и далее по тексту настоящего Указания номера форм отчетности кредитных организаций
приведены в соответствии с Указанием Банка России от 24.10.97 № 7-У “О порядке составления
и представления отчетности кредитными организациями в Центральный банк Российской
Федерации” (с изменениями и дополнениями) (далее по тексту - Указание Банка России
№ 7-У);
- расчета собственных
средств (капитала) кредитной организации (ф. 134);
- фактических
значений обязательных нормативов деятельности кредитной организации, рассчитанных
в соответствии с Инструкцией Банка России от 1.10.97 № 1 “О порядке регулирования
деятельности банков” (с изменениями и дополнениями);
- расчета резерва
на возможные потери по ссудам (ф. 115);
- отчета об открытой
валютной позиции (ф. 634);
- отчета о кредитных
организациях, не удовлетворяющих требования отдельных кредиторов по денежным обязательствам
и не исполняющих обязанности по уплате обязательных платежей в связи с отсутствием
или недостаточностью денежных средств на корреспондентских счетах (ф. 351).
Примечание. Вместо
формы 351 по усмотрению территориального учреждения Банка России может использоваться
форма 350 “Отчет о наличии в кредитной организации неудовлетворенных требований
отдельных кредиторов по денежным обязательствам и неисполнении обязанности по уплате
обязательных платежей в связи с отсутствием или недостаточностью денежных средств
на корреспондентских счетах кредитной организации” или форма 314 “Отчет территориальных
учреждений по картотекам к внебалансовым счетам № 90903 “Расчетные документы клиентов,
не оплаченные в срок из-за отсутствия средств на корреспондентских счетах кредитной
организации” и № 90904 “Не оплаченные в срок расчетные документы из-за отсутствия
средств на счетах кредитной организации”;
- отчета о выполнении
(невыполнении) обязательных резервных требований Банка России (ф. 304);
- другой отчетности
кредитных организаций, предусмотренной Указанием Банка России от 24.10.97 № 7-У
и используемой в рамках надзора;
- другой информации,
характеризующей текущее или перспективное финансовое состояние кредитной организации
либо уровень управления кредитной организацией, включая результаты инспекционных
и аудиторских проверок, в том числе о:
1) соблюдении
норм законодательства Российской Федерации и нормативных актов Банка России;
2) состоянии систем
управления рисками и внутреннего контроля кредитной организации;
3) соблюдении
кредитной организацией установленного Банком России порядка обязательного резервирования;
4) достоверности
учета и отчетности;
5) общей степени
открытости кредитной организации надзорному органу, а также доступности информации
о ее деятельности клиентам и иным заинтересованным лицам (в соответствии с требованиями
действующего законодательства и нормативных актов Банка России);
6) выполнении
в установленный срок предусмотренных в предписаниях территориального учреждения
Банка России требований и(или) взятых на себя кредитной организацией обязательств
по приведению деятельности в соответствие с действующими нормами, в период до истечения
срока - информации о реальности мер, предпринимаемых кредитной организацией по устранению
недостатков, указанных в предписании территориального учреждения Банка России;
7) деятельности
филиалов.
1.3. Классификация кредитных организаций
производится территориальными учреждениями Банка России, осуществляющими непосредственный
надзор за кредитными организациями, по состоянию на первое число каждого месяца.
Отнесение кредитной организации к соответствующей категории и группе должно отражать
содержательное представление территориального учреждения Банка России о состоянии
кредитной организации с учетом тенденций ее развития. При получении существенной
информации, которая является достаточной для отнесения кредитной организации к проблемной
или для ухудшения группы проблемности в течение месяца, территориальное учреждение
Банка России незамедлительно принимает соответствующее решение о реклассификации
кредитной организации и обеспечивает осуществление действий, предусмотренных нормативными
документами Банка России в отношении кредитных организаций, имеющих признаки финансовой
неустойчивости.
1.4. При принятии решения об отнесении
кредитной организации к соответствующей категории и группе территориальное учреждение
Банка России должно руководствоваться положениями п. 2 настоящего Указания исходя
из установленных Банком России норм. В ситуациях, которые не определены требованиями
настоящего Указания, а также в ситуациях, когда номинальное применение критериев,
предусмотренных настоящим Указанием, дает содержательно неточный результат, территориальное
учреждение Банка России вправе принять решение об отнесении кредитной организации
к иной категории и(или) классификационной группе, чем это вытекает из параметров,
изложенных в п. 2 настоящего Указания. Мотивированное обоснование решения об улучшении
либо ухудшении категории (классификационной группы) должно быть представлено в Банк
России.
1.5. Сведения об отнесении кредитных
организаций по финансовому состоянию к соответствующей категории и группе являются
сведениями ограниченного распространения. Указанные сведения не подлежат передаче
третьим лицам и используются исключительно в целях банковского надзора.
Внутри системы
Банка России указанные сведения могут использоваться подразделениями центрального
аппарата, определенными актами Банка России, и подразделениями территориальных учреждений
Банка России, определенными внутренними документами территориальных учреждений.
4.2 Краткая характеристика категорий
и групп
2.1. I категория. Финансово
стабильные кредитные организации.
К финансово стабильным
кредитным организациям могут быть отнесены только кредитные организации, в деятельности
которых, по оценке территориального учреждения Банка России, отсутствуют недостатки,
которые создают или могут создать угрозу интересам их кредиторов, клиентов и(или)
участников.
2.2. Группа
1. Кредитные организации без недостатков в деятельности.
К группе 1
не могут быть отнесены кредитные организации, которые имеют хотя бы один из
ниже перечисленных признаков:
2.2.1. неустраненный факт нарушения
норм законодательства Российской Федерации и(или) нормативных актов Банка России;
2.2.2. неудовлетворенное требование
кредитора или неисполненную обязанность по уплате обязательных платежей, в том числе
перед Банком России;
2.2.3. неустраненный факт нарушения
установленного Банком России порядка обязательного резервирования.
Примечание 1.
Под нарушением порядка обязательного резервирования в целях настоящего Указания
следует понимать наличие:
- недовзноса в
обязательные резервы в течение периода начиная с установленного срока предыдущего
регулирования размера обязательных резервов до установленного срока представления
расчета на новую очередную дату регулирования размера обязательных резервов;
- начисленных
неуплаченных штрафов за нарушение порядка обязательного резервирования в течение
периода начиная с установленного срока предыдущего регулирования размера обязательных
резервов до установленного срока представления расчета на новую очередную дату регулирования
размера обязательных резервов и(или) начисленных неуплаченных штрафов на последнюю
отчетную дату;
- нарушения составления
расчета регулирования размера обязательных резервов, выявленного по результатам
проведенных проверок правильности его составления (с выходом в кредитную организацию)
в течение последних трех месяцев.
Примечание 2.
Наличие признаков, приведенных в пп. 2.2.2 и 2.2.3, не исключает возможность отнесения
кредитной организации к I категории (2-й группе), за исключением случаев, когда
в соответствии с настоящим Указанием кредитная организация должна быть отнесена
ко II категории;
2.2.4. в деятельности которых наблюдаются
следующие признаки:
- снижение против
предыдущей отчетной даты значения показателя достаточности собственных средств (капитала)
(норматив Н1) более чем на 10 процентных пунктов либо когда такое снижение является
результатом достаточно устойчивой тенденции на протяжении последних 6 и более месяцев.
Примечание. Данный
признак не применяется для кредитных организаций, показатель достаточности собственных
средств (капитала) которых превышает уровень норматива в два раза и более;
- текущие убытки
либо превышение использованной прибыли над фактически полученной и (или) непогашенные
убытки предшествующих лет;
- иммобилизация
средств в затраты капитального характера.
Примечание. Под
иммобилизацией средств в затраты капитального характера в целях настоящего Указания
следует понимать часть стоимости основных средств (за вычетом начисленной амортизации,
а также фактически израсходованных на строительство кредитной организацией - застройщиком
средств, поступивших от участников долевого строительства), находящейся на балансе
кредитной организации, в размере, превышающем сумму источников собственных средств.
Расчет иммобилизации осуществляется в соответствии с п. 5.2 Положения Банка России
от 1.06.98 № 31-П “О методике расчета собственных средств (капитала) кредитных организаций”
(с изменениями и дополнениями);
- невыполнение
нормативных требований Банка России по созданию системы управления рисками и(или)
системы внутреннего контроля кредитной организации;
2.2.5. допустившие невыполнение
в установленные сроки требований территориального учреждения Банка России и(или)
взятых на себя обязательств по устранению недостатков в деятельности, включая недостатки
в деятельности филиалов, и не принимающие в период до истечения срока действия предписания
(срока исполнения обязательств) реальные меры по устранению указанных в нем недостатков.
2.3. Группа
2. Кредитные организации, имеющие отдельные недостатки в деятельности.
К указанной группе
относятся кредитные организации, финансовое положение которых соответствует критериям,
предъявляемым к кредитным организациям, относимым к I категории, но которые не могут
быть отнесены к группе 1 в силу имеющихся в их деятельности отдельных недостатков,
в том числе перечисленных в п. 2.2 настоящего Указания.
2.4. II категория.
Проблемные кредитные организации.
К проблемным кредитным
организациям относятся кредитные организации, недостатки в деятельности которых
создают или могут создать угрозу интересам их кредиторов, клиентов и(или) участников.
Ко II категории должны быть отнесены кредитные
организации, имеющие как минимум один из перечисленных ниже признаков:
2.4.1. хотя бы одно из оснований
для осуществления мер по предупреждению банкротства в соответствии со статьей 4
Федерального закона “О несостоятельности (банкротстве) кредитных организаций”;
2.4.2. имеющие хотя бы один неустраненный
факт нарушений Правил ведения бухгалтерского учета и(или) представившие недостоверную
отчетность (по данным документарного надзора и(или) инспекционных проверок, включая
результаты проверок филиалов кредитных организаций, аудиторских проверок).
Примечание 1.
Под недостоверностью учета (отчетности) в целях настоящего Указания понимается такое
нарушение (недостоверность), устранение которого(ой):
- позволит отнести
кредитную организацию по финансовому состоянию в худшую группу, чем та, которая
может быть определена до устранения нарушения;
- ведет к невыполнению
хотя бы одной пруденциальной нормы, которая до устранения нарушения номинально выполнена.
Примечание 2.
При классификации кредитной организации могут после оценки территориальным учреждением
Банка России использоваться отрицательные аудиторские заключения, к которым в целях
настоящего Указания относятся отказ аудиторской организации (аудитора) от выражения
мнения о достоверности отчетности, мнение о недостоверности отчетности кредитной
организации, а также выражение сомнения о возможности кредитной организации продолжать
деятельность и исполнять свои обязательства в течение как минимум 12 месяцев, следующих
за отчетным;
2.4.3. не обеспечивающие предоставление
предусмотренной действующим законодательством информации о своей деятельности либо
финансовом положении либо осуществляющие действия (кроме предоставления недостоверной
отчетности), препятствующие получению органами банковского надзора, а также физическими
и юридическими лицами полной и(или) достоверной информации о своей деятельности
либо финансовом положении (отсутствие транспарентности кредитной организации);
2.4.4. систематически не выполняют
требований территориального учреждения Банка России и(или) взятых на себя обязательств
по устранению имеющихся недостатков, включая недостатки в деятельности филиалов,
и не принимают в период до истечения срока действия предписания реальных мер по
устранению указанных в нем недостатков.
Примечание. Систематичность
невыполнения требований и(или) взятых на себя кредитной организацией обязательств
оценивается территориальным учреждением Банка России. Минимальным условием для констатации
систематичности невыполнения требований и(или) взятых на себя кредитной организацией
обязательств для целей настоящего Указания является их двукратное невыполнение в
течение последних 12 месяцев.
2.5. Группа
3. Кредитные организации, испытывающие серьезные финансовые трудности.
К указанной группе
могут быть отнесены кредитные организации, проблемы в деятельности которых носят
выраженный характер либо очевидным является возникновение серьезных проблем в будущем,
однако отсутствуют основания для отнесения этих кредитных организаций к группе кредитных
организаций, находящихся в критическом финансовом положении (группе 4).
К группе 3 могут быть отнесены кредитные
организации, которые имеют хотя бы один из перечисленных ниже признаков:
2.5.1. не выполняют нормативы достаточности
собственных средств (капитала) банка (Н1) (при этом значение показателя достаточности
капитала не ниже 5%) и(или) мгновенной (Н2), и(или) текущей (Н3) ликвидности;
2.5.2. допустили нарушение установленного
Банком России порядка обязательного резервирования сроком более трех рабочих дней
и(или) два случая нарушений за последние три месяца при составлении расчета регулирования
размера обязательных резервов.
К группе 3 могут быть также отнесены
кредитные организации, которые не представили на одну отчетную дату требуемых форм
отчетности, а также расчет регулирования размера обязательных резервов или представили
их с задержкой более чем на 5 рабочих дней, а также кредитные организации, систематически
(2 и более раз в течение последних 6 месяцев) задерживавшие представление требуемых
форм отчетности до 5 рабочих дней.
2.6. Группа
4. Кредитные организации, находящиеся в критическом финансовом положении
К указанной группе
кредитных организаций относятся кредитные организации, проблемы в деятельности которых
приобрели наиболее острый и(или) затяжной характер, включая кредитные организации,
которые имеют внешние признаки несостоятельности (банкротства).
К группе 4
относятся
в том числе кредитные организации, которые имеют хотя бы один из перечисленных ниже
признаков:
2.6.1. не удовлетворяют требований
отдельных кредиторов по денежным обязательствам и(или) не исполняют обязанностей
по уплате обязательных платежей, в том числе перед Банком России, в течение одного
месяца и более с момента наступления даты их исполнения;
2.6.2. не выполняют норматив достаточности
собственных средств (капитала) (Н1);
2.6.3. допустили нарушение установленного
Банком России порядка обязательного резервирования сроком более одного месяца и(или)
более двух случаев нарушений за последние шесть месяцев при составлении расчета
регулирования размера обязательных резервов.
К группе 4 могут быть также отнесены
кредитные организации, которые систематически не представляют требуемые формы отчетности
или представляют их с задержкой более чем на 5 рабочих дней.
Примечание. Систематичность
непредставления (задержки представления) требуемой отчетности оценивается территориальным
учреждением. Минимальным условием для констатации систематичности является двукратное
в течение последних 6 месяцев непредставление (задержка представления сроком более
5 рабочих дней) кредитной организацией отчетности.
Классификационные
группы деятельности кредитных организаций и сведения об информации,
не содержащейся в используемой для классификации кредитных организаций отчётности,
но учитывающейся территориальными учреждения Банка России при принятии решения об
оценке финансового состояния кредитных организаций - См. Приложение 1.
5. Международные
рейтинги. Российский опыт
Рассмотрение собственно рейтингов банков, представленных
в России, в их сложившемся понимании проведем более подробно. На чать такое рассмотрение
рейтингов целесообразно с практики международных рейтинговых агентств.
5.1 Из истории о международных
рейтингах
Первые кредитные рейтинги были опубликованы агентством
Moody's в 1909г. применительно к облигациям
американских железных дорог. Рейтинги были задуманы как независимые аналитические
оценки, помогающие инвесторам в управлении кредитными рисками. При этом впервые
были использованы символы (от Ааа до С), которые стали стандартными для обозначения
рейтингов и с не значительными модификациями используются ведущими международными
рейтинговыми агентствами по сей день.
Компания Moody's Investors Service была основана в 1900 г. Джоном
Муди (J.
Moody). Свою деятельность компания
начала с публикации Руководства по вложениям в ценные бумаги промышленных и иных
предприятий (Moody's Manual of Industrial and Miscellaneous Securities), содержащего только статистическую
информацию об акциях и облигациях финансовых учреждений, правительственных организаций,
производственных предприятий.
Не менее глубокие корни у другого известного агентства.
В 1888г. было осуществлено издание «Справочника Пура по инвестиционным ценным бумагам»
(Poor's Handbook of Investment Securities). С 1906г. предоставляло
деловую информацию Standard Statistics Bureau. В результате слияния двух
информационно-консалтинговых фирм в начале 1940-х гг. была создана Standard & Poor's Corporation, в дальнейшем приобретенная
McGraw-Hill Companies, Inc., международной компанией,
предоставляющей информационные услуги.
Следует отметить, что в течение длительного периода
рейтинги формировались исключительно в отношении конкретных долговых обязательств
эмитентов. Корпоративные кредитные рейтинги, кредитные рейтинги эмитентов и заемщиков
появились значительно позже, что было связано с возникшей потребностью оценивать
кредитоспособность компаний, чьи долговые обязательства не обращаются на рынке публично.
Кроме того, в 1970 - 1980-е гг. ведущие международные рейтинговые агентства (Moody's, Standard & Poor's и Fitch Ratings) существенно расширили перечень
оцениваемых субъектов, долговых обязательств и финансовых инструментов.
5.2 Методические вопросы
Формирование кредитных рейтингов, рассмотренных ранее,
в принципиальных вопросах достаточно схоже. Кредитный рейтинг представляет собой
мнение агентства относительно кредитоспособности заемщика или долговых обязательств.
При формировании рейтингов большое значение имеют такие факторы, как суверенные,
отраслевые, деловые и финансовые риски. При присвоении рейтинга конкретным долговым
обязательствам рассматриваются риски, присущие именно этому обязательству.
Важными ограничивающими факторами являются суверенный
рейтинг, а также уровень развития банковской системы в целом, прежде всего стратегия
ее развития, интегральные показатели, анализ конкуренции на рынке финансовых продуктов
и услуг.
Анализ показателей финансовых результатов деятельности
банка представляет ключевой компонент процесса определения рейтинга. Базой анализа
является отчетность банка по МСФО (балансовые от четы, отчеты о прибылях и убытках,
движение денежных средств). Особое внимание обращается на такие бизнес-факторы,
как позиция на рынке, структура собственности, стратегия и менеджмент, а также на
финансовые факторы (качество активов, прибыльность, фондирование и управление ликвидностью,
капитал). При структурном и индексном анализе рассматриваются:
• различные группы коэффициентов, позволяющие оценить
фи нансово-экономическое состояние эмитента (ликвидности, деловой активности, рентабельности,
финансовой устойчивости и др.);
• коэффициенты, нормативные и структурные показатели
в динамике, в том числе для прогноза финансового состояния в будущем;
• оценка деловой репутации и кредитной истории.
Существенное внимание в анализе уделяется реализуемой
и перспективной стратегии развития кредитного института, в том числе в сопоставлении
с конкурентами и тенденциями развития продуктового ряда и технологического развития
банковского сектора в целом и ближайших конкурентов в частности.
5.3 Процедуры
присвоения рейтингов
Используемые международными рейтинговыми агентствами
процедуры достаточно схожи и включают экспертный (очный) этап, предусматривающий
встречу экспертов с руководством рейтингуемой компании (банка).
Этапы типовой процедуры присвоения рейтинга приведены
ниже.
1. Запрос на присвоение рейтинга.
2. Формирование аналитической группы рейтинговым агентством.
3. Запрос у эмитента базового комплекта документов
и информации.
4. Предоставление эмитентом базового комплекта документов
(рейтинговой книги).
5. Проведение предварительного исследования эмитента.
6. Подготовка встречи с руководством эмитента. Дополнительный
перечень тем для обсуждения.
7. Встреча аналитической группы с руководством эмитента.
8. Подготовка отчета аналитической группы для рейтингового
комитета.
9. Рассмотрение результатов анализа на рейтинговом
комитете и присвоение рейтинга.
10. Уведомление эмитента о рейтинге; согласование
и определение статуса рейтинга.
11. Публикация рейтинга или инициализация процедуры
апелляции.
12. Наблюдение за рейтингом. Организация и проведение
ежегодной встречи с эмитентом.
При получении от эмитента запроса на присвоение рейтинга
рейтинговое агентство формирует аналитическую группу, состоящую из аналитиков, обладающих
знаниями в соответствующих областях бизнеса. В этой группе назначается ведущий аналитик,
который руководит процессом и служит главным контактным лицом для эмитента.
Перед очной официальной встречей группа анализирует
финансовую отчетность за предшествующие периоды, прогнозы финансовых показателей
и денежных потоков, документацию по сделкам, юридические заключения и прочие данные,
которые имеют отношение к предмету. При этом рейтинговое агентство не осуществляет
дополнительной аудиторской проверки предоставляемой эмитентом информации.
Данные, запрашиваемые аналитической группой, охватывают:
• организационную структуру эмитента, включая отношения
с дочерними компаниями;
• полномочия менеджеров и сотрудников в бизнес-процессах
и принятии решений;
• информацию об опыте работы и стаже топ-менеджеров;
• финансовые отчеты за последние пять лет по МСФО
(иногда при отсутствии таковых за более короткий срок) и решения, влияющие на оценку
текущего финансового состояния компании и тенденций его развития;
• информацию о транзакциях с момента последних финансовых
отчетов;
• планы и прогнозные
данные на несколько ближайших лет;
• корпоративную стратегию развития и финансовую политику;
• данные о финансовых операциях, включая внебалансовую
задолженность и залоговые обязательства;
• долю/позицию на рынке по сегментам и основных конкурентов;
• описание характера деятельности по основным направлениям
и ключевым подразделениям.
Встреча аналитической группы с руководством эмитента
проводится для обсуждения основных факторов, влияющих на рейтинг, включая финансовые
и производственные планы, стратегию развития. Эта встреча дает эмитентам возможность
затронуть качественные вопросы, принципиальные для решения о присвоении рейтинга.
После изучения всей необходимой информации и встречи
с руководством эмитента аналитики составляют аналитический отчет, представляемый
рейтинговому комитету. Все факторы, имеющие отношение к рейтингу, тщательно обсуждаются.
После принятия решения комитетом эмитент уведомляется о присвоенном рейтинге.
Как правило, предусмотрена возможность апелляции в
случае, когда предлагаемый рейтинг не отвечает ожиданиям эмитента и когда по данному
вопросу имеется дополнительная информация, которая может быть рассмотрена комитетом.
К тому же после того, как рейтинг присвоен и его значение сообщено эмитенту, он
обычно имеет право со хранить рейтинг конфиденциальным, однако рейтинг будет отслеживаться
и пересматриваться так же, как публичный рейтинг.
После присвоения рейтинга агентство постоянно контролирует
все факторы, такие, как финансовые результаты, изменения в структуре капитала, поглощение
других компаний или иные крупные экономические события, которые могут повлиять на
рейтинг. Обычно рейтинг официально пересматривается не реже одного раза в год, когда
проводится встреча с руководством эмитента. В то же время рейтинговое агентство
на договорной основе регламентирует предоставление ему информации о существенных
финансовых и производственных событиях или изменениях, которые могли бы повлиять
на рейтинг. Рейтинговое агентство оставляет за собой право изменять рейтинг в любое
время в течение цикла наблюдения.
5.4 Оценка России международными
рейтинговыми агентствами
Международные рейтинговые агентства за последнее время
не однократно повышали рейтинги России, что стало свидетельством определенных успехов
в экономике и финансовом секторе страны.
Международное рейтинговое агентство Moody's в октябре 2003 г. повысило
России потолок рейтингов долгосрочных депозитов в иностранной валюте до Bal и долговой рейтинг эмитента
до ВааЗ, присвоив впервые в новейшей российской истории рейтинг инвестиционного
уровня. Для всех рейтингов установлен стабильный прогноз.
Агентство объясняет повышение рейтингов активным экономическим
ростом в России в течение нескольких лет, улучшением макро экономических показателей,
впечатляющим положительным сальдо платежного баланса, серьезным улучшением положения
с бюджетом. Отмечается также стабильность в политической сфере, предсказуемость
политики и структурных преобразований.
Уровень российской задолженности значительно понизился,
уязвимость в части внешних рисков упала в связи с ростом валютных резервов и резким
уменьшением краткосрочных долгов. Некоторые долги были погашены досрочно, а также
были сформированы объемы средств на погашение пиков долговых платежей в 2003 и 2005
гг. Успешно пройден пик выплат по обязательствам в 2003г.
Тем не менее Moody's отметило высокий уровень расходов
на обслуживание долгов, а также тот факт, что отношение расходов на обслуживание
долгов к средствам федерального бюджета пока превышает аналогичный показатель до
финансового кризиса 1998г. На меченные структурные реформы в таких областях, как
банковский сектор, естественные монополии, ЖКХ, могут натолкнуться, по мнению агентства,
на сопротивление, что уже случалось в российской истории, когда реформы сверху тормозились
на местном уровне.
Рейтинговое агентство Standard & Poor's в течение 2002г. дважды повышало
суверенные рейтинги России, причем в декабре 2002г. долгосрочный кредитный рейтинг
в национальной валюте был повышен сразу на два пункта, с ВВ- до ВВ+. Долгосрочный
валютный рейтинг РФ был увеличен с ВВ- до ВВ. В январе 2004 г. агентство повысило
указанные рейтинги еще на одну ступень, соответственно до ВВВ- и ВВ+. Таким образом,
рейтинги заимствований в иностранной валюте на одну ступень ниже рейтинга инвестиционного
уровня.
С точки зрения
Standard & Poor's, повышение рейтингов отражает
приверженность руководства страны проведению в течение ряда последних лет взвешенной
политики, что обеспечило предсказуемость финансового состояния. Такой подход к управлению
в бюджетной сфере, а также совершенствование системы управления долгом скорее всего
исключат, по мнению агентства, возможность возврата к значительному дефициту в среднесрочной
перспективе, даже в случае падения цен на нефть. Руководство Центрального банка
РФ способствовало прогрессу в реализации реформы банковской системы. Достижение
реального прогресса в совершенствовании банковской системы потребует времени. В
то же время развитие производства, рост покупательной способности населения, реформа
пенсионной системы, по мнению агентства, будут способствовать росту внутренних сбережений,
что укрепит финансовую систему в целом.
Standard & Poor's полагает, что повышение долгосрочного
рейтинга Российской Федерации в национальной валюте поддерживается значительными
улучшениями налоговой системы. В последние годы Федеральное правительство повысило
собираемость налогов, уменьшая при этом риск дефолта по рублевому долгу, сумма которого
невелика. Хотя прогресс в области реформ движется значительно быстрее, чем ожидалось,
они еще далеки от завершения. Судебная и административная реформы продолжаются,
однако достигнутые успехи в повышении эффективности аппарата государственной и судебной
системы пока невелики. Сохраняющиеся риски на начало 2004г. были все еще достаточными
для того, чтобы оставить рейтинг России прежним - на одну ступень ниже инвестиционного
уровня.
На предынвестиционном уровне находится также страновой
рейтинг России по версии агентства Fitch Ratings, а именно: долгосрочный кредитный
рейтинг находится на уровне ВВ+.
Динамика изменения
суверенных рейтингов России показана на рис. 1.
Видно, что корреляция рейтингов различных агентств,
несмотря на различия в методиках и целевых установок, достаточно высокая. Это свидетельствует
о том, что агентства внимательно следят не только за развитием экономической и политической
ситуации в Рос сии, но и за шагами конкурентов.
Присвоение России рейтинга инвестиционного уровня
открывает возможность инвестировать в Россию целому ряду партнеров, которые имеют
возможность вложений в ценные бумаги только инвестиционного уровня.

Рис. 1 Динамика
суверенных рейтингов России
5.5 Сравнительные
характеристики рейтинговых агентств
Некоторые основные
статистические характеристики деятельности международных рейтинговых агентств в
России по состоянию на июнь 2004г. сведены в табл. 5.1. Как видим, активность агентств
в России приблизительно одинаковая, хотя в мировом масштабе деятельность Fitch Ratings несколько скромнее. Оценка
рейтингов России как заемщика приблизительно одинаковая и находится на границе инвестиционного
уровня.
Таблица 5.1 - Характеристики деятельности международных
рейтинговых агентств в России
|
Показатель
|
Рейтинговое агентство
|
|
|
Moody's
|
Standard & Poor's
|
Fitch Ratings
|
| Количество банковских и корпоративных рейтингов, тыс. |
3,5 |
2,7 |
0,8 |
| Количество шкал инвестиционного уровня |
10 |
10 |
10 |
| Текущий суверенный рей- |
ВааЗ |
ВВ+ |
BB+ |
| Количество пунктов рейтинга России до инвестиционного уровня |
0 |
1 |
1 |
| Наивысший рейтинг российского банка |
Bal |
ВВ+ |
BB+ |
| Наивысший рейтинг выпуска ценных бумаг компаний и регионов |
ВааЗ |
ВВ+ |
BB+ |
| Количество российских банков, имеющих рейтинг агентства |
21 |
21 |
18 |
| Наличие партнеров в России |
РА «Интерфакс» |
EA-Ratings Представительство |
Представительство |
С 2003г. мировые рейтинговые агентства испытывают
повышенную нагрузку не только у нас в стране, но и в развивающихся странах. Рейтинговые
услуги стали пользоваться спросом в развитых странах и странах с переходной экономикой.
Все больше «экзотических» государств включаются в рейтинговый процесс. Основные
рейтинговые агентства, по данным газеты «The Financial Times», присваивают рейтинг примерно
половине стран мира (больше всех -Moody's, поддерживающий рейтинги 101 страны).
Остановимся кратко
на некоторых особенностях рейтингов и специфике их формирования рейтинговыми агентствами
Moody's Investors Service, Standard & Poor's и Fitch Ratings. При подготовке раздела использованы
материалы самих агентств.
Рейтинги Moody's Investors Service
Агентство Moody's публикует широкий спектр рейтингов
и исследований, которые охватывают как корпоративные, так и государственные обязательства
внутренних и внешних эмитентов За последнее время агентство расширило свою деятельность.
Помимо традиционных рейтингов обязательств Moody's присваивает рейтинги эмитентам
ценных бумаг, обязательствам страховых компаний, банковским займам, производным
финансовым инструментам, банковским депозитам и т.д. Общая сумма задолженности,
по которой агентство предоставляет кредитные рейтинги, составляет, по его данным,
около 85 трлн. долл., включая приблизительно 150 тыс. корпоративных и государственных
ценных бумаг более чем в 100 странах
мира, что составляет 95% долгосрочных международных
долговых обязательств. Более 800 аналитиков в 18 офисах во многих странах мира обеспечивают
подготовку и сопровождение рейтингов.
Рейтинги и исследования распространяются среди пользователей
в печатном и электронном виде, включая информационные системы в режиме реального
времени, широко используемые участниками финансовых рынков. Основные рейтинговые
продукты, сопровождаемые компанией Moody's, включают в себя следующие рейтинги:
• долгосрочных облигаций и привилегированных акций
(Long Term Ratings: Bonds and Preferred Stock);
• эмитентов (Issuer Ratings);
• банковских депозитов (Bank Deposit Ratings);
. финансовой устойчивости банков (Bank Financial Strength Ratings);
• финансовой устойчивости страховых компаний (Insurance Fi nancial Strength Ratings);
• внутристрановые рейтинги (National Scale Ratings);
• управляющих фондов (Managed Fund Ratings);
• фондов по операциям с недвижимостью (Real Estate Fund Ratings)
В 2003г. список рейтингов был дополнен рейтингом корпоративного
управления.
Рассмотрим некоторые из этих рейтингов более подробно.
Рейтинги банковских депозитов отражают способность банка выплатить в срок
причитающуюся по депозиту сумму в национальной или иностранной валюте. Рейтинги
по депозитам в иностранной валюте зависят от. устанавливаемого Moody's потолка для данной страны.
Для России такой предельный долгосрочный рейтинг по со стоянию на середину 2004г.
для банковских депозитов в иностранной валюте имеет значение Bal.
Рейтинги банковских депозитов учитывают те аспекты
кредитно го риска, которые связаны с возможностями рассматриваемых банков выполнить
свои обязательства по депозитам в иностранной и/или национальной валюте. Учитываются
такие факторы, как внутренние финансовые возможности, валютный риск (для вкладов
в иностранной валюте), факторы внешней поддержки
Рейтинг не учитывает выплат по страхованию депозитов,
однако принимаются во внимание возможности поддержки банков с помощью таких схем
страхования. Этот рейтинг отражает оценку банка агентством как заемщика средств,
будь то депозиты в банке или по лученные межбанковские кредиты.
Помимо рейтингов банковских депозитов Moody's публикует рейтинги банковских
финансовых возможностей, которые не включают влияние суверенного риска и внешней
поддержки. Эти рейтинги используются для уточнения и объяснения предыдущих, которые
включают и учитывают такие факторы.
Классификация
групп банковских рейтингов (долгосрочных рейтингов депозитов в иностранной валюте)
агентства Moody's и
аналогичных им групп кредитных банковских рейтингов других агентств приведена в
табл. 5.2. Следует отметить, что структура рейтинговых групп для небанковских организаций
и для долговых обязательств во многом схожа.
Таблица 5.2 - Классификация рейтингов агентства Moody's
|
Обозначение рейтинга Moody's
|
Описание рейтинга Moody's
|
Обозначение рейтингов-аналогов
|
|
|
|
Standard & Poor's
|
Fitch Ratings
|
| Ааа |
Банки с исключительной кредитоспособностью и минимальным уровнем
риска. Изменение кредитоспособности этих банков с малой вероятностью сказывается
на ухудшении их сильных позиций |
ААА |
ААА |
| Аа |
Банки с отличной кредитоспособностью, но более восприимчивые к долгосрочным
рискам, чем банки из первой группы. Уровень защиты может быть не так велик, как
для банков Ааа |
АА |
АА |
| А |
Хорошая кредитоспособность, однако восприимчивость к рискам может
привести к ухудшению положения банка |
А |
А |
| Ваа |
Адекватная кредитоспособность. Не достает некоторых элементов за
щиты либо они ненадежны в долгосрочной перспективе |
ВВВ |
ВВВ |
| Ва |
Сомнительная кредитоспособность. Часто возможности банков по свое
временному выполнению обязательств могут быть сомнительными, таким образом, они
недостаточно надежны в долгосрочной перспективе |
ВВ |
ВВ |
| В |
Низкая кредитоспособность. Вероятность своевременного выполнения
обязательств по прошествии длительного периода низка |
В |
В |
| Саа |
Чрезвычайно низкая кредитоспособность. Такие банки могут быть признаны
банкротами либо существует значительная угроза их финансовому состоянию |
ССС |
ССС |
| Са |
Банки, объявившие дефолт по своим обязательствам |
СС |
СС |
| С |
Банки, объявившие дефолт по своим обязательствам, и возможности улучшения
ситуации маловероятны |
C,D |
CD |
Кроме того, Moody's использует дополнительные
индексы 1, 2 и 3 (с понижением уровня оценки) во всех общих категориях от Аа до
Саа. Аналогично дополнительные градации вводятся другими агентствами с использованием
знаков (плюс, без знака, минус).
Рейтинги краткосрочных банковских депозитов включают
уровни отличной, высокой, приемлемой и низкой кредитоспособности (соответственно
Prime-1, Prime-2, Prime-3 и Not Prime), характеризующие оценку
агентством возможностей для своевременного выполнения обязательств по краткосрочным
депозитам.
Рейтинги финансовой устойчивости банков отражают позицию агентства
в отношении устойчивости и надежности банков, исключая, таким образом, определенные
внешние кредитные риски и факторы внешней поддержки. Помимо коммерческих банков
эти рейтинги мо гут применяться к другим типам финансовых учреждений, таким, как
международные банки развития, правительственные финансовые организации и национальные
финансовые институты развития.
Эти рейтинги не
рассматривают своевременность выполнения обязательств банка, а отражают вероятность
того, что банку потребуется помощь третьей стороны (владельцев, государственных
органов, других компаний отрасли). Они не учитывают вероятность получения та кой
внешней помощи, не рассматриваются также риски, связанные с государственным вмешательством,
которое может повлиять на способность банка выполнить свои обязательства (как внутренние,
так и внешние). Среди факторов, учитываемых при присвоении рейтинга финансовой устойчивости,
выделяют такие специфические банковские аспекты, как базовые финансовые показатели,
диверсификация деятельности и активов и др. Хотя при этом исключаются внешние факторы,
рейтинг учитывает устойчивость и перспективы роста экономики, структуру и соответственно
хрупкость финансовой системы, качество регулирования и надзора за банковской деятельностью.
Для ранжирования применяются буквы от А до Е с возможностью
использования подградаций «+» и «-», которые характеризуют соответствующее мнение
агентства.
Рейтинги эмитентов рассматривают долговые обязательства
эмитентов и имеют несколько направлений, используемых агентством Moody's.
Рейтинги эмитентов, являющихся основными плательщика
ми по долгу без обеспечения, отражают способность организаций оплатить крупные необеспеченные
финансовые обязательства и контракты в иностранной или национальной валюте. Рейтинги
эмитентов обязательств в иностранной валюте ограничиваются страновым потолком (Moody's Foreign Currency Country Ceilings - предельные размеры обязательств
в иностранной валюте).
Рейтинги контрагентов, присваиваемые компаниям, работающим
с производными продуктами, и клиринговым палатам, характеризуют финансовые возможности
лица, принявшего на себя обязательство оплатить свои крупные обязательства согласно
финансовым контрактам. Рейтинги эмитентов, которые присваиваются банкам, определяют
способность банка выполнить свои обязательства по крупным не обеспеченным финансовым
контрактам.
Рейтинги муниципальных эмитентов отражают оценку возможностей
по выплатам по обслуживанию долга правительственной организации. Присваиваемые рейтинги
эмитентов основаны на независимой оценке Moody's отдельных кредитных характеристик
муниципалитета.
Градация, соответствующая рейтингу эмитентов, дает
кредитору простую систему измерения способности организации обеспечивать свои основные
финансовые обязательства.
Рейтинги агентства Standard & Poor's
Мировым лидером в области предоставления независимых
высококачественных рейтинговых услуг для международных финансовых рынков является
также агентство Standard & Poor's (название обычно сокращают до S&P). Его услуги по оценке кредитных
рисков, изданию аналитических и справочных материалов являются широко востребованными
и стали неотъемлемой частью мировой финансовой системы. Этому способствуют системность,
мощные аналитические ресурсы и следование принятым целевым установкам аналитиками
агентства.
Общая сумма долговых обязательств, имеющих рейтинг
S&P, по данным агентства, превышает
30 трлн. долл. Деятельность S&P к началу 2004г. была организована на базе не только центрального
офиса в США, но и представительств в 18 странах мира (в том числе в России), а также
во взаимодействии со своими стратегическими партнерами.
История S&P в России и других странах СНГ началась в октябре 1996г.
с присвоения России кредитного рейтинга на уровне ВВ-. Впоследствии рейтинги были
присвоены Казахстану и Украине. В 1998г. компания S&P открыла свое представительство
в Москве и сформировала штат русскоговорящих аналитиков, в том числе за счет интеграции
с российским агентством EA-Ratings, которое в конце 2001г., по сути, влилось в S&P. Штат и презентационные возможности
компании в России постоянно возрастают. По состоянию на начало 2004г. - это более
20 аналитиков; общее число присвоенных в России и других странах СНГ рейтингов превысило
сотню. Компания имеет несомненные достижения на рынке рейтинговых услуг в России
и странах СНГ, что базируется на практическом знании российского рынка и рынков
других постсоветских стран, а также на ведении и поддержке российской шкалы кредитного
рейтинга.
Среди своих инноваций S&P выделяет следующие рейтинги:
• секьюритизированных финансовых инструментов;
• аккредитивов;
• финансовой устойчивости страховых компаний;
• банковских холдингов;
• компаний, обеспеченных финансовыми гарантиями;
• корпоративного управления.
Включая субъекта хозяйственной деятельности или ценные
бумаги в свой список, агентство присваивает им соответствующий рейтинг, т.е. относит
их по степени надежности к тому или иному классу.
Основными принципами оказания рейтинговых услуг агентством
Standard & Poor's являются:
• независимость оценок — кредитный рейтинг
представляет со бой независимое (от участников рынка, государственных и коммерческих
организаций) мнение рейтинговой компании по поводу кредитоспособности эмитента;
• публичность и доступность аналитических критериев
для участников рынка, в том числе через ресурсы Интернета на различных языках,
включая русский;
• коллегиальность принятия рейтинговых решений
за счет процедурных и регламентных особенностей, исключающих возможность манипуляции
мнением аналитиков;
• интерактивность взаимодействия с эмитентом
в процессе присвоения кредитного рейтинга и последующего наблюдения за ним, включая
регулярные встречи с руководством эмитента и постоянный информационный контакт,
позволяющий оперативно реагировать на происходящие изменения;
• конфиденциальность информации, позволяющая
гарантировать эмитенту неразглашение переданной аналитикам конфиденциальной информации
и предание огласке рейтинга только с согласия эмитента;
• использование рейтинговых шкал, обеспечивающих
сравнение эмитентов разной экономической природы (корпорации, регионы, муниципалитеты,
банки, страховые компании и др.) и их обязательств по величине кредитного риска
вне узкоотраслевого контекста.
Естественно, рейтинговая деятельность базируется на
безупречной репутации. Репутация для рейтингового агентства особенно важна, поскольку
при всей отработанности методик рейтинговое заключение является субъективным мнением.
Несмотря на то что различные агентства используют
схожие бук венные обозначения своих рейтингов, их подходы к анализу далеко не во
всем совпадают. Традиционно подход агентства Standard & Poor's к оценке риска и присвоению
рейтинга несколько консервативный и осторожный, у Fitch Ratings - весьма либеральный, у Moody's оценки, как правило, по жесткости
находятся между оценками этих двух агентств. В то же время сравнивать между собой
по присвоенному рейтингу можно лишь те компании, которые получили рейтинг от одного
и того же агентства. Присвоенные же разными агентствами рейтинги сравнивать и сопоставлять,
вообще говоря, нельзя.
Шкала кредитного рейтинга, используемая агентством
Standard & Poor's, во многом аналогична приведенной
выше шкале агентства
Moody's, но имеет несколько другие расшифровки. Например, для наиболее
востребованных в России рейтинговых групп ВВВ, ВВ и В классификация групп применительно
к облигационным заимствованиям выглядит следующим образом (в скобках приведена кодификация
для аналогичных групп агентства Moody's):
• ВВВ (Ваа) - облигации среднего качества; вложения
в облигации данного класса достаточно защищены, процентные выплаты в определенной
степени также гарантированы. Но за финансовым положением компании необходимо вести
тщательное наблюдение, так как компания нестабильна;
• ВВ (Ва) - облигации, имеющие качество ниже среднего;
по данным ценным бумагам покрытие долга и процентных выплат весьма небольшое, компания
работает нестабильно. Облигации имеют отдельные черты, присущие спекулятивным ценным
бумагам;
• В (В) - облигации низкого качества, имеют спекулятивный
характер; коэффициенты покрытия долга и процентных выплат ниже нормативных значений.
Вложения в данные ценные бумаги весьма рискованны, поскольку нет уверенности в том,
что в ближайшее время финансовое положение компании улучшится.
Кроме того, агентство к буквенным обозначениям добавляет
знаки «+» или «-», которые позволяют дополнительно классифицировать субъекты, находящиеся
в одной группе. Агентство также может публиковать прогноз рейтинга, который показывает
возможное на правление движения рейтинга в краткосрочной перспективе:
• позитивный - рейтинг может повыситься; » негативный
- рейтинг может понизиться;
• стабильный - изменение маловероятно;
• развивающийся - возможно повышение или понижение
рейтинга.
Некоторые особенности рейтингов
и услуг агентства Fitch Ratings
К числу крупнейших
международных рейтинговых агентств от носится также Fitch Ratings. Оно существенно выросло
за последние годы и расширило свою деятельность, охватив рейтингами не только банки
и их финансовые инструменты, что изначально было спецификой этого агентства, но
и другие структуры. Имея штаб-квартиры в Нью-Йорке и Лондоне, оно представлено 50
офисами по всему миру и охватывает деятельность почти 90 стран. Есть представительство
агентства и в России.
Агентство формирует мнение относительно хозяйствующего
субъекта или выпуска ценных бумаг в части выполнения финансовых обязательств, среди
которых могут быть выплата процентов, дивидендов по привилегированным акциям, выплата
основного долга с учетом временного фактора. Среди субъектов, которым присваивается
рейтинг, - суверенные государства, правительственные обязательства, структурированные
финансовые заимствования, компании и их заимствования. В качестве оцениваемых инструментов
можно указать заимствования, привилегированные акции, банковские кредиты и др. Кроме
того, агентство определяет рейтинги финансовой силы страховых компаний и гарантов.
Кредитные рейтинги, как принято, отражают мнение относительно
вероятности неисполнения финансовых обязательств. В рейтингах напрямую не декларируется
связь с вероятностью невыполнения обязательств. Однако статистика прошлых лет показывает,
что вероятность дефолта американских корпоративных облигаций с рейтингом Fitch Ratings AAA составляет 0,10% в год, 0,33%
- при рейтинге ВВВ и около 3,0% - при рейтинге В.
Агентство присваивает и поддерживает широкий спектр
корпоративных, структурированных и государственных финансовых долговых обязательств.
При этом существуют международные и национальные рейтинговые шкалы. Рейтинги различаются
также по срокам: долгосрочные и краткосрочные. В 2004 г. национальная шкала была
задействована и в России.
Поддерживается также значительное число специальных
рейтингов, среди которых рейтинги различных видов структурированных финансовых продуктов,
включая необслуживаемые заимствования, а также закладные обязательства и облигационные
фонды. Также агентство занимается индивидуальными рейтингами банков и рейтингами
поддержки. Выделяют рейтинги для банков и страховых компаний в силу их специфики
и важности для поддержки и развития бизнеса. Схема рассмотрения, методические положения
и рейтинговая шкала имеют много общего с аналогичными вопросами, рассмотренными
выше. В частности, рейтинговая шкала достаточно близка агентству Standard & Poor's, за исключением более структурирован
ной части для раздела D - дефолт, имеющей три градации. Национальные шкалы также аналогичны
рассматриваемым далее.
Шкала краткосрочных рейтингов у этого агентства имеет
классификацию в их спекулятивной части. Для инвестиционной части выделяют рейтинги
Fl, F2 и F3, характеризующие наивысшее,
хорошее и среднее кредитное качество компании или обязательства. Кроме того, предусмотрены
рейтинги В - для спекулятивного уровня, С - рейтинг высоких рисков дефолта, D - дефолтовый рейтинг, который
означает существующий или надвигающийся дефолт.
Информационно-аналитическое агентство Рус-Рейтинг и его структура
В настоящее время, как уже говорилось, деятельность
банковского сектора России анализируют четыре ведущие рейтинговые агентства, чьи
рейтинги признаны международными финансовыми институтами. Это - Standard&Poor's, Fitch, Moody's и Рус-Рейтинг.
Агентство «Рус-Рейтинг»
анализирует деятельность 44 банков РФ. Это самый высокий показатель среди рейтинговых
агентств, работающих в России. Остановимся на его структуре.
Агентство «Рус-Рейтинг» выпускает аналитические отчеты
двух видов: краткие еже месячные отчеты-мониторинги с присвоением краткосрочного
рейтинга кредитоспособности банков и подробные (обзорные) отчеты по каждому банку
1 раз в год.
В процессе составления отчетов данные из различных
разрозненных источников объединяются и анализируются в совокупности, подтверждая
или опровергая друг друга. Такой подход позволяет лучше понять процессы, происходящие
в банке, и оценить его реальное положение (а не то, которое складывается из прессы
или из балансовых данных). Деятельность и состояние банка становятся более прозрачными.
Финансовый анализ дается на основе ежемесячной бухгалтерской
отчетности по российским стандартам за период не менее одного года. Это позволяет
более достоверно отражать финансовое положение банка, чем анализ его отчетности
на отдельную дату.
Каждый отчет состоит из трех частей:
♦ краткая характеристика банка, рейтинг и его
обоснование;
♦ общие сведения о банке, его акционерах, менеджменте,
рыночных позициях;
♦ финансовый анализ.
Содержание и форма отчетов учитывают не только потребности
в оценке наиболее важных рисков, но также накопленный опыт аналитиков, запросы подписчиков,
требования
регуляторов. В частности, с выходом Положения Банка
России № 254-П, предписывающего банкам вести досье на банки-контр агенты, отчет
«Рус-Рейтинга» был модифицирован и для удобства банковских аналитиков в него дополнительно
включена информация в требуемом Центробанком виде.
Структура отчета включает в себя разделы, каждый из
которых раскрывает информацию по определенным позициям. Учитывая ин формационную
закрытость многих банков, некоторые позиции могут быть не отражены в отчете из-за
отсутствия информации.
Несмотря на то, что отчеты агентства «Рус-Рейтинг»
схожи по своей сути с отчетами существующих на рынке компаний, есть и некоторые
отличительные черты. Во-первых, большое значение уделяется исследованию корпоративного
управления банка. В частности рассматриваются:
♦ информационная прозрачность и честность;
♦ кредитная история и репутация банка;
♦ взаимоотношения с заинтересованными лицами
(акционерами, сотрудниками, клиентами, обществом, государственными структурами).
Во-вторых, важное место занимает оценка политических
ресурсов и рисков. Политические ресурсы - это доступ представите лей банка к бюрократическому
аппарату и политическим лидерам, пределы его влияния, возможность лоббирования своих
интересов. Политические риски - это тот ущерб, который может быть нанесен банку
заинтересованными лицами в связи с его политическими ресурсами, ущерб от потери
политических ресурсов, а также необходимость принятия банком экономически не выгодных
решений в общении с клиентами.
Итогом аналитического процесса является присуждение
банку рейтинга символьного обозначения совокупного уровня рисков. Краткосрочный
рейтинг кредитоспособности — совокупный кредитный риск банка в краткосрочной перспективе
(до трех месяцев). Рейтинги «Рус-Рейтинга» являются внутрироссийскими и не учитывают
трансграничные риски, т.е. возникающие при инвестировании денег в другом государстве.
Эти рейтинги для тех, кто работает в России или принял такое решение, сделав поправку
на страновой риск.
В настоящее время
все рейтинги агентства, присужденные банкам, находятся в диапазоне от ВВВ до С-.
Более позитивные рейтинги российских банков пока невозможны из-за высоких системных
рисков, которые не зависят от банка, но могут негативно повлиять на финансовые рынки,
банковский бизнес, взаимоотношения банков с клиентами и контрагентами. ( см. таблица
5.3)
Таблица 5.3 -
Шкала рейтингов агентства «Рус-Рейтинг»
|
ВВВ+
|
Сравнительно высокая степень
кредитоспособности. Финансовое со стояние оценивается как устойчивое и стабильное
в среднесрочной перспективе. |
|
ВВ+
|
Средняя степень кредитоспособности.
Финансовое состояние оценивается как удовлетворительное и стабильное в краткосрочной
перспективе. |
|
В+
|
Степень кредитоспособности
незначительно ниже средней. Основные показатели финансового со стояния оцениваются
как удовлетворительные и стабильные в краткосрочной перспективе. |
|
ССС+
|
Степень кредитоспособности
ниже средней. Основные показатели финансового состояния оцениваются как удовлетворительные,
но их стабильность сомнительна. |
|
СС+
|
Низкая степень кредитоспособности.
Основные показатели финансового состояния оцениваются как близкие к удовлетворительным,
но их стабильность сомнительна. |
|
С+
|
Недопустимо низкая степень
кредитоспособности. Финансовое состояние оценивается как неудовлетворительное
или близ кое к удовлетворительному, но его стабильность сомнительна. |
|
D
|
Низшая степень оценки кредитоспособности.
Финансовое состояние оценивается как стабильно неудовлетворительное (близкое к
дефолту). |
|
О
|
Рейтинг аннулирован по требованию
банка. |
О рейтинге крупнейших
Российских банков см. в Приложении 2.
5.6 Международные рейтинги российских
банков
Рейтинги банков в последнее время получили достаточно
широкое распространение на международном и национальном уровне. Каждое из основных
трех агентств сегодня рейтингует около 20 банков.
Многие банки имеют по два, а некоторые - и по три
рейтинга. Таким образом, к середине 2004 г. международные рейтинги были присвоены
более 40 российским банкам.
Среди банков, которые имеют рейтинги на протяжении
длительного времени, можно указать входящие в число крупнейших Внешторгбанк, Газпромбанк,
Альфа-банк (рейтинги агентства Moody's), Сбербанк России и Международный московский банк (Fitch Ratings).
В 2003г. - вначале 2004г. были повышены или вновь
присвоены рейтинги многих российских банков. Сбербанк России и Внешторгбанк получили
низший инвестиционный рейтинг ВааЗ ожидаемых выпусков еврооблигаций, т.е. на уровне
Российской Федерации. Агентством Moody's повышены долгосрочные рейтинги депозитов в иностранной валюте
Внешторгбанка с ВаЗ до Bal и Газпромбанка - с ВаЗ до Ва2, а также ряда других банков.
Международное рейтинговое агентство Fitch Ratings присвоило долгосрочный рейтинг
ВВ+ еврооблигациям Сбербанка России (на уровне суверенного рейтинга). Повышены рейтинги
ряда других банков, а вновь присвоенные рейтинги Внешторгбанка и Сбербанка России
также имеют уровень суверенного.
Летом 2004г. британский
журнал «The Banker» опубликовал очередной рейтинг 1000 крупнейших банков мира. Банки
в этом списке ранжированы по величине капитала. Американские и российские банки
демонстрируют рост. Большинство новых участников списка - из России и США. И все
это - несмотря на снижение темпов мирового экономического роста.
6. Рейтинг долговых обязательств
Российский фондовый рынок становится одним из значимых
источников ресурсов для банков. В этой связи для банка важно успешно разместить
выпуски облигаций, т. е. привлечь желаемый объем ресурсов по минимальной стоимости.
С другой стороны, инвесторы или покупатели облигаций хотят быть уверенными в том,
что бумаги ликвидны (т. е. их можно быстро реализовать без потери в цене) и эмитент
полностью и в срок расплатится по своим обязательствам в отношении данной облигации
(выплатит купоны и по гасит номинальную стоимость облигации в конце срока обращения).
В данном случае инвестору необходимо оценить риски облигации и принять решение,
по какой цене он готов покупать облигацию и ка кой уровень доходности она должна
при носить.
6.1 Оценка риска облигации
Анализируя рыночную стоимость и кредитный спрэд торгуемой
облигации, инвестор может получить определенное представление об оценке уровня риска
данной облигации участниками торгов. Для принятия более взвешенного решения зачастую
необходимо мнение третьей стороны. Источником такой информации может служить рейтинг
облигации, присвоенный независимым рейтинговым агентством и основанный на фундаментальном
анализе рисков эмитента ценной бумаги с учетом всех параметров и условий выпуска
облигации.
Оценка риска облигации,
основанная на кредитном спрэде торгуемой ценной бумаги, предполагает адекватность
рынка. Это предположение в большей степе ни применимо для крупных рынков, на которых
работает большинство крупных институциональных и частных инвесторов.
На российском долговом рынке число выпусков облигаций
пока невелико, ретроспективная история мало информативна из-за сегментарности и
непрозрачности предоставляемой информации. Более того, асимметрия информации (некоторые
участники располагают большей ин формацией) и ограниченная ликвидность рынка - отличительные
факторы российского рынка - могут значительно влиять на результаты торгов той или
иной облигации и в некоторой степени искажать их результаты. Фундаментальный анализ
рисков облигации и ее эмитента, наоборот, позволяет объективно оценить полную картину
институционального риска.
Инвестор может проводить сравни тельный анализ стоимости
аналогичных
заимствовании других эмитентов, выделяя их особенности
и отличия. Рейтинг облигации, присвоенный независимым авторитетным агентством, служит
ориентиром для инвесторов при определении справедливой стоимости облигации.
Российский фондовый рынок стремительно растет. Все
больше внимания обращают на него не только российские, но и зарубежные инвесторы,
особенно в части укрепления и относительной стабилизации национальной валюты. Тем
не менее достоверно и объективно отразить влияние уровня рейтинга облигации на формирование
ее рыночной стоимости (и дальнейшую динамику уровня рейтинг на изменение этой стоимости),
особенно в условиях недолгой кредитной истории, весьма затруднительно.
Для зарубежного рынка, на котором эмитенты из разных
стран размещают еврооблигации, весьма показательным примером такого влияния являются
рейтинги долговых обязательств, присвоенные международными рейтинговыми агентствами.
Более того, нередко для эмитента обязательно получение рейтинга выпускаемой ценной
бумаги, для того чтобы участники рынка могли получить как можно больше разных независимых
оценок той или иной бумаги при принятии более взвешенного решения.
На российском
рынке присвоено крайне ограниченное число рейтингов облигациям, эмитированным банками,
что не позволяет провести четкую статистическую корреляцию между изменением стоимости
облигации и динамикой рейтинга долгового обязательства. При этом нельзя не учитывать
тот факт, что важной составляющей рейтинга облигации является уровень кредитного
рейтинга эмитента этой ценной бумаги. Более того, из-за ограниченности объективной
информации об эмитенте кредитные рейтинги часто используются инвесторами как некий
ориентир для оценки эмитент и его способности расплачиваться по своим обязательствам.
Безусловно, при присвоении рейтинга (равно как и при оценке уровня риска облигации
и определении ее справедливой стоимости инвестором) учитываются дополнительные факторы,
связанные как с эмитентом, то и с параметрами и характеристиками oоблигационного займа. Для
целей настоящего исследования был проведен анализ корреляции кредитного спрэда облигации
и уровня кредитного рейтинга RusRatini эмитента этой облигации, а
также изучена корреляция изменения уровня кредитного рейтинга и динамики кредитного
спрэда облигации.
6.2 Кредитный рейтинг эмитента как инструмент определения
рисков
Агентством RusRating в 2000г. были присвоены кредитные
рейтинги 56 банкам. Некоторые из них осуществили выпуски облигаций (табл. 6.1).
С начала 2006г. 51 банк эмитировал выпуски облигаций
(77 выпусков) на российском рынке. 17 банкам, осуществившим 25 выпусков облигаций
за этот пери од, были присвоены кредитные рейтинги RusRating. Оценка уровня риска облигации
в первую очередь влияет на формирование ее стоимости и уровня доходности (размера
купона).
Представленные данные подтверждают общую тенденцию
снижения стоимости заимствований для банков с 2002г. до текущего момента, что связано
с обще экономическими и системными фактора ми, например общим укреплением и стабилизацией
экономики и банковской системы, повышением уровня прозрачности и эффективности работы
банков, расширением и развитием рынка долговых заимствований и др.
В целом оценки
рисков эмитентов RusRating, выраженные в уровне присвоенных кредитных рейтингов,
также подтверждают эти явления. При этом у банков с одинаковыми уровнями кредитных
рейтингов ставки купонов облигаций с сопоставимыми параметрами различались. Также
для некоторых банков с более высоким уровнем кредитного рейтинга были определены
купоны выше, чем по облигациям с сопоставимыми параметрами, уровень кредитного рейтинга
эмитентов которых был ниже. Такие случаи в большей степени свидетельствуют о том,
что иногда инвесторы в отсутствии объективной и достоверной информации об эмитенте
(это характерно для дебютных выпусков менее известных эмитентов) опираются на общие
тенденции рынка и сравнивают риски разных эмитентов по некоторым количественным
параметрам, что бывает недостаточно для принятия взвешенного решения об уровне риска
того или иного эмитента).
Отсутствие инструментов фундаментальной оценки уровня
риска эмитента может обернуться для инвесторов недо получением части доходов (при
пере оценке уровня риска) или возможными потерями (в случае заниженной оценки рисков).
Уровень рейтинга эмитента (или облигации) может дать инвестору дополнительную информацию
для принятия решения либо послужить инструментом для сравнения уровня рисков и,
соответственно, доходности облигаций разных эмитентов. Для эмитента уровень кредитного
рейтинга (или, в частности, уровень рейтинга облигации) также может быть дополнительным
инструментом оценки стоимости выпускаемых ценных бумаг и своих потенциальных возможностей
по привлечению средств на фондовом рынке.
Таблица 6.1.
- Банки с присвоенным кредитным рейтингом RUSRATING, выпускавшие облигации в
2000 - 2007 гг.

6.3 Кредитный рейтинг эмитента
как кредитный спрэд облигации
Оценка уровня риска облигации рынком количественно
выражается в разнице между доходностью этой облигации и доходностью безрисковой
бумаги с аналогичными параметрами выпуска. Для целей настоящего исследования мы
обо значили эту разницу как «кредитный спрэд», хотя иногда данная разница может
быть связана с дополнительными факторами, характерными для развитых рынков с более
«сложными» финансовыми инструментами. Для определения кредитного спрэда облигации
учитывалась разница между средневзвешенной эффективной доходностью облигации"
и доходностью «безрисковой» облигации. В качестве безрисковой бумаги использованы
данные кривой доходности ГКО-ОФЗ. При анализе учитывались данные по облигациям,
эмитированным банками, которым был присвоен кредитный рейтинг RusRating в период обращения этих облигаций
на рынке.
На рис. 2 представлена динамика кредитных спрэдов
облигаций банков, которым присвоен кредитный рейтинг RusRating. Как видно на графике, с начала
2006г. не только снизились спрэды, но и их волатильность стала меньше. Расширение
и развитие российского фондового рынка, выход на него новых игроков, формирование
кредитных историй эмитентов, положительная динамика рос та всего фондового рынка
и другие факторы оказывают влияние на снижение стоимости заимствований для эмитентов,
хотя на рынок выходят новые эмитенты, ставки размещения и кредитный спрэд которых
может быть несколько выше. Эти факторы и растущий интерес инвесторов к долгам российских
банков способствуют увеличению объема торгов банковскими облигациями и ликвидности
этого рынка. Таким образом, представленный спрэд все меньше подвергается влиянию
других факторов, а больше отражает именно риски каждой конкретной облигации.

Рис. 2 - Динамика
спрэдов облигаций
В данной связи становится наиболее актуальным соответствие
уровня риска облигации и кредитного спрэда. Рассчитанные данные по спрэдам облигаций
отражают оценку риска каждой облигации участниками рынка в целом. Мы оцениваем корреляцию
уровня кредитного рейтинга RusRating эмитента облигации и кредитно
го спрэда облигации, т. е. насколько могут различаться оценки уровня риска облигаций
участниками торгов и независимым агентством, выраженные в уровне рейтинга, присвоенного
при анализе кредитного риска эмитента (рис. 3).
Данные, представленные
на рис. 4, позволяют с большей точностью отразить степень корреляции уровня кредитного
рейтинга эмитента и кредитного спрэда облигации с учетом общей тенденции сужения
спрэда с начала 2004г. Так, на клон кривой регрессии показывает средний уровень
кредитного спрэда облигации для каждого уровня рейтинга эмитента в обозначенных
периодах времени.
На графиках видно,
что уровень рейтинга в значительной степени коррелирует со значением кредитного
спрэда облигации, т. е. фундаментальная оценка риска эмитента учитывается участниками
торгов. Также заметны существенные отклонения значений спрэдов некоторых облигаций
от обозначенной кривой, что в определенной степени подтверждает то, что участники
рынка не всегда в полной мере учитывают фундаментальную оценку риска эмитента облигации
при определении ее стоимости.

Рис. 4. Кредитный
спрэд для каждого уровня рейтинга RusRating в 2004 - 2007 гг.
Показатели спрэдов
ниже кривой регрессии свидетельствуют о заниженной оценке риска облигации участниками
рынка, показатели спрэдов выше кривой - о пере оценке уровня рисков. И в том и другом
случаях инвесторы либо несут дополнительные риски, либо недополучают часть доходов.
Мы провели аналогичный анализ корреляции спрэдов торгуемых облигаций и уровней кредитных
рейтингов эмитентов, присвоенных другими рейтинговыми агентствами, и получили сопоставимые
результаты; в 2007г. уровень корреляции составлял в среднем 30-40%.
Динамика кривой регрессии можете определенной степенью
вероятности свидетельствовать о снижении стоимости заимствований для банков при
повышении уровня кредитного рейтинга RusRating.
Таким образом, Российский фондовый рынок становится
значимым источником ресурсов для российских банков, в частности не крупных региональных
банков.
Поскольку кредитное качество эмитента облигаций становится
ключевым фактором при формировании цены облигации, то использование инструментов
оценки кредитного риска будет способствовать качественному росту и развитию рынка
долгов российских банков.
При формировании рыночной стоимости облигационного
займа участники рынка, кроме оценки кредитного риска, учитывают ряд дополнительных
параметров, связанных с ликвидностью и конъюнктурой фондового рынка.
Рейтинг облигационного займа, присвоенный независимым
агентством и основанный на всесторонней оценке спектра рисков, связанных с деятельностью
эмитента, является инструментом оценки уровня кредитного риска облигационного займа.
Такой рейтинг может быть использован в инвестиционных стратегиях, нацеленных на
возможность арбитража на российском финансовом рынке.
7. Банковские
рейтинги в России
7.1 Формирование в
России рейтинговой системы
На сегодняшний день наиболее развитым сектором рейтинговых
продуктов является сектор банковских рейтингов. Это объясняется не только большей
регламентированностью деятельности, но и относи тельной доступностью и прозрачностью
отчетности кредитных учреждений, острым общественным интересом, порожденным возрастающим
разнообразием предлагаемых банковских продуктов и услуг.
Рейтинговые услуги до кризиса 1998г.
Современная банковская система России - одна из самых
молодых. По сути дела, она насчитывает всего 15 лет. Поэтому практика рейтингования
банков также относительно невелика. Естественно, первые рэнкинги были ориентированы
на представление хотя бы какой-то информации для возникающего бизнеса и клиентов,
которые привыкли до этого иметь дело лишь с четырьмя государственными банками, когда
проблемы выбора не существовало как таковой.
Вопрос создания банковских рейтингов приобрел актуальность
к середине 1990-х гг., когда конкуренция между банками приобрела реальные очертания,
а бизнесу потребовались четкие ориентиры при выборе обслуживающих банков. В 1995-1998
гг. рейтинговые услуги были представлены на рынке уже тремя-четырьмя агентствами.
Постепенно на российском рынке стали появляться крупнейшие западные компании, одна
из них - Standard & Poor's успела открыть представительство в России, другая - Tompson Bank's Watch - пыталась активно у нас работать,
но после кризиса была поглощена крупной международной компанией Fitch 1BCA. При этом неадекватность
оценок во время кризиса в России и развивающихся странах стала одной из причин такого
поглощения.
Банковская аналитическая информация в эти годы была
представлена преимущественно публикациями рэнкингов (упорядоченных списков) в российских
массовых изданиях, среди которых системностью в наибольшей мере выделялись журнал
«Эксперт», Ин формационный центр «Рейтинг» (ИЦ «Рейтинг») и Информационное агентство
«Интерфакс», а периодичностью - журнал «Профиль». Типовой набор рэнкингов включал
прежде всего списки банков, упорядоченных по объемным показателям (активы-нетто,
капитал, валюта баланса) банковской деятельности. Кроме того, популярны были рэнкинги
по объемам предоставленных небанковским организациям кредитов, привлеченных депозитов
и зарубежных инвестиций, объемам государственных ресурсов, обслуживаемых в коммерческих
банках, операций на рынках ГКО-ОФЗ, вкладов частных лиц и др.
Меньший интерес представляли данные по величине полученной
прибыли, рентабельности, доходности банковских операций. В силу гипертрофированности
налогообложения банковской деятельности в отличие от мировой практики эти показатели
подвергались «оптимизации» и далеко не всегда отражали реальную картину. Некоторые
издания анализировали динамику изменения показателей, в том числе мест банков по
различным срезам, что представляло определенный интерес для сравнительного анализа.
В преддверии и сразу после кризиса стали значимыми такие факторы, как объемы зарубежных
заимствований, характеристики операций на рынке производных финансовых инструментов
и др.
Методики оценки отдельных показателей для перечисленных
рэнкингов отличались. Это связано прежде всего с неоднозначностью и недостаточной
определенностью существовавших инструкций регулирующих органов и их несовпадением
с «экономическим» смыслом. В результате рэнкинги не всегда совпадали, что приводило
к путанице и возможным манипуляциям.
К числу наиболее
известных докризисных проектов собственно рейтинговых систем можно отнести проекты,
реализованные ИЦ «Рейтинг», КБ «Оргбанк», Аналитическим центром финансовой ин формации
(АЦФИ), а также так называемый рейтинг Кромонова, мигрировавший из одного издания
в другое. Закрытые классификаторы существовали в Банке России, но они не являлись
общедоступными, а информация о них лишь изредка попадала к специалистам банков.
В подходах Банка России активно использовалась структуризация показателей, близкая
к методике CAMEL. Далее из поля наше го внимания естественным образом выпадут рэнкинги
и рейтинги, которые характеризуют лишь отдельные стороны деятельности, пре жде всего
рекламы и связи с общественностью, например рейтинги прессы, впоследствии интернет-сайтов
и т.д.
Таблица 7.1 -
Банковские рейтинговые продукты в России до кризиса 1998г.
|
|
Тип рейтинга (агентство)
|
|
|
Показатель
|
надежности
|
стабильности
|
интегральный
|
надежности
|
|
|
|
(ИЦ «Рейтинг»)
|
(АЦФИ)
|
(КБ «Оргбанк»)
|
по Кромонову
|
|
|
|
|
|
|
|
|
| Использование |
Да |
Да |
Да |
Нет |
|
| экспертной |
|
|
|
|
|
| информации |
|
|
|
|
|
| Наличие жест- |
Частично, |
Частично, |
Ограничи- |
Варьируе- |
|
| кого алгоритма |
внутренний |
внутренний |
тельные |
мый и пуб- |
|
|
|
|
|
критерии |
ликуемый |
|
| Возможность |
Затруднена |
Затруднена |
Затруднена |
Имеется |
|
| оперативно |
|
|
|
|
|
| реитинговать |
|
|
|
|
|
| все банки |
|
|
|
|
|
| Учет динамики |
Экспертно |
Нет |
Нет |
Нет |
|
| в деятельности |
|
|
|
|
|
| банка |
|
|
|
|
|
| Разнообразие |
Есть |
Частично |
Есть |
Нет |
|
| учета компо- |
|
|
|
|
|
| нентов банков- |
|
|
|
|
|
| ской деятель- |
|
|
|
|
|
| ности |
|
|
|
|
|
| Обоснован- |
Проверено |
В стабиль- |
В стабиль- |
Имеются |
|
| ность |
практикой |
ных услови- |
ных услови- |
противоре- |
|
|
|
|
ях |
ях |
чия с прак- |
|
|
|
|
|
|
тикой |
|
| Общедоступ |
Частичная |
Частичная |
Закрытая |
Имелась |
|
| ность методики |
|
|
методика |
|
|
| Основной |
Учет миро- |
Минималь- |
Поиск ба- |
Сбалансиро- |
|
| посыл |
вого опыта |
ная воспри- |
ланса между |
ванность |
|
| Ключевая идея |
рейтингова- |
имчивость к |
формализа- |
между при- |
|
|
|
ния |
внешним |
цией и экс- |
быльностью |
|
|
|
|
воздействи- |
пертной |
и устойчи- |
|
|
|
|
ям |
оценкой |
востью |
|
| Соответствие |
Достаточное |
В стабиль- |
Излишний |
Не соответ- |
|
| назначению |
|
ных услови- |
субъекти- |
ствует |
|
|
|
|
ях |
визм |
|
|
| Преимущества |
Всесторон- |
Широта |
Взгляд дей- |
Проверяе- |
|
|
|
ность, дос- |
охвата |
ствующего |
мость, опе- |
|
|
|
тупность, |
|
банка |
ративность |
|
|
|
популяр- |
|
|
|
|
|
|
ность |
|
|
|
|
|
|
Тип рейтинга (агентство) |
| Показатель |
надежности |
стабильности |
интегральный |
надежности |
|
|
(ИЦ «Рейтинг») |
(АЦФИ) |
(КБ «Оргбанк») |
по Кромонову |
|
|
|
|
|
|
| Недостатки |
Отсутствие стройности и логической законченности |
Сложность, закрытость, незавершённость |
Субъективизм, закрытость |
Несоответствие реальному состоянию банков |
| Количество градаций |
9 |
4 |
12 |
Упорядоченная последовательность |
| Состояние после 1998г. |
Действует |
Не действует |
Не действует |
Потерял привлекательность |
|
|
|
|
|
|
|
|
Основные особенности использовавшихся до кризиса российских
рейтингов сводились к следующему.
1. В российских рейтинговых проектах использовалась
дистанционно доступная информация, интервью с топ-менеджерами банков не проводились,
а также не подвергалась анализу специфическая детализированная информация.
2. Для каждого рейтинга при анализе банков формировался
специфический набор факторов.
3. В ряде случаев использовалась внутренняя экспертная
информация рейтингового агентства, не публикуемая и не афишируемая.
Сравнительные характеристики указанных выше докризисных
рейтингов представлены в табл. 7.1
Проблемы рейтингов первого поколения в большей степени
характерны для популярного в свое время рейтинга надежности банков по методике Кромонова.
Этот рейтинг отличают субъективизм расчета и слабая связь полученных результатов
с реальностью, что может быть продемонстрировано на простом примере. Если следовать
этой методике, то крайне надежным был бы банк, имеющий по балансу 100 единиц капитала,
привлекший 100 единиц средств частных вкладчиков, владеющий недвижимостью на 100
единиц балансовой (но не рыночной) стоимости и выдавший кредиты в сумме тех же 100
единиц, причем все они безнадежны.
Вкладчикам, пожелавшим
получить деньги в таком банке, можно посочувствовать. Согласно этой методике, наиболее
устойчивым считался также банк, сохраняющий свои ресурсы и не принимающий участия
во внешних операциях. Недостаток подобных методов основывался на попытке заключить
деятельность банка исключительно в рамки относительно простых формализованных методов,
которые не в полной мере способны описать состояние и поведение банка. Полное описание
деятельности банка должно основываться также на оценке и анализе некоторых качественных
факторов.
Сильнейший экономический
и банковский кризисы, потрясшие основание российской банковской системы, не мог
не коснуться вопросов формирования рейтингов.
Из приведенного списка российских рейтингов (см.
табл. 7.1) на сегодняшний день остался только рейтинг надежности, созданный
ИЦ «Рейтинг». Остальные либо подвергались существенной критике и не выдержали проверку
временем, либо исчезли сразу же после кризиса 1998г. Международные агентства после
кризиса, по сути, свернули свою деятельность в России, что не вызвало особых трудностей
в силу крайне низкой активности российских банков на международном рынке.
7.2 Развитие
банковской системы и рейтинговые услуги
Конец 1990-х гг. был посвящен качественному анализу
воздействия кризиса на банки и банковскую систему в целом. Всплеск активности рейтинговых
агентств (РА) приходится на 2000-2001гг. В это время вновь возникает ряд российских
компаний, реанимируются ранее не реализованные проекты. На российский рынок фактически,
а не формально возвращаются крупнейшие международные рейтинговые агентства. Результаты
такой деятельности требуют пристального внимания и отдельного анализа.
Рейтинги банков полезны не только для делового сообщества
России, но и для зарубежных инвесторов. Эти рейтинги более развиты вследствие ряда
причин:
• важного значения банковской системы для экономики
в целом; в повышенного риска операций на российском фондовом рынке;
• потребности в высоком уровне транспарентности и
пруденциального надзора;
• наличия проблемы выбора финансового партнера для
клиентов банков.
После кризиса у клиентов банков резко возросла потребность
в более подробной и достоверной информации. В результате появились многочисленные
рейтинговые продукты различного вида и назначения. Далее предпримем попытку сравнить
различные подходы к ранжированию и рейтингованию банков и проанализировать базовые
положения рейтинговых систем.
Применительно
к российским банкам основные рэнкинговые и рейтинговые продукты приведены в табл.7.2
Таблица 7.2 - Основные рейтинговые продукты для банков
|
Виды рейтинговых продуктов
|
|
Рэнкинги
|
Многомерные списки и интегральные
оценки
|
Рейтинги
|
| Отличительные особенности |
| Список банков, упорядоченных
по некоторому показателю |
Разбивка банков на кластеры
в системе показателей, свертка локальных показателей |
Разбивка банков на группы
с привлечением формальной и экспертной информации |
| Основные издания и рейтинговые
агентства (РА) |
|
Информационные
агентства:
• «Интерфакс»
• И А «Мобиле»
•
ИЦ «Рейтинг»
Журналы:
•
«The Banker»
• «Профиль»
• «Эксперт»
• «Деньги»
|
Банк России:
• «Интерфакс»
• И А «Мобиле»
•
ИЦ «Рейтинг»
Журналы:
•
«The Banker»
• «Профиль»
|
Международные РА:
•
Moody's
•
Standard & Poor's
•Fitch
IBCA
Российские РА:
• ИЦ «Рейтинг»
• «Интерфакс»
• «Рус-Рейтинг»
«Эксперт РА»
|
|
|
|
|
|
7.3 Банковские рэнкинги
Наиболее доступные банковские рэнкинги (списки) публикуют
следующие агентства и издания:
• Аналитический центр Информационного агентства «Мобиле»
(бюллетени «Банки и финансы», «Деятельность банков России», где представлены ежемесячные
публикации расширенных списков);
• Информационное агентство «Интерфакс» представляет
поквартальный список «Interfax-100» 100 крупнейших (общедоступный список) и всех
(по подписке) банков;
• Информационный центр «Рейтинг» (список крупнейших
российских банков (публикуется два раза в год) и «Тысяча российских банков» (ежеквартально),
показатели банков по МСФО (ежегодно));
• журнал «Профиль» (100-200 крупнейших российских
банков по собственному капиталу и активам, ежемесячные публикации);
• журнал «Компания» (проект, начавшийся после кризиса,
ежемесячные публикации);
• журнал «Деньги» (200 крупнейших российских банков,
поквартальные публикации);
• журнал «The Banker» (2000 крупнейших банков
мира и 50 крупнейших российских банков (ежегодно)).
Несколько других изданий публикуют свои рэнкинги на
нерегулярной основе. Главной особенностью всех вышеуказанных списков является то,
что каждый из них упорядочивает банки согласно определенным финансовым показателям
и является односторонним отражением соотношений между банками. Так, например, традиционно
публикуемый список банков по валюте баланса не отражает их позиционирования в силу
того, что некоторые банки искусственно создают так называемый «пузырь» в собственном
балансе, причем значение валюты баланса нередко превышает чистые активы в полтора-два
раза и более. Такую ситуацию можно понять по отношению к Сбербанку России, поскольку
с его многофилиальной системой превышение валюты баланса над чистыми активами выглядит
вполне естественно. Для других банков такое положение дел вызывает подозрение. Поэтому
для отображения реального положения дел многие издания перешли к публикациям списков
банков по значениям чистых активов, что помогло избежать подобных искажений со стороны
некоторых банков. Аналогичные нюансы могут встречаться и по отношению к капиталу,
прибыли и ряду другим одномерным статическим рэнкингам.
Кризис 1998г. показал, что устойчивый и надежный банк
имеет в совокупности следующие основные достоинства:
• достаточно большой собственный капитал и уставный
капитал с положительной тенденцией роста;
• рациональную структуру распределения активов и пассивов;
• строгую систему выплат, обеспечивающую выполнение
обязательств перед клиентами и партнерами банка;
• высокий уровень управляемости банка;
• возрастающее число клиентов и другие показатели.
Существенные выводы могут быть сделаны путем анализа
деятельности выживших после кризиса банков, усиливших свои позиции по сравнению
с докризисным состоянием. Такой анализ показывает, что одним из основных факторов
устойчивости является сильная клиентская база. Формирование такой базы, постоянная
работа с клиентами, формирование требуемого продуктового ряда - это приоритетные
задачи банка. Кроме того, средства клиентов на расчетных и депозитных счетах являются
одним из наиболее дешевых источников формирования ресурсной базы. Таким образом,
неудивительно, что банки, имевшие в первой половине 1999г. на своих счетах средства
фирм и сохранившие и умножившие число клиентов в настоящее время, обладают лучшими
итоговыми показателями.
7.4 Рейтинги, основанные на многомерных
списках
Рейтинги, основанные на многомерных списках (см.
табл. 7.2 ), позволяют уменьшить долю привносимого субъективизма линейных списков
и в то же время дают возможность оценить состояние банка комплексно, причем результаты
расчетов вполне проверяемы.при малодоступности полной информации о со стоянии дел
в банке именно многомерные списки, а также рассматриваемые ниже модельные рейтинги
помогают оперативно оценить положение банка и других хозяйствующих субъектов в бизнессообществе.
Выбор показателей, по которым проводится разбиение банков на однородные группы,
определяется целью подобного исследования. Если не брать в расчет отдельные научные
статьи, по священные проблемам классификации банков, то к данному типу рейтингов
относятся регулярные публикации рейтингов финансовой устойчивости в еженедельнике
«Эксперт», динамической финансовой стабильности банков (Информационное агентство
«Мобиле») и надежности банков по методике Кромонова (журнал «Профиль»). Примером
такого рейтинга на постсоветском пространстве может служить модель, представленная
для белорусских банков.
Так, например, к банкам, работающим в интересах реальной
экономики, предъявляются вполне определённые требования: банк должен иметь достаточный
объём операций, пользоваться доверием клиентов, иметь диверсифицированную ресурсную
базу и квалифицированный менеджмент.
Рейтинговый подход,
в наиболее рафинированном виде демонстрируемый международными агентствами, требует
учета внутренней информации, обследования рейтингуемой организации. Если структура
методики и публикуется, то ее суть по большей части является закрытой. Кроме того,
она зачастую использует данные (аудированную годовую отчетность), которые на момент
присвоения рейтинга уже могут частично устареть, что приводит к снижению достоверности
полученных результатов.
Заключение
Рейтинги стран,
региональных и муниципальных образований, субъектов финансового сектора экономики,
нефинансовых организаций и предприятий стали важным информационным средством установления
и поддержания деловых отношений в рамках хозяйственной деятельности и регулирования
делового общения. Многообразие субъектов и отношений между ними потребовало создания
комплекса понятных, достаточно прозрачных и общепризнанных шкал, который позволил
бы оценить финансовую устойчивость институциональных единиц в статике, динамике
и с элементами прогноза. Подходы к этой проблемы породили разнообразие методик рейтинговых
оценок, которые представляют на рынок рейтинговые агентства.
Для банка важен
не только внутренний анализ его деятельности, но и сравнение результатов его работы
с результатами других банков. В условиях рыночной экономики особое значение имеет
исследование тенденций развития банковской системы в целом на национальном уровне.
Долгое время в России наблюдался дефицит аналитической информации о работе коммерческих
банков, поэтому стал необходим рейтинг банков, как основа для изучения дальнейшей
их деятельности.
Суверенный кредитный рейтинг имеет важнейшее значение
как для страны, получающей кредиты и займы, так и для ее кредиторов. Кредитный рейтинг
— это синтетический показатель, который отражает способность и желание заемщика
выполнять свои долговые обязательства, т.е. своеобразную меру "кредитного"
доверия к заемщику. Кредитный рейтинг рассчитывается как для страны в целом, так
и для отдельных областей, городов и муниципальных образований, а также от дельных
видов долговых обязательств. При этом суверенный кредитный рейтинг влияет на кредитные
рейтинги российских облигаций частных предприятий, рейтинги от дельных ценных бумаг,
региональные кредитные рейтинги. В свою очередь "частные" кредитные рейтинги
в определен ной мере учитываются при определении суверенного кредитного рейтинга
страны.
От кредитного рейтинга непосредственно зависит эффективность
внешних займов. Чем он ниже, тем выше цена заимствований. Даже имея полудефолтный
кредитный рейтинг, Россия могла занимать международные деньги. Но цена таких заимствований
значительно превышала обычные в международной кредитной практике ставки. Например,
в 2000г. Россия могла в случае острой необходимости получить коммерческие кредиты
под 18-20% годовых, хотя до дефолта 1998г. ей удавалось размещать еврооблигации
под 9-10%. Так, сам факт возвращения на коммерческий рынок заимствований, имея огромное
психологическое значение, будет способствовать восстановлению доверия западных инвесторов
и росту кредитного рейтинга. Кроме того, по мнению главы отдела развивающихся рынков
в ING Barings Филипа Пула, "когда Россия
снова выйдет на рынки, у нее появится гораздо больше возможностей управлять всеми
остальными своими облигациями".
Кредитные рейтинги рассчитываются по разным методикам,
что предопределяет их различия по обозначениям в зависимости от тех рейтинговых
агентств, которые их определяют. При этом все методики, как правило, носят открытый
характер, они публикуются в виде критериев оценки кредитного риска. В то же время
необходимо иметь в виду, что все кредитные рейтинги — это качественные, экспертные
оценки. При этом огромную роль имеет международный авторитет присваивающих рейтинг
организаций и институтов. Наиболее известными и авторитетными в мире рейтинговыми
агентствами являются Standart&Poor's, Mody's, Fitch IBCA. Рейтинги, например, Standart&Poor's охватывают размещенные облигации
и другие финансовые обязательства на общую сумму свыше 11 трлн. дол., без учета
рейтингов этого агентства не принимается ни одно стратегическое инвестиционное решение.
Кредитные рейтинги
СССР были одними из самых высоких в мире. До конца 1989г. СССР имел кредитный рейтинг
"ААА", что объясняет и значительный объем в его кредитной задолженности
негарантированных банковских кредитов. В 1990г. и 1991г. западные банки прекратили
вы дачу негарантированных кредитов, требуя гарантий или от советского правительства,
или от правительств своих стран. В 90-е годы в результате провалов в экономике,
задержек в выплате внешнего долга, реструктуризации значительной части долговых
обязательств суверенный кредитный рейтинг России значительно опустился и достиг
небывало низкого уровня. В начале 1999г. Standart & Poor's присвоила России ранее не
использовавшийся этим агентством текущий кредитный рейтинг "SD" - селективный дефолт,
означающий, что должник уже не может выполнить одно или несколько своих обязательств,
продолжая осуществлять выплаты по другим обязательствам. В то же время, эксперты
всех трех рейтинговых агентств "просмотрели" критическую ситуацию 1998г.,
сохраняя достаточно высокие рейтинги вплоть до 17 августа. Субъективные экспертные
оценки, на которых сказывается груз просчетов 1998г., во многом сдерживают более
динамичный рост кредитных рейтингов России в настоящее время.
Тем не менее достижение
договоренности с Лондонским клубом кредиторов и экономический рост, начавшийся в
1999г., способствовали повышению кредитного рейтинга РФ. Первой реакцией на эти
положительные сдвиги стало изменение некоторыми агентствами кредитного рейтинга
отдельных долговых обязательств. В мае 2000г. Fitch IBCA сразу на две ступеньки повысило
суверенный кредитный рейтинг России. На повышении рейтингов сказалась положительная
оценка агентством улучшения экономических условий в России. Кроме того, улучшились
перспективы принятия необходимых законодательных актов для оформления структурных
реформ, что является важнейшей предпосылкой дальнейшего улучшения кредитоспособности.
В пресс-релизе Standard & Poor's, особо была отмечена готовность и способность правительства России
продвигать необходимые ре формы регулирующего, судебно-правового и экономического
характера через сложные и поляризованные законодательные процедуры. Одним из ключевых
факторов повышения кредитных рейтингов стала, по мнению экспертов Standard & Poor's, желание России обслуживать
свой внешний долг.
Итак, международные рейтинговые агентства за последнее
время не однократно повышали рейтинги России, что стало свидетельством определенных
успехов в экономике и финансовом секторе страны.
Международное рейтинговое агентство Moody's в октябре 2003г. повысило
России потолок рейтингов долгосрочных депозитов в иностранной валюте и долговой
рейтинг эмитента, присвоив впервые в новейшей российской истории рейтинг инвестиционного
уровня. Для всех рейтингов установлен стабильный прогноз. Агентство объясняет повышение
рейтингов активным экономическим ростом в России в течение нескольких лет, улучшением
макроэкономических показателей, впечатляющим положительным сальдо платежного баланса,
серьезным улучшением положения с бюджетом. Отмечается также стабильность в политической
сфере, предсказуемость политики и структурных преобразований. Уровень российской
задолженности значительно понизился, уязвимость в части внешних рисков упала в связи
с ростом валютных резервов и резким уменьшением краткосрочных долгов. Некоторые
долги были погашены досрочно, а также были сформированы объемы средств на погашение
пиков долговых платежей в 2003 и 2005 гг. Успешно пройден пик выплат по обязательствам
в 2003г. Тем не менее Moody's отметило высокий уровень расходов на обслуживание долгов, а также
тот факт, что отношение расходов на обслуживание долгов к средствам федерального
бюджета пока превышает аналогичный показатель до финансового кризиса 1998г. На меченные
структурные реформы в таких областях, как банковский сектор, естественные монополии,
ЖКХ, могут натолкнуться, по мнению агентства, на сопротивление, что уже случалось
в российской истории, когда реформы сверху тормозились на местном уровне.
Рейтинговое агентство Standard & Poor's в течение 2002г. дважды повышало
суверенные рейтинги России, причем в декабре 2002г. долгосрочный кредитный рейтинг
в национальной валюте был повышен сразу на два пункта. Был увеличен долгосрочный
валютный рейтинг РФ. В январе 2004 г. агентство повысило указанные рейтинги еще
на одну ступень. С точки зрения агентства, повышение рейтингов отражает приверженность
руководства страны проведению в течение ряда последних лет взвешенной политики,
что обеспечило предсказуемость финансового состояния. Такой подход к управлению
в бюджетной сфере, совершенствование системы управления долгом, скорее всего, исключат,
по мнению агентства, возможность возврата к значительному дефициту в среднесрочной
перспективе, даже в случае падения цен на нефть. Руководство ЦБ РФ способствовало
прогрессу в реализации реформы банковской системы. Достижение реального прогресса
в совершенствовании банковской системы потребует времени. Развитие производства,
рост покупательной способности населения, реформа пенсионной системы, по их мнению,
будут способствовать росту внутренних сбережений, что укрепит финансовую систему
в целом.
Standard & Poor's полагает, что повышение долгосрочного
рейтинга Российской Федерации в национальной валюте поддерживается значительными
улучшениями налоговой системы. В последние годы Федеральное правительство повысило
собираемость налогов, уменьшая при этом риск дефолта по рублевому долгу, сумма которого
невелика. Хотя прогресс в области реформ движется значительно быстрее, чем ожидалось,
они еще далеки от завершения. Судебная и административная реформы продолжаются,
однако достигнутые успехи в повышении эффективности аппарата государственной и судебной
системы пока невелики. Сохраняющиеся риски на начало 2004г. были все еще достаточными
для того, чтобы оставить рейтинг России прежним - на одну ступень ниже инвестиционного
уровня.
На предынвестиционном уровне находится также страновой
рейтинг России по версии агентства Fitch Ratings.
Корреляция рейтингов различных агентств, несмотря
на различия в методиках и целевых установок, достаточно высокая. Это свидетельствует
о том, что агентства внимательно следят не только за развитием экономической и политической
ситуации в Рос сии, но и за шагами конкурентов. Присвоение России рейтинга инвестиционного
уровня открывает возможность инвестировать в Россию целому ряду партнеров, которые
имеют возможность вложений в ценные бумаги только инвестиционного уровня.
Летом 2004г. британский
журнал «The Banker» опубликовал очередной рейтинг 1000 крупнейших банков мира. Банки
в этом списке ранжированы по величине капитала. Американские и российские банки
демонстрируют рост. Большинство новых участников списка - из России и США. И все
это - несмотря на снижение темпов мирового экономического роста.
Информацию о присвоении рейтингов ведущими международными
рейтинговыми агентствами можно получить из интернет-сайтов и пресс-релизов. Для
осуществления более полного анализа основных индикаторов, на базе которых эксперты
агентств присваивают тот или иной рейтинг, необходимо сформировать альбом рейтингов.
В нем следовало бы от разить рейтинги, их расшифровку с точки зрения анализа уровня
основных финансовых и банковских рис ков, а также их связь с уровнем финансовой
устойчивости исследуемого экономического субъекта.
Свобода выбора в рыночной экономике должна подкрепляться
уверенностью в надежности партнера. Для принятия решения недостаточно внутренних
оценок и зачастую необходима оценка независимых экспертов. Такую роль в современном
обществе играет, в частности, система рейтингов. Показатели рейтинга в компактной
и ёмкой форме характеризуют состояние и перспективные тенденции изменения финансовой
стабильности банка, играя роль индикаторов для принятия решений, установления и
поддержания деловых отношений. Текущий уровень рейтинга и динамика его изменения
служат сигналами для сохранения, расширения или свертывания взаимосвязей.
Список использованной
литературы
1. ПОЛОЖЕНИЕ «О МЕТОДИКЕ ОПРЕДЕЛЕНИЯ СОБСТВЕННЫХ
СРЕДСТВ (КАПИТАЛА) КРЕДИТНЫХ ОРГАНИЗАЦИЙ» от 10 февраля 2003г. N 215-П
2. ПОЛОЖЕНИЕ «О ПОРЯДКЕ И КРИТЕРИЯХ ОЦЕНКИ
ФИНАНСОВОГО ПОЛОЖЕНИЯ ЮРИДИЧЕСКИХ ЛИЦ - УЧРЕДИТЕЛЕЙ (УЧАСТНИКОВ) КРЕДИТНЫХ ОРГАНИЗАЦИЙ»
от 19 марта 2003г.
N 218-П
3. ПОЛОЖЕНИЕ «О ПОРЯДКЕ ФОРМИРОВАНИЯ КРЕДИТНЫМИ
ОРГАНИЗАЦИЯМИ РЕЗЕРВОВ НА ВОЗМОЖНЫЕ ПОТЕРИ ПО ССУДАМ, ПО ССУДНОЙ И ПРИРАВНЕННОЙ
К НЕЙ ЗАДОЛЖЕННОСТИ» от 26 марта 2004г. N 254-П
4. ПОЛОЖЕНИЕ «ОБ ОБЯЗАТЕЛЬНЫХ РЕЗЕРВАХ
КРЕДИТНЫХ ОРГАНИЗАЦИЙ» от 29 марта 2004 N 255-П
5. ИНСТРУКЦИЯ от 16 января 2004г.
N 110-И «ОБ ОБЯЗАТЕЛЬНЫХ
НОРМАТИВАХ БАНКОВ» от 1 февраля 2008г. N 1970-У
6. ПРИКАЗ ОБ УТВЕРЖДЕНИИ «НОРМАТИВОВ
ДОСТАТОЧНОСТИ СОБСТВЕННЫХ СРЕДСТВ ПРОФЕССИОНАЛЬНЫХ УЧАСТНИКОВ РЫНКА ЦЕННЫХ БУМАГ,
А ТАКЖЕ УПРАВЛЯЮЩИХ КОМПАНИЙ ИНВЕСТИЦИОННЫХ ФОНДОВ, ПАЕВЫХ ИНВЕСТИЦИОННЫХ ФОНДОВ
И НЕГОСУДАРСТВЕННЫХ ПЕНСИОННЫХ ФОНДОВ» от 24 апреля 2007г. N 07-50/пз-н
7. ПРИКАЗ ОБ УТВЕРЖДЕНИИ ПОЛОЖЕНИЯ "ОБ
ОБЯЗАТЕЛЬНЫХ РЕЗЕРВАХ КРЕДИТНЫХ ОРГАНИЗАЦИЙ, ДЕПОНИРУЕМЫХ В ЦЕНТРАЛЬНОМ БАНКЕ РОССИЙСКОЙ
ФЕДЕРАЦИИ от
30 марта 1996г. N 02-77
8. УКАЗАНИЕ «О критериях
определения финансового состояния кредитных организаций» От 31 марта 2000 года № 766-У
9. УКАЗАНИЕ «ОБ УСТАНОВЛЕНИИ НОРМАТИВОВ
ОБЯЗАТЕЛЬНЫХ РЕЗЕРВОВ (РЕЗЕРВНЫХ ТРЕБОВАНИЙ) БАНКА РОССИИ» от 1 февраля 2008 г. N 1970-У
10.
Банковское
дело: учеб./ под ред. Г.Н. Белоглазовой, Л.П. Кролтвецкой.- М.: Финансы и статистика,
2004.-592с.
11.
Белозерова
В. Российские банки на рынке корпоративных облигаций долговых обязательств/ В. Белозерова//
РЦБ. 2007.-N20-c. 76-80
12.
Готовчиков
И.Ф. Математические методы оценки рейтингов отдельных коммерческих банков/ И.Ф.
Готовчиков// Финансы и кредит. -2002. - N 22. - с. 33-39
13.
Готовчиков
И.Ф. Математические методы оценки рейтингов отдельных коммерческих банков и российской
банковской системы в целом/ И.Ф. Готовчиков// Финансы и кредит.-2002.-N23.-с.33-37
14.
Готовчиков
И.Ф. Метод классификации коммерческих банков по обобщённому нормативу/ И.Ф. Готовчиков//
Финансы и кредит.-2001.N14/-с.8-11.
15.
Карминский
А.М. Рейтинги в экономике: методология и практика/ А.М. Карминский, А.Б. Пересецкий,
А.Е. Пересецкий, А.Е. Петров.-М.: Финансы и статистика, 2005
16.
Кошелюк
Ю.М. Применение рейтингов в банковском риск-менеджменте/ Ю.М. Кошелюк// Банковское
дело.-2007.-N12/-c/79-83
17.
Мурычаев
А.В. О путях укрепления ресурсной базы российских коммерческих банков/ А.В. Мурычаев//
Деньги и кредит.-2003.-N11.-с.48-52
18.
Применение
системы рейтинговой системы CAMEL-test в ходе банковского контроля и аудита// Банковский
контроль и аудит: учеб. Пособие/ под ред. Н.В. Фадейкиной.-М.Финансы и статистика,
2002.-с.126-137
19.
Рейтинг
банков для партнёров, инвесторов, клиентов// Банковское дело.-2005.-N7.-с.34-42
20.
Севрук
В.Т. Дополнительные рейтинги - инструмент оценки внутренних рисков/ В.Т. Севрук//
Банковское дело.-2006.-N2.-с.29-35
21.
Семёнов
С.К. Эффективность и оптимизация банковской деятельности: рейтинговые методики на
базе экономических нормативов/ С.К. Семёнов// Финансы и кредит.-2005.N30.-с. 41-44
22.
Хейфец
Б.А. Суверенный кредитный рейтинг России/Б.А. Хейфец// Финансы.-2001-N10.-с.66-67
Интернет - источники:
23.
сайт
Центрального Банка России http://www.cbr.ru/
24.
http://www.moods.com
25.
http://www.standardpoor.com
26.
http://www.fitchibca.com
27.
http://www.bankwatch.com
Задачи
Задача 1. Банк обратился в ЦБ РФ
за получением кредита в размере 130 млн. руб. под 14% годовых сроком на один
месяц. В качестве обеспечения были предоставлены облигации Банка России в
количестве 130 шт. номиналом 1 млн. руб. Поправочный коэффициент на стоимость
ценных бумаг, принимаемых ЦБ РФ в обеспечение его кредитов,- о,85. Как
называется испрашиваемый кредит? Кто и какие платежи проведёт, если разрешение
на кредит будет получено? Обоснуйте свой ответ расчётами.
Решение
S = 130 (1+0, 14*
) = 131, 517 - это сумма
возврата:
130 шт. * 1
млн. руб. = 130 млн. руб. - сумма обеспечения;
130* 0,85 =
110,5 млн. руб. - если разрешение на кредит будет получено, то банк предоставит
Облигации Банка России на
110, 5
млн. руб.
Испрашиваемый
кредит называется
кредит под залог ценными бумагами - РЕПО
Задача 2. Уставный капитал банка -
200 ед., вклады и депозиты, внесённые в банк, - 4000 ед. Определите:
а.) какую
сумму обязательных резервов должен депонировать банк ЦБ РФ по действующей ныне
ставке;
б.) какого
размера достигнет указанная сумма, если ЦБ РФ станет использовать максимальную
ставку резервирования, разрешённую законодательством.
Решение
а.) 4000*4,5 = 18.000ед.; (С 1 марта 2008 года повышается норматив
обязательных резервов по обязательствам банков перед физическими лицами в
рублях с 4% до 4,5. Согласно Указанию от 1 февраля 2008 года № 1970-У « Об
установлении нормативов обязательных резервов (Резервных требований) Банка
России»).
б.) 4000 * максимальную ставку резервирования, разрешенную законодательством (?)
Задача 3. Капитал банка составляет 8,1 млн. руб., а
достаточность собственных средств - 5,3%. На какую величину учредители должны
увеличить капитал банк, чтобы повысить надежность банка и соблюсти требования
регулирующих органов?
Решение
В настоящее время
норматив достаточности собственных средств (капитала), установленный Банком
России составляет 10% - для банков с капиталом более 5 млн. евро; а для банков,
имеющим капитал менее 5 млн. евро - 11%. В нашем случае капитал банка
составляет 8,1 млн. рублей - это ниже, чем 5 млн. евро. Следовательно, применим
ставку, равную 11%.
Составим пропорцию:
8,1 млн. руб. - 5, 3%
X млн. руб. - 11%
X = 16, 811 млн. руб.
Ответ: Учредители должны увеличить капитал банка, чтобы повысить
надёжность банка и соблюсти требования регулирующих органов на величину в
размере 16, 8 млн. рублей.
Задача 4. Активы банка составляют 850 млн. рублей, обязательства
превышают капитал в пять раз. Каким должен быть размер капитала банка?
Решение
Пассивы = Активам =
850 млн. рублей.
Составим небольшую
пропорцию:
Капитал - X
Обязательства - 5X
X+ 5X = 850
6X= 850
X = 141, 667 млн. рублей - это и есть искомый размер капитала банка.
Задача 5. Кредитная организация на отчётную дату однократно за
последние шесть месяцев допустила следующие нарушения:
а.) норматив
достаточности собственных средств составляет 8,5;
б.) норматив Н 2 -
12%;
в.) недосозданы
обязательные резервы в размере 600 тыс. руб. В какую группу будет отнесена
кредитная организация Банком России с точки зрения финансового состояния?
Решение (теоретическое)
Н1 - норматив достаточности собственных
средств (8,5%) - он должен быть не мене 10%;
Если значение норматива уступает 10% в
течение двух месяцев, Банк России будет обязан применить санкции и отозвать
лицензию. Повышение требований к достаточности капитала является важным и
необходимым шагом на пути укрепления стабильности банковского сектора.
Отечественные
банки, напротив, настаивают на смягчении норматива. В АРБ видят желаемый
уровень достаточности капитала на отметке 8%, а в Ассоциации "Россия"
еще меньше - до 6%. При этом они апеллируют к рекомендациям Базельского
комитета по банковскому надзору, который считает оптимальным норматив в 8%. Следует
отметить, что по нормативу в 8% Базельский комитет оценивает крупнейшие мировые
банки с максимальным рейтингом, в чьем финансовом благополучии нельзя
усомниться. В развивающихся странах, где банки подвержены регулярным кризисам,
требования к достаточности капитала могут быть выше, доходя до 14% (но не более
35%).
Н2 - норматив мгновенной ликвидности
(12%);
Норматив мгновенной ликвидности банка
(Н2) регулирует (ограничивает) риск потери банком ликвидности в течение одного
операционного дня и определяет минимальное отношение суммы высоколиквидных
активов банка к сумме пассивов банка по счетам до востребования.
Минимально допустимое числовое значение
норматива Н2 устанавливается в размере 15%.
Обязательные резервы (недосозданы в
размере 600 тыс. руб.). Они
устанавливаются Центральным банком РФ в виде нормы (доли, выраженной в
процентах) по отношению к сумме привлеченных средств.
Произошел так называемый недовзнос - сумма превышения расчетной величины обязательных резервов над
размером обязательных резервов, фактически депонированных кредитной
организацией на счетах по учету обязательных резервов, подлежащая перечислению
кредитной организацией на указанные счета в период регулирования обязательных
резервов; нарушение нормативов обязательных резервов - недовзнос,
не перечисленный кредитной организацией на счета по учету обязательных резервов
в период регулирования обязательных резервов.
Ответ: отнесём подобную кредитную организацию к 4-ой группе «Кредитных
организаций с серьёзными проблемами».
К
группе 4 относятся кредитные организации, недостатки в деятельности которых
непосредственно сопряжены с угрозой финансовой устойчивости и их устранение
предполагает осуществление срочных и действенных мер со стороны органов
управления и владельцев кредитной организации
В
том числе кредитные организации относятся к группе 4 при наличии одного из
следующих оснований:
1.
не соблюдается норматив достаточности собственных средств (капитала) Н1, но не
более, чем 5 раз в течение тридцати последовательных операционных дней;
2.
хотя бы одна из групп показателей финансового положения оценивается как
неудовлетворительная;
3.
качество управления оценивается как неудовлетворительное.
Невысокие значения
финансовых результатов свидетельствуют о недостаточно верно выбранной стратегии
и не правильной тактике работы банка.
Задача 6. Кредитная организация на отчётную дату (второй раз за
последние шесть месяцев) допустила следующие нарушения:
а.) норматив
достаточности собственных средств составляет 9,6%;
б.) норматив Н 2 -
13%;
в.) недосозданы резервы
на возможные потери по ссудам в размере 200 тыс. руб. В какую группу будет
отнесена кредитная организация Банком России с точки зрения финансового
состояния?
Решение
Норматив Н1 достаточности собственных средств по условию (9,6%)в этой
задаче также невелик, как и в прошлой. Но он уже близится к норме, к 10%.
Н2 -
норматив мгновенной ликвидности (13%); он недостаточен, меньше 15%.
Обязательные резервы недосозданы в размере 200 тыс. руб.
Ответ:
таким образом, данное кредитное учреждение можно отнести (если принять во
внимание что Н1 приблизительно равен 10%) к третьей группе «Кредитных
организаций, испытывающих текущие трудности».
К группе 3 относятся кредитные
организации, имеющие недостатки в деятельности, неустранение которых может в
ближайшие 12 месяцев привести к возникновению ситуации, угрожающей финансовой
устойчивости кредитной организации и интересам ее кредиторов и вкладчиков.
В том числе кредитные
организации относятся к группе 3 при наличии одного из следующих оснований:
1. не соблюдается в
совокупности за 6 и более операционных дней в течение тридцати последовательных
операционных дней норматив мгновенной и/или текущей ликвидности (Н2 и Н3);
2. в отношении кредитной
организации применены меры воздействия, предусмотренные п.п. 1,2, 3 части
второй статьи 74 Федерального закона «О Центральном банке Российской Федерации
(Банке России)»;
3. хотя бы одна из групп
показателей финансового положения оценивается как сомнительная;
4. структура
собственности оценивается как непрозрачная;
5. качество
управления признается сомнительным.
Контрольные
задания:
А.)
Проанализировать информацию о кредитном рейтинге иностранных банков через сеть Internet по следующим электронным
адресам
Таблица 1. –
Электронные адреса
|
Название рейтинговой
компании
(гиперссылка)
|
Адрес
|
| «Moody`s» |
28.
http://www.moods.com http://www.moodys.com/cust/default.asp
|
| «Standart and Poor`s» |
29.
http://www.standardpoor.com |
| «Fitch IBCA» |
30.
http://www.fitchibca.com |
| «Thomson
Financial BankWatch» |
31.
http://www.bankwatch.com/ |
|
|
|
1.) Агентство «Moody`s»
a.) Международное рейтинговое агентство Moody’s Investors
Serviсe улучшает рейтинги НАДРА БАНКА по национальной шкале:
депозитный рейтинг в иностранной валюте – В2/«Позитивный», депозитный рейтинг в
национальной валюте – Ва3/«Позитивный», рейтинг необеспеченных обязательств в
иностранной валюте - Ва3/«Позитивный», рейтинг по национальной шкале –
Аа1.ua/«Позитивный», рейтинг финансовой устойчивости – Е+ с прогнозом
«Позитивный».
b.) Международное рейтинговое агентство Moody's от 22
февраля 2005 подтвердило долгосрочный рейтинг В2 по депозитам в иностранной
валюте для 9 украинских банков: Агентство также улучшило прогноз долговых
рейтингов в иностранной валюте Укрсиббанка и Укрэксимбанка с
"развивающегося" до "стабильного".
Сейчас украинские банки имеют следующие рейтинги Moody's:
·
ВАБанк
(рейтинг
В2 по депозитам в иностранной валюте со стабильным прогнозом и рейтинг
финансовой устойчивости Е+),
·
Индэкс-банк (рейтинг В2 по депозитам
в иностранной валюте со стабильным прогнозом и рейтинг финансовой устойчивости
Е+),
·
Кредитпромбанк (рейтинг В2 по депозитам
в иностранной валюте со стабильным прогнозом и рейтинг финансовой устойчивости
Е+),
·
банк
"Надра" (рейтинг В2 по депозитам в иностранной валюте со стабильным
прогнозом и рейтинг финансовой устойчивости Е+),
·
Правэкс-банк
(рейтинг В2 по депозитам в иностранной валюте со стабильным прогнозом и рейтинг
финансовой устойчивости Е+),
·
Укрсиббанк (рейтинг В2 по депозитам
в иностранной валюте со стабильным прогнозом, рейтинг финансовой устойчивости
Е+, долговой рейтинг В1 со "стабильным" прогнозом),
·
Укрсоцбанк (рейтинг В2 по депозитам
в иностранной валюте со стабильным прогнозом и рейтинг финансовой устойчивости
Е+),
·
Укрэксимбанк (рейтинг В2 по депозитам
в иностранной валюте со стабильным прогнозом, рейтинг финансовой устойчивости
Е+, долговой рейтинг Ва2 со "стабильным" прогнозом),
·
банк
"Форум" (рейтинг В2 по депозитам в иностранной валюте со стабильным
прогнозом и рейтинг финансовой устойчивости Е+).
Это
несмотря на то, что в начале декабря 2004 Moody's заявило о возможности
снижения рейтингов данных 9 банков по депозитам в инвалюте в связи с
аналогичными намерениями относительно суверенного рейтинга Украины по депозитам
и облигациям.
2.) «Standart and Poor`s» (на примере шести стран)
a.) агентство Standard & Poor's заявило о возможности
снижения кредитного рейтинга Японии, который сейчас находится на уровне
"АА+", сразу на две позиции.
b.) В 2007 году НАДРА БАНК начинает
сотрудничать с международной рейтинговой компанией Standard & Poor’s. В
январе 2008 года агентство присвоило НАДРА БАНКУ кредитный рейтинг «В-».
Прогноз рейтинга – «Стабильный».
c,) Рейтинг украинского АКБ «Укрсоцбанк» повышен до «ВВ-»; рейтинг
выведен из списка CreditWatch; прогноз «Негативный»
Париж (Standard & Poor's), 24 января 2008г.
рейтинговая компания Standard & Poor's повысила долгосрочный кредитный
рейтинг контрагента украинского АКБ "Укрсоцбанк" (УСБ)
с "В" до "ВВ-". Одновременно рейтинг был выведен из списка
CreditWatch с позитивным прогнозом, куда он были помещен 6 июля 2007 г. В то же
время был подтвержден краткосрочный кредитный рейтинг банка на уровне
"В". Прогноз - "Негативный".Повышение рейтинга обусловлено
объявлением о том, что банк UniCredito Italiano SpA (UCI; A+/Стабильный/A-1),
через дочерний банк Bank Austria Creditanstalt AG (A+/Стабильный/A-1), завершил
покупку 94,2 % акционерного капитала банка.
d.) Standard & Poor’s
объявила подтверждает долгосрочные кредитные рейтинги эмитента по
обязательствам в национальной и иностранной валюте (оба на уровне «ВВВ-»),
ранее присвоенные Банку Развития Казахстана (БРК).
Лондон (Standard & Poor’s), 26 июля 2005г. компания
Standard & Poor’s объявила, что она подтверждает долгосрочные кредитные
рейтинги эмитента по обязательствам в национальной и иностранной валюте (оба на
уровне «ВВВ-»), ранее присвоенные Банку Развития Казахстана (БРК).
Одновременно подтверждаются его краткосрочные кредитные рейтинги эмитента по
обязательствам в национальной и иностранной валюте (оба на уровне «А-3»).
Прогноз — «Стабильный». Уровень рейтингов Банка Развития Казахстана (БРК)
учитывает четко определенную стратегическую роль этого банка в политике,
проводимой Правительством Республики Казахстан (рейтинг по обязательствам в
иностранной валюте: ВВВ-/Стабильный/А-3; рейтинг по обязательствам в
национальной валюте: ВВВ/Стабильный/А-3). Дополнительным фактором, гарантирующим
БРК сильную внедоговорную поддержку со стороны правительства, является то, что
он на 100% принадлежит государству.
e.) Республике Беларусь
присвоены долгосрочные кредитные рейтинги — «В+» по обязательствам в
иностранной валюте, «ВВ» по обязательствам в национальной валюте; прогноз —
«Стабильный» от 21 августа 2007г
f.) Банку Грузии присвоены рейтинги «В+/В»; прогноз
— «Стабильный»
Лондон (Standard
& Poor’s), 17 июля 2006. компания Standard & Poor’s объявила о
присвоении Банку Грузии кредитных рейтингов контрагента — долгосрочного «В+» и
краткосрочного «В». Прогноз изменения рейтингов — «Стабильный». «Рейтинги
отражают высокий уровень страновых рисков банковского сектора (Bank Industry
Country Risks — BICRA), сохраняющихся в переходной и небольшой по величине
экономике Грузии, систематический дефицит привлекаемых средств, низкое качество
активов и относительно высокий рост бизнеса этого банка, устойчивость которого
не проверена временем», — пояснила Алис Росс, кредитный аналитик Standard &
Poor’s. Позитивные рейтинговые факторы включают сильную позицию Банка Грузии на
национальном рынке, а также адекватные показатели его капитализации и
рентабельности.
3.) «Fitch IBCA»
a.) Международное рейтинговое агентство Fitch IBCA
снизило кредитный рейтинг Японии с "АА+" до "АА", сообщает Bloomberg. Прогноз рейтинга -
"негативный"Теперь Япония по надежности вложений стоит на одном
уровне с такими странами, как Тайвань, Словения и Португалия. По мнению Fitch IBCA, при
нынешних ставках кредита на мировом финансовом рынке долг Японии составит 150
процентов ВВП страны к концу 2002 года. По мнению наблюдателей, главное, чтобы
Япония не покинула ряды стран, рейтингуемых двумя "А", так как это
действительно чревато ростом опасений со стороны инвесторов и, как следствие,
удорожанием международного кредита для страны.
b.) Подтверждает рейтинги НАДРА БАНКА и международное
рейтинговое агентство Fitch Ratings: долгосрочный рейтинг дефолта эмитента
(РДЭ) «B-», краткосрочный «B», индивидуальный рейтинг D/E, рейтинг поддержки «5»
и уровень поддержки долгосрочного РДЭ «B-». Также Fitch изменяет прогноз по
долгосрочным РДЭ со «Стабильного на «Позитивный».
c.) Международное рейтинговое
агентство Fitch
повысило долгосрочный и краткосрочный рейтинги российского Онэксимбанка с
уровня "D" до уровня "C". В то же время эти и другие
рейтинги Банка (индивидуальный "Е" и рейтинг поддержки
"5Т") были отозваны.Решение агентства повысить рейтинги связано с
завершением банком переговоров с кредиторами и последующей реструктуризацией
его обязательств, имевшей место в текущем году. Таким образом, Онэксимбанк
вышел из состояния дефолта по своим необеспеченным обязательствам первой
очереди. Отзыв рейтингов обусловлен тем, что Онэксимбанк был в ноябре
приобретен Росбанком, основной банковской структурой финансово-промышленной
группы "Интеррос".
d.) Агентство Fitch IBCA От 27 февраля 2001г
повысило долгосрочный кредитный рейтинг "Альфа банка"
с уровня ССС+ до уровня В-; краткосрочный рейтинг был повышен с уровня С до
уровня В
e.) Азербайджан впервые получил кредитный рейтинг от
11.07.2000 Агентство Fitch IBCA присвоило Азербайджану рейтинг B+, который на
два пункта превышает рейтинг России (B-). В СНГ Азербайджан теперь по уровню
рейтинга опережает Россию и Туркменистан и находится на одном уровне с Казахстаном.
В группе стран, которые международные рейтинговые агентства определяют как
“развивающиеся”, рейтинг Азербайджана выше рейтинга Индонезии, Пакистана и
Румынии и находится на одном уровне с рейтингом Болгарии. В этой группе стран
Азербайджан уступает лишь Турции, которая недавно приняла программу
сотрудничества с МВФ. //Прайм-ТАСС
4.) Thomson Financial
BankWatch
a.) Thomson Financial BankWatch" повысило прогноз
суверенного рейтинга Китая 19.04.2000
Международное рейтинговое агентство "Thomson Financial
BankWatch" повысило прогноз суверенного рейтинга Китая с
"негативного" до "стабильного". Текущий уровень суверенного
рейтинга Китая составляет ВВВ+. Как отмечается в пресс-релизе агентства,
улучшение прогноза суверенного рейтинга Китая стало возможным в связи с
значительным укреплением кредитоспособности страны, улучшением ее финансового
положения. Агентство отмечает, что объем внешней задолженности страны остается
невысоким, и что Китай вполне в состоянии полностью и в назначенные сроки выполнять
свои обязательства по своим внешним долгам. Об этом сообщает агентство
"AK&M".
b.) повысило рейтинг Конверсбанка на 08.06.2000
Конверсбанк -
один из старейших банков России. Его история, тесно переплетенная с историей
развития финансового сектора страны, начинается 30 марта 1989 года. В этот день
Учредительное Собрание Конверсбанка постановило: "в целях комплексного
банковского обслуживания предприятий, объединений и организаций оборонного
комплекса страны и других отраслей народного хозяйства, их объединений, союзов
и ассоциаций, а также граждан, мобилизации временно свободных денежных средств
и их рационального использования для осуществления конверсии оборонной
промышленности, финансирования экологических, а также перспективных программ,
содействия развитию и укреплению социального сектора экономики учредить
Конверсбанк А.О.". Таким образом, Конверсбанк был одним из первых
коммерческих банков, созданных не на базе бывших специализированных
государственных банков. 26 июня в Москве Конверсбанк был зарегистрирован в
Госбанке СССР под номером 122. В том же 1989 году - принят в члены Московского
банковского союза.
Thomson Financial BankWatch повысило
внутристрановой рейтинг эмитента Конверсбанка с уровня IC-D /АйСи-Ди/ до IC-CD
/АйСи-СиДи/. Краткосрочный рублевый рейтинг банка подтвержден на уровне LC-3
/ЭлСи 3/. Основной долгосрочный долговой рейтинг подтвержден на уровне ССС
/Сисиси/ и ограничен суверенным потолком рейтинга России. В аналитическом
отчете Агентства отмечается, что банк преодолел последствия банковского кризиса
1998 года благодаря профессиональному умению управлять ликвидностью, жесткому
контролю за расходами, компетентной и продуманной кредитной политике. После
устранения проблем, явившихся следствием кризиса 1998 года, банк начал наращивать
кредитный портфель. Отмечается рост доверия к банку, что выразилось в
увеличении остатков на счетах частных лиц с 237 млн. рублей на конец 1998 года
до 507 млн. рублей на конец 1999 года и постоянном росте числа юридических лиц,
обслуживаемых банком. В конце 1999 года в результате 7-й эмиссии акций
произошло увеличение акционерного капитала до 1,9 миллиарда рублей (70 млн.
долларов США); решающие позиции в составе акционеров сохранили предприятия и
организации Министерства РФ по атомной энергии.Банк вошел в число тридцати
крупнейших российских банков с активами в 210 млн. долларов на конец 1999 года.
c.) Рейтинг Уралвнешторгбанка стал выше Международное агентство
Thomson Financial BankWatch повысило рейтинг Уралвнешторгбанка по краткосрочны
обязательствам в рублях с уровня LC-4 до уровня LС-3, а также подтвердило его
рейтинг по долгосрочным обязательствам на уровне CCC. По банковским меркам
Уралвнешторгбанк имеет относительно небольшие параметры. Его общие активы
составляют 29 миллионов долларов. По мнению агентств, на это указывает такой
факт: в конце 1998 года банк получил финансовую поддержку от Банка РФ и
выплатил ее в срок в начале нынешнего. Эксперты Thomson Financial BankWatch
также констатируют, что Уралвнешторгбанк сумел перенести августовский кризис
прошлого года. Свидетельством тому объем операций, который почти достиг
докризисного уровня. В настоящее время в России имеют рейтинг этого агентства
25 банков. Из них пять региональных, причем в Урало-Сибирском - один лишь
Уралвнешторгбанк. Категорию LC-3 в краткосрочном долговом рейтинге занимают
такие крупные банки, как Международный Московский, Московский деловой Мир-банк.
В долгосрочном рейтинге банк занимает категории ССС, равную страновой.
Приложение
Таблица 1 -
Классификационные группы деятельности кредитных организаций и сведения об
информации, не содержащейся в используемой для классификации кредитных
организаций отчетности, но учитывающейся территориальными учреждениями Банка
России при принятии решения об оценке финансового состояния кредитных
организаций Главное управление Банка России (Национальный банк)
| № п/п |
Рег. номер
кредитной организации |
Kлассификационная
группа, установленная территориальным учреждением Банка России |
Kлассификационная
группа, полученная расчетным путем с помощью программного обеспечения
Департамента пруденциального банковского надзора |
Kоды
информации о повлиявшей на принятие территориальным учреждением Банка России
решения об оценке финансового состояния кредитной организации |
| 1 |
2 |
3 |
4 |
5 |
Таблица 2 –
Сведения об информации, не содержащейся в используемой для классификации
кредитных организаций отчетности
| № п/п |
Сведения об
информации, не содержащейся в используемой для классификации кредитных
организаций отчетности, но учитывающейся территориальными учреждениями Банка
России при принятии решения об оценке финансового состояния кредитных
организаций |
Kод |
| 1 |
2 |
3 |
| 1 |
Наличие
неустраненных фактов нарушения норм законодательства Российской Федерации и
нормативных актов Банка России* |
01 |
| 2 |
Наличие
неустраненных фактов нарушения установленного Банком России порядка
обязательного резервирования, в том числе: |
|
| |
- недовзнос
в обязательные резервы |
02 |
| |
- наличие
начисленных неуплаченных штрафов за нарушение порядка резервирования |
03 |
| |
- нарушения
составления расчета регулирования расчета обязательных резервов, выявленные
по результатам проверки |
04 |
| 3 |
Недостоверность
учета и(или) отчетности |
05 |
| 4 |
Невыполнение
в установленный срок предусмотренных в предписаниях территориального
учреждения Банка России требований и(или) взятых на себя кредитной
организацией обязательств по приведению деятельности в соответствие с
действующими нормами, включая недостатки в деятельности филиалов, в период до
истечения срока - наличие информации о реальности мер, предпринимаемых
кредитной организацией по устранению недостатков, указанных в предписании
территориального учреждения Банка России |
06 |
| 5 |
Наличие
информации о недостатках в деятельности филиалов |
07 |
| 6 |
Невыполнение
нормативных требований Банка России по созданию систем управления рисками
и(или) внутреннего контроля кредитной организации |
08 |
| 7 |
Невыполнение
требований действующего законодательства и нормативных актов Банка России в
части представления информации о деятельности кредитной организации либо
финансовом положении либо осуществление действий (кроме представления
недостоверной отчетности), препятствующих получению органами банковского
надзора, а также физическими и юридическими лицами полной и(или) достоверной
информации о деятельности либо финансовом положении |
09 |
| 8 |
Нарушения: |
|
| |
- порядка
формирования резерва под обесценение ценных бумаг |
10 |
| |
- лимитов
открытой валютной позиции |
11 |
| |
- порядка
формирования резервного фонда |
12 |
| 9 |
Другие
факторы |
13 |