Дипломная работа: Типология предпринимательства
Реферат выполнилана студентка НЭ 2 – 4 Кощеева Мария
МИНИСТЕРСТВО ОБЩЕГО И ПРОФЕССИОНАЛЬНОГО ОБРАЗОВАНИЯ РФ
ГОСУДАРСТВЕННЫЙ УНИВЕРСИТЕТ УПРАВЛЕНИЯ
КАФЕДРА ПРЕДПРИНИМАТЕЛЬСТВА
г. Москва
1998 г.
ВВЕДЕНИЕ
Предпринимательство как особая форма экономической активности
На сегодняшний день в
мире не существует общепринятого определения предпринимательства. Американский
ученый, профессор Роберт Хизрич определяет "предпринимательство как
процесс создания чего-то нового, что обладает стоимостью, а предпринимателя —
как человека, который затрачивает на это все необходимое время и силы, берет на
себя весь финансовый, психологический и социальный риск, получая в награду
деньги и удовлетворение достигнутым". В американской учебной и научной
литературе дается множество и других определений, характеризующих
предпринимательство и предпринимателя с экономической, политэкономической,
психологической, управленческой и других точек зрения.
Английский профессор
Алан Хоскинг утверждает: "Индивидуальным предпринимателем является лицо,
которое ведет дело за свой счет, лично занимается управлением бизнесом и несет
личную ответственность за обеспечение необходимыми средствами, самостоятельно
принимает решения. Его вознаграждением является полученная в результате
предпринимательской деятельности прибыль и чувство удовлетворения, которое он
испытывает от занятия свободным предпринимательством. Но наряду с этим он должен
принять на себя весь риск потерь в случае банкротства его предприятия".
История развития теории предпринимательства
Ни за рубежом, ни у
нас пока еще не создана общепринятая экономическая теория предпринимательства,
хотя потребность в такой теории давно уже стала весьма насущной. "Три
волны" развития теории предпринимательской функции — так условно можно
охарактеризовать развитие процесса научного осмысления практики
предпринимательства.
"Первая
волна", которая возникла еще в XVIII в., была связана с концентрацией внимания
на несении предпринимателем риска. Французский экономист шотландского происхождения
Р. Кантильон в XVIII в. впервые выдвинул положение о риске в качестве основной
функциональной характеристики предпринимательства. Согласно Р. Кантильону,
предприниматель есть любой индивид, обладающий предвидением и желанием принять
на себя риск, устремленный в будущее, чьи действия характеризуются и надеждой
получать доход, и готовностью к потерям. К последователям этого течения можно
отнести И. Тюнена и Г. Мангольдта — представителей немецкой классической школы
XIX в., а также американского экономиста Ф. Найта.
"Вторая
волна" в научном осмыслении предпринимательства связана с выделением инновационности
как его основной отличительной черты. Основоположником этого направления
является один из крупнейших представителей мировой экономической мысли Йозеф
Шумпетер (1883—1950). В своих новаторских работах И. Шумпетер рассматривал
предпринимателя как центральный элемент механизма экономического развития. По
его мнению, в основе экономического развития лежит особая функция
предпринимателя, проявляющаяся в стремлении использовать "новую
комбинацию" факторов производства, следствием чего является нововведение,
инновация. "Если вместо количества факторов, — писал он, — мы меняем саму
форму функции, то получаем нововведение". Предприниматель в такой ситуации
призван "...делать не то, что делают другие", и "...делать не
так, как делают другие".
И. Шумпетер выделяет
три целевых мотива в деятельности предпринимателя:
1) потребность в
господстве, власти, влиянии;
2) воля к победе,
стремление к успеху, достигнутому в борьбе с соперниками и с самим собой
("потребность в достижениях" — так позже охарактеризовал это
американский психолог Д. Макклеланд);
3) радость
творчества, которую дает самостоятельное ведение дел.
И первая и вторая
"волны" развития теории предпринимательской функции были основаны на
монофункциональности предпринимательской роли, что вело к излишней односторонности
в толковании проблем предпринимательства. Полифункциональная модель предпринимательства
связана с появлением "третьей волны" в результате теоретических изысканий
И. Шумпетера, а также неоавстрийской школы экономического анализа, наиболее видными
представителями которой были Л. Мизес и Ф. Хайек.
По мнению Л. Мизеса и
Ф. Хайека, "...делом предпринимателя является не просто экспериментировать
с новыми технологическими методами, а отобрать из множества... возможных
методов именно те, которые наиболее пригодны для снабжения самым дешевым способом
людей тем, в чем они в настоящий момент больше всего нуждаются.".
"Третья
волна" отличается сосредоточением внимания на особых личностных качествах
предпринимателя (способность реагировать на изменения экономической и общественной
ситуации, самостоятельность в выборе и принятии решений, наличие управленческих
способностей) и на роли предпринимательства как регулирующего начала в уравновешивающей
экономической системе. Идеи Л. Мизеса и Ф. Хайека развил американский экономист
И. Кирцнер, который видит основную роль предпринимателя в том, чтобы добиться
такого регулирования системы, осуществить такую ее подстройку, которая
обеспечивала бы движение рынков к состоянию равновесия, т. е. предприниматель
представляет собой "уравновешивающую" силу.
Современный этап
развития теории предпринимательской функции можно отнести к "четвертой
волне", появление которой связывается с переносом акцента на
управленческий аспект в анализе действий предпринимателя, а следовательно — с
переходом на междисциплинарный уровень анализа проблем предпринимательства.
В настоящее время в
теоретических исследованиях уделяется внимание не только предпринимательству
как способу ведения дел на самостоятельной, независимой основе, но и
внутрифирменному предпринимательству, или интрапренерству. Термин
"интрапренер" был введен в оборот американским исследователем Г.
Пиншо. Он же впервые использовал и другой термин, производный от первого, —
"интракапитал".
Появление
интрапренерства связано с тем фактором, что многие крупные производственные
структуры переходят на предпринимательскую форму организации производства.
Поскольку предпринимательство предполагает обязательное наличие свободы
творчества, то подразделения целостных производственных структур получают право
на свободу действий, что подразумевает и наличие интракапитала — капитала,
необходимого для реализации идей, лежащих в основе внутрифирменного
предпринимательства.
Предпринимательство —
это особый вид экономической активности (под которой мы понимаем целесообразную
деятельность, направленную на извлечение прибыли), которая основана на
самостоятельной инициативе, ответственности и инновационной предпринимательской
идее.
Основные понятия и термины, используемые в материалах темы
Выявленный интерес
потребителя , навязываемый потребителю интерес предпринимателя , инновационное
предпринимательство, традиционалистское предпринимательство, инновация,
частичная инновация, консалтинг, маркетинг, лизинг, факторинг, посредник,
оптовые цены, розничные цены, агент, принципал, комиссионер,
агентское(комиссионное) вознаграждение, брокер, дистрибьютор, дилер,
консигнант, ответственное хранение, торговый маклер, торговый представитель,
коммивояжер, посылторговец, аукционист, аукционер, аукционатор, товарная биржа,
фондовая биржа, валютная биржа, биржа труда, сделка на наличный товар (сделка с
немедленной, сдачей товара), форвардная сделка, срочная сделка, хеджирование,
хедж, фьючерсный контракт, хеджирование покупкой, хеджирование продажей,
биржевой брокер, опцион, опцион на покупку, опцион на продажу, спекуляция,
быки, медведи, банк, эмиссия, инвестиционная компания, инвестиция, инвестор,
аудит, аудитор,
1. Два основных типа профессиональной предпринимательской
деятельности
1.1.
Предпринимательство государственное и предпринимательство частное
Предпринимательство
как особая форма экономической активности может осуществляться как в государственном,
так и в частном секторе экономики. В соответствии с этим различают:
а)
предпринимательство государственное;
б)
предпринимательство частное.
Государственное
предпринимательство
Государственное
предпринимательство есть форма осуществления экономической активности от имени
предприятия, учрежденного:
а) государственными
органами управления, которые уполномочены (в соответствии с действующим
законодательством) управлять государственным имуществом (государственное
предприятие), или
б) органами местного
самоуправления (муниципальное предприятие).
Собственность такого
рода предприятий есть форма обособления части государственного или муниципального
имущества, части бюджетных средств, других источников. Важной характеристикой
таких предприятий выступает то обстоятельство, что они отвечают по своим
обязательствам только имуществом, находящимся в их собственности (ни
государство не отвечает по их обязательствам, ни они сами не отвечают по
обязательствам государства).
Частное
предпринимательство
Частное
предпринимательство есть форма осуществления экономической активности от имени
предприятия (если оно зарегистрировано в качестве такового) или предпринимателя
(если такая деятельность осуществляется без найма рабочей силы, в форме
индивидуальной трудовой деятельности).
Конечно, каждый из
этих видов — государственное и частное предпринимательство — имеет свои отличительные
признаки, но основные принципы их осуществления во многом совпадают. И в том и
в другом случае осуществление такой деятельности предполагает инициативность,
ответственность, инновационный подход, стремление к максимизации прибыли.
Схожей является и типология обоих видов предпринимательства.
1.2.
Производительная и посредническая предпринимательская деятельность
Предпринимательство
как форма инициативной деятельности, направленной на извлечение прибыли
(предпринимательского дохода), предполагает:
1) осуществление
непосредственных производительных функций, т. е. производство товара (продукта)
или оказание услуги (например, машиностроительная фирма, туристская компания,
инжиниринговая фирма или конструкторское бюро);
2) осуществление
посреднических функций, т. е. оказание услуг, связанных с продвижением товара
на рынок и его передачей в надлежащем (общественно приемлемом) виде от
непосредственного производителя такого товара его потребителю.
Существует ли
какая-то принципиальная разница между этими двумя типами предпринимательской
деятельности, а если существует, то в чем она заключается? Ответ на этот вопрос
может быть дан с двух позиций — с точки зрения общества и с точки зрения
предпринимателя.
За кем сохраняется
приоритет?
Общественное
понимание проблемы сводится к тому, что, с одной стороны, приоритетное значение
имеет первый тип предпринимательской деятельности, поскольку общественное
богатство (как обобщенный итог уровня и качества жизни каждого члена общества)
зависит от состояния дел именно в сфере материального производства,
научно-технических и сервисных услуг. С другой стороны, такое общественное
отношение к этому типу предпринимательства на практике не носит действительно
приоритетного характера — общество способствует развитию и второго типа
предпринимательской деятельности, т. е. посредничества. Почему? Прежде всего
потому, что уровень и качество жизни, удобство и комфорт каждого члена общества
в немалой степени зависят от уровня развития в обществе посреднической сферы
(удобная для покупателя организация торговли, реклама, доставка товаров на дом,
заказ товара по почте, телефону и т. д.); то же самое относится и к
потребителям товаров производственного назначения.
Но такое общественное
восприятие посреднической деятельности не является единственной и основной
причиной. Главное заключается в другом — посредническая предпринимательская
деятельность, ее наличие и усложнение до разумных пределов ведет:
1) к увеличению
производительности труда непосредственных производителей товаров на основе
углубления специализации;
2) к ускорению темпов
оборачиваемости (кругооборота) капитала;
3) к насыщению
товарных рынков до объективно требуемых размеров и функционированию непосредственных
товаропроизводителей в соответствии с интересами конечных потребителей
(поскольку посредник специализируется главным образом на изучении
потребительского спроса и заказе или приобретении только той продукции,
потребительский интерес к которой он уже выявил; любую продукцию, производимую
непосредственным товаропроизводителем, он приобретать не будет).
Товаропроизводитель и
посредник: логика партнерства
Логика
предпринимательской деятельности непосредственного производителя товаров
сводится к тому, что вместо обращения к изучению рынка и рыночной ситуации он
может получить экспертную оценку предпринимательской идеи, обратившись к
посреднику. По этой причине чаще всего между этими двумя субъектами
производственных связей устанавливаются доверительные партнерские отношения, основанные
на взаимной передаче требуемой информации, ибо каждый из них сознает, что
достижение цели (получение предпринимательского дохода) во многом зависит
именно от таких их взаимных действий.
Итак, тип
предпринимательской деятельности определяется главным образом тем местом,
которое предприниматель занимает в процессе удовлетворения потребительского
интереса.
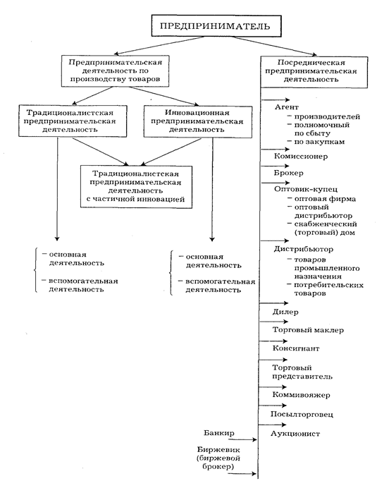
2.
Формы производительной предпринимательской деятельности
Внутри каждого типа
предпринимательской деятельности существует возможность и необходимость
конкретной специализации предпринимателя. Обратимся к общей схеме
предпринимательской деятельности, которая, по существу, отражает противостояние
двух субъектов экономических отношений (рис. 2.1).
Рис.
2.1. Основные субъекты рыночных (экономических) отношений
2.1.
Два возможных способа действий предпринимателя в отношении потребителя
Следует особо
подчеркнуть, что такое противостояние не носит антагонистического характера.
Наоборот, разрешение противостояния осуществляется только через поиск
взаимоприемлемого компромисса (оба субъекта — и предприниматель и потребитель —
сознают, что ни один из них не может существовать без другого). В таком
противостоянии активная роль сохраняется за предпринимателем, который в отношении
потребителя может действовать одним из двух возможных способов (рис. 2.2).
Навязываемый
потребителю интерес предпринимателя

Выявленный интерес
потребителя
Рис. 2.2. Два
возможных способа органичного сочетания интересов предпринимателя и потребителя
Способ 1
Выявленный интерес
потребителя — итог, результат изучения предпринимателем очевидных, но не
удовлетворяемых (или не полностью удовлетворяемых) потребностей потребителя,
которые можно удовлетворить путем развития предпринимательской активности
(например, мало производится конфет или не производятся дешевые конфеты). Такой
подход возможен в условиях товарного дефицита и характерен для общества с
низким уровнем социально-экономического развития.
Способ 2
Навязываемый
потребителю интерес предпринимателя — итог, результат предпринимательского решения
по выявлению неосознанного интереса потребителя. В основном такая
предпринимательская активность связана с решением (и готовностью)
предпринимателя производить новые товары, не традиционные для потребительского
рынка.
2.2.
Традиционалистское и инновационное предпринимательство
Предпринимательская
деятельность, связанная с непосредственным производством товаров, может носить:
1) традиционалистский
характер (традиционалистское предпринимательство);
2) инновационный
характер (инновационная предпринимательская деятельность, инновационное
предпринимательство).
Инновация
(нововведение) — обновление основного капитала (производственных фондов) или производимой
продукции на основе внедрения достижений науки, техники, технологии. Это
закономерный, объективный процесс совершенствования общественного производства.
Предпринимательство в
сфере непосредственного производства товаров может, таким образом, ориентироваться
на производство и поставку на рынок традиционных или инновационных товаров.
Практика предпринимательской деятельности в любой ее форме включает в себя
инновационный процесс. Приводимое выше деление типов предпринимательской
деятельности основывается на убеждении, что производство и поставка на рынок
традиционных товаров осуществляется также с использованием каких-то новых
методов или приемов, связанных с организацией производства, техническими
элементами производства или изменениями качественных характеристик
производимого товара. В этом случае, однако, можно говорить о производстве
традиционных товаров с привнесением частичной инновации. В случае когда производство
не частично, а полностью основывается на инновации, результатом такой его
организации выступает новый (не существовавший ранее) товар или же товар с
принципиально новыми характеристиками, свойствами или даже сферами
использования.
2.3.
Основной и вспомогательный виды производительной предпринимательской
деятельности
Исходя из
вышеизложенного, можно сделать вывод о том, что предпринимательская
деятельность в сфере непосредственного производства товаров может носить
основной или вспомогательный характер. К основным относятся те виды
предпринимательской активности, результатом которых является производство
товара, готового к потреблению (производственному или индивидуальному).
К вспомогательным
относятся виды предпринимательской активности, цель которых сводится к разработке
и передаче непосредственным товаропроизводителям инноваций — способов, методов,
приемов, применение которых в процессе производства воздействует на повышение
качественных характеристик товара. Результатом инновационной деятельности
является разработка и передача непосредственным товаропроизводителям новой
техники и технологии. К вспомогательным относятся также такие виды предпринимательской
деятельности, как инжиниринговая, конструкторская, консультационная,
маркетинговая, лизинговая и др.
3.
Посредническая предпринимательская деятельность
3.1.
Понятие посредника
Рынок, как известно,
представляет собой место встречи двух основных субъектов экономических (хозяйственных)
отношений. А раз это так, то на рынке должны присутствовать или сами
производитель и потребитель, или же их представители.
Лица (юридические или
физические), представляющие интересы производителя или потребителя (а часто и
действующие от их имени), но сами не являющиеся таковыми, называются
посредниками.
3.2.
Функциональное назначение посредника
Предпринимательская
активность в сфере посредничества позволяет совместить в самые сжатые сроки
экономические интересы производителя и потребителя. Посредничество, с точки
зрения производителя, повышает степень эффективности работы последнего,
поскольку дает возможность сосредоточить свою активность только на самом
производстве, передавая посреднику функции по продвижению товара к потребителю.
Кроме того, включение посредника в отношения между производителем и
потребителем существенно сокращает срок оборачиваемости капитала, а значит,
повышает прибыльность производства.
Для подтверждения
последнего тезиса рассмотрим следующую схему (рис. 2.3).

Рис. 2.3. Временная
периодизация производства и продвижения товара к потребителю
Пояснения к схеме:
Д — подготовительный
период. Необходимая предпосылка производства — обладание денежным капиталом,
который используется для приобретения всего, что необходимо для начала
производства. Предположим, что такой период продолжается 3 месяца;
П... — процесс
производства. Он продолжается в нашем случае, скажем, 6 месяцев;
Т — процесс
реализации. Продукт нашей деятельности уже принял товарную форму, это уже
товар, готовый к потреблению. Но нам требуется, предположим, 3 месяца, чтобы
довести товар до потребителя. Время это мы тратим, чтобы капитал, совершив
оборот, вернулся в первоначальную, т. е. денежную (с приростом, естественно)
форму.
Если бы мы смогли
продать товар сразу после окончания процесса производства, то мы сократили бы
период обращения капитала на 3 месяца. В этом случае, правда, мы реализуем
товар по оптовой цене, а не по розничной, т, е. теряем часть возможной прибыли.
Могли бы, скажем, получить 90 денежных единиц, а получаем только 81 (10%, т. е.
9 денежных единиц, — торговая или оптовая скидка посреднику). Однако, учитывая
то, что период обращения капитала в этих новых условиях составит не 12, а 9
месяцев, суммарная прибыль также будет составлять не 90, а 108 денежных единиц.
Посредник и три вида
ценовых показателей
При рассмотренной
схеме продвижения товара от производителя к потребителю различают:
• оптовые цены производителя,
• оптовые цены
посредника,
• розничные цены.
Каналы распределения
товаров
Использование
посредника объясняется прежде всего высокой эффективностью его деятельности, которой
самому производителю товара подчас добиться невозможно или просто-напросто ему
придется менять профиль, т. е. становиться посредником. Благодаря включению
посредника в цепочку взаимоотношений производитель-потребитель обеспечивается
широкая доступность товара для всех (или почти всех) потребителей. Другая
сторона этой проблемы сводится к способности посредника эффективно довести
товар производителя до целевых рынков. Посредник обычно предлагает
производителю значительно больше того, что сам производитель в состоянии
осуществить. С точки зрения потребителя, посредничество позволяет полнее и
значительно быстрее удовлетворить существующие у него потребности за счет
образования более эффективного канала распределения.
Канал распределения —
это путь, по которому товары движутся к потребителю (покупателю) от производителя.
Каналы распределения устраняют достаточно длительные разрывы или во времени,
или между местом производства и местом потребления, а также между правами
собственности на товары и правами на пользование ими. Каналы распределения, как
оказывается, будут наиболее эффективными, когда они базируются не на прямых
связях, а на основе включения посредника.
Прямые связи —
договорные отношения, устанавливающиеся между производителем товара (или
услуги) и его непосредственным потребителем.
Предположим, имеются
три производителя разных товаров и три потребителя каждого из этих товаров.
Канал распределения, базирующийся на таких прямых связях, будет включать в себя
9 контактных линий (рис. 2.4).

Рис. 2.4. Схема контактных
линий "производители-потребители"
(без включения
посредника)
Включение же
посредника сокращает число таких контактных линий, составляющих канал распределения,
до шести (рис. 2.5).
3.3.
Агентирование
Предпринимательская
деятельность в посредничестве осуществляется всегда в какой-то конкретной
форме. Самой распространенной формой посредничества является агентирование,
т.е. такой тип отношений, в которых агент выступает посредником между
производителем и потребителем.

Рис. 2.5. Схема
контактных линий "производители-потребители" (с включением
посредника)
Агент — лицо,
действующее от имени и в интересах производителя товара или потребителя. Лицо,
в интересах и от имени которого действует агент, называется принципалом.
Принципалом может быть как собственник товара, поручающий агенту продать его,
так и потребитель товара, поручающий агенту купить этот требуемый товар.
Таким образом,
посредничество с участием агента включает взаимоотношения уже не двух, а трех
субъектов (рис. 2.6).

Рис. 2.6. Схема
отношений производителя и потребителя с участием агента
Типы агентов
Различают несколько
типов агентов:
1) агенты
производителей;
2) полномочные агенты
по сбыту;
3) агенты по
закупкам.
Агенты,
производителей (представители производителей) — представляют интересы двух или
нескольких производителей дополняющих друг друга товаров.
Полномочные агенты по
сбыту получают право на сбыт всей продукции и представляют собой как бы отдел
сбыта, но не входят в структуру фирмы-производителя, а взаимодействуют с ней на
договорных условиях.
Агенты по закупкам
чаще всего занимаются подбором нужного товарного ассортимента (например, для
мелких розничных торговцев).
Правовая основа
осуществления агентских функций
Правовой основой
осуществления подобных отношений служит агентское соглашение (агентский договор),
заключаемое между принципалом и агентом. По этому договору агент обязуется от
имени принципала продать (или купить) товар на указанных в договоре условиях.
Основой такого
договора среди прочих выступают два ключевых условия — цена товара и размер
агентского вознаграждения.
Агентирование:
совпадение экономических интересов агента и принципала
В случае когда агент
относится к категории продающих товар, цена в договоре обозначается по минимально
допустимому уровню ("...Агент обязуется продать товар по цене не ниже,
чем..."). Однако поскольку обычно размер агентского вознаграждения
устанавливается в процентах от цены реализации (например, 10%), то агент будет
стремиться реализовать товар по максимально возможной в данных условиях цене.
Таким образом, происходит совпадение экономических интересов принципала и
агента (агент понимает, что 10% от 200 выше, чем 10% от 100, но это выгодно и
принципалу).
На это обстоятельство
— совпадение экономических интересов взаимодействующих партнеров — следует
обратить особое внимание. Предприниматель в своей деятельности вообще должен
опираться именно на этот принцип, если он действительно стремится к поиску
эффективного партнерства. Поиск в предпринимательстве односторонней выгоды не
может обещать процветания в будущем. Предпринимательство, осуществляемое в
одиночку, а не командой, в современных условиях не является высокоэффективной
формой деятельности. Под командой в данном случае как раз и подразумевается
содружество взаимосвязанных партнеров в рамках единого производственного цикла.
Именно содружество, а не противостояние партнеров, постоянно общающихся по
вопросам производственной деятельности, конечно же, эффективнее случайных
партнерских связей, когда для каждого отдельного производственного цикла подбирается
новый круг агентов. (Это положение не является аксиомой — в ряде случаев как
раз поиск разовых партнеров приносит наибольший эффект).
Если агенты
представляют интересы принципала на долговременной основе, то посреднические
функции разового (для покупателя или продавца) агента выполняет брокер — лицо,
основная задача которого — свести покупателей с продавцами и помочь им достичь
договоренности. Брокер не принимает на себя никакого риска.
3.4.
Конкретные формы агентирования
Брокерство
Брокер — посредник
при заключении сделок, специализирующийся по определенным видам товаров или
услуг, действует по поручению и за счет клиентов, получая от них специальное
вознаграждение. Относится к категории профессиональных деловых посредников.
Комиссия
Иногда агент
выступает в качестве оптовика-комиссионера, который самостоятельно
распоряжается товаром, принимая его на комиссию. Комиссионер действует на
основе договора комиссии, заключаемого между комиссионером (агентом) и
принципалом, который в таком случае выступает в виде комитента.
Комиссионные операции
— это разновидность торгово-посреднических операций, совершаемых одной стороной
(комиссионером) по поручению другой стороны (комитента) от своего имени, но за
счет комитента. Отношения сторон регулируются договором комиссии.
Комиссионер —
посредник, физическое или юридическое лицо, совершающее за определенное вознаграждение
(комиссионное вознаграждение) сделки в пользу и за счет комитента, но от своего
имени.
Комитент — лицо
(обычно производитель или собственник товара), дающее поручение другому лицу
(комиссионеру) заключить определенную сделку или ряд сделок от имени
последнего, но за счет комитента.
При осуществлении
комиссионной операции сделки купли-продажи совершаются комиссионером за счет
комитента, который выплачивает комиссионеру комиссионное вознаграждение. Размер
вознаграждения устанавливается в виде определенного процента от суммы сделки
(обычно, когда в роли комитента выступает продавец товара) или разницы между
ценой, назначенной комитентом, и ценой, по которой комиссионер реализовал товар
(в случае, когда в роли комитента выступает продавец).
Делькредере
Отношения между
комиссионером и комитентом, регулируемые договором комиссии, могут включать и
обязательство, которое комиссионер дает комитенту и содержание которого сводится
к гарантии того, что заключаемый комиссионером договор с какой-либо третьей
стороной будет исполнен. Такое обязательство (вернее — ручательство) называется
делькредере и предполагает передачу комиссионеру дополнительного
вознаграждения.
Делькредере —
ручательство комиссионера перед комитентом за исполнение договора, заключенного
с третьим лицом. За делькредере комиссионер получает особое вознаграждение. Это
обязательство по гарантии от убытков комитента в случае неплатежеспособности
покупателя (третьей стороны отношений).
Индент
В межстрановых
отношениях нередко используют тактику разовых комиссионных поручений — индентов.
Это разновидность комиссионной операции, когда импортер одной страны дает
поручение комиссионеру другой страны на покупку определенной партии какого-либо
конкретного товара.
Консигнация
К комиссионным
операциям относят и операции консигнации. Это вид торгово-посреднической операции,
когда консигнатор (посредник) продает товар со своего склада на основе договора
поручения (реже — консигнационного соглашения).
Консигнатор обычно
действует в сфере отношений между консигнантом и розничными торговцами.
Деятельность консигнатора, которым обычно является собственник складских
помещений и одновременно купец-оптовик, сводится к тому, что он принимает у
консигнанта товары на ответственное хранение с целью их последующей реализации
(обычно — оптом). Но при этом дает обязательство не продать, а лишь предложить
товар потенциальному покупателю при первой появившейся возможности (при
упущенной возможности он обычно несет ответственность).
Схема взаимоотношений
при осуществлении консигнационной операции такова (рис. 2.7):

Рис. 2.7. Схема
отношений производителя и потребителя с участием консигнатора (посредника)
Наибольшее
распространение консигнация получила в сфере оптовых поставок розничным
торговцам (в этом смысле консигнационные склады можно сравнить с российскими
оптовыми базами). Крупные комиссионные фирмы обычно наряду с посредническими
оказывают и другие виды услуг — принимают на себя ответственность за
транспортировку, осуществляют страхование, гарантийное обслуживание и т. д.
3.5.
Оптовое купечество
Довольно часто
посредники выступают в форме оптовиков-купцов (в США, к примеру, на их долю
приходится более половины общего оптового оборота).
Оптовики-купцы —
независимые коммерческие предприятия, приобретающие право собственности на все
товары, с которыми они имеют дело. Это профессиональный вид предпринимательской
деятельности. Предпринимательский доход складывается из разницы между оптовой
ценой покупки товаров оптовиком-купцом и оптовой ценой продажи. Оптовик-купец
обычно продает товар розничным торговцам.
Оптовики-купцы
функционируют в различных формах:
1) оптовая фирма,
2) оптовый
дистрибьютор,
3) снабженческий
(торговый) дом.
Дистрибьюторство
Дистрибьютор —
посредник, специализирующийся на приобретении товаров у производителей и реализующий
их (распределяющий) своим постоянным клиентам. Различают дистрибьюторов товаров
промышленного назначения (их партнерами являются предприниматели, производящие
товары, готовые к потреблению) и дистрибьюторов, продающих товары розничным
торговцам.
Дилерство
Весьма
распространенной формой посреднических операций служит дилерство. К дилерам
относятся посреднические структуры, под которыми могут пониматься как
юридические, так и физические лица. Обычно дилер осуществляет перепродажу
товаров от своего имени и за свой счет. Дилерская прибыль образуется за счет
разницы между ценой приобретения товаров и ценой продажи товаров самим дилером.
По особому договору с продавцами дилер может предоставлять им информацию о
рынке, оказывать услуги по рекламе, а также осуществлять послепродажное
обслуживание реализуемых товаров.
Реже расчеты дилера с
принципалом за получаемый от него товар осуществляются на основе специальных
договоров. Отношения в таком случае строятся по принципу: принципал поручает
дилеру (обычно на постоянной, долговременной основе) заниматься реализацией
принадлежащего ему (или производимого им) товара по цене не ниже, чем...
(эта-то цена и выплачивается дилером принципалу, если дилер сумеет реализовать
передаваемый ему товар).
Торговое маклерство
Торговый маклер — это
предприниматель-посредник, который сам не участвует в заключении сделки, а
только указывает на возможность ее заключения. Обычно его функции сводятся к
тому, что он лишь сводит партнеров по сделке. Предпринимательский доход он
получает в форме маклерского вознаграждения, размер которого зависит от суммы
заключенной сделки. Маклер также занимается посреднической деятельностью при
заключении торговых сделок на биржах. Обычно маклер на российских биржах ведет
торги.
Джобберство
К посредникам
относятся также и джобберы — субъекты посреднической сферы, которые обладают
запасами готовой продукции, обеспечивают хранение и поставку (транспортировку)
товаров. Однако основные принципы их деятельности аналогичны агентским
функциям. Обращение к услугам джобберов целесообразно в том случае, если для
производителя по каким-либо причинам неэффективно создавать собственную
сбытовую сеть (сеть продавцов), или же в случае, когда он стремится выйти за
рамки той территории, где расположены его собственные сбытовые (торговые)
учреждения.
3.6.
Посылторговское посредничество
Посылторговец —
предприниматель-посредник, который занимается реализацией товаров путем рассылки
каталогов товаров потенциальным покупателям. В этом случае посредник должен
предусмотреть наличие у него складского помещения. Кроме того, обычно
предусматривается наличие (или возможность использования) какого-либо
эффективного вида транспорта.
3.7.
Торговое представительство (представительство торговых интересов принципала)
Торговый
представитель как самостоятельный предприниматель также относится к категории
посредников. Он одновременно может представлять интересы нескольких
принципалов.
3.8.
Коммивояжерство
Коммивояжер —
предприниматель-посредник, который не только продает, но и доставляет товар покупателю
(продажа с доставкой). К коммивояжерам обычно относят разъездных представителей
торговых фирм, которые предлагают покупателям товары по имеющимся образцам.
Коммивояжеры обеспечивают достаточно эффективную рекламу товарам и создают
прочные каналы сбыта продукции, а также ее послепродажного обслуживания.
В России накануне
Октябрьской революции 1917 г. насчитывалось шесть профессиональных обществ
вояжеров[1] —
Варшавское, Лодзинское, Московское, Виленское, Ростовское (Ростов-на-Дону) и
Одесское. Более того, в Москве издавался даже специализированный журнал
"Коммивояжер" (московское общество насчитывало 226 коммивояжеров,
действовавших на территории всей России). "Товарищество Кузнецова
(фарфоровое и керамическое производство)" стало монополистом благодаря во
многом именно коммивояжерам, которые кроме своих прямых обязанностей выполняли
функции исследователей интересов и вкусов потребителей, т. е. по существу, ту
работу, которую ныне мы классифицируем как маркетинг.
3.9.
Аукционерство
Аукционная форма
торговли также относится к категории посреднических операций. В осуществлении
таких операций участвуют три субъекта взаимоотношений (рис. 2.8).

Рис. 2.8. Схема
отношений при аукционной сделке
Аукционатор — лицо,
передающее товар аукционисту по договору для его последующей реализации на
аукционе в соответствии с условиями договора и правилами аукциона.
Аукционист — лицо,
проводящее аукцион.
Аукционеры —
участвующие в аукционе потенциальные покупатели.
Аукцион представляет
собой публичный торг. Это соревнование покупателей за право приобретения
товара, выставляемого на аукционную продажу. Товары, выставляемые на аукцион,
имеют стартовую цену и обычно предлагаются к продаже лотами.
Стартовая цена —
начальная цена, назначаемая аукционатором и аукционистом в аукционном договоре,
с которой начинается торг во время проведения аукциона.
Лот — неделимая
партия товара, выставляемая на аукционную продажу. Все лоты под номерами обычно
выставляются для предварительного осмотра до начала аукциона. Товар (лот)
считается проданным после третьего удара молотка аукциониста тому аукционеру,
который предложил наивысшую цену. На международные аукционы выставляются
пушнина, скаковые лошади, пряности, чай, табак, шерсть, ряд других товаров,
включая антиквариат.
3.10.
Биржевое предпринимательство
Биржевое
предпринимательство по сравнению с другими формами профессиональной предпринимательской
деятельности имеет ряд специфических особенностей, что позволяет выделить его в
особый тип и классифицировать как самостоятельное направление деловой практики.
Во-первых, биржи
представляют собой посреднические структуры. При этом, однако, они выделяются
из всего ряда посредников тем, что практически ни один предприниматель не
обходится без обращения к ним. Во-вторых, биржи обслуживают клиентов — это их
главная функция. В России, однако, эта функция бирж имеет своеобразное
проявление — они не столько обслуживают, сколько контролируют производителя
через каналы снабжения и посредством цен. Сегодня предпринимательскую
деятельность нельзя вести на достаточно эффективном уровне, не принимая во
внимание принципы и содержание деятельности бирж.
Виды бирж
Биржа представляет
собой особую организационную форму оптовой торговли. Обычно для каждой биржи
характерна специализация, которая определяется или данным географическим
регионом (региональные универсальные биржи), или же избранным профилем ее
деятельности. Биржи, специализация которых определяется профилем деятельности,
подразделяются на следующие виды:
1) товарная биржа —
специализируется на оптовой торговле обычно массовыми товарами, имеющими
устойчивые и четкие качественные параметры;
2) фондовая биржа —
центр систематических операций по купле-продаже ценных бумаг;
3) валютная биржа —
место для осуществления операций по купле-продаже золота и валюты;
4) биржа труда —
специализируется на учете потребностей в различных видах рабочей силы и имеющихся
предложений рабочей силы (купля-продажа рабочей силы с помощью посредника).
Правда, биржи труда в классическом понимании все больше уступают место центрам
труда (джоб-сентерс), функционирующим обычно под эгидой министерства занятости.
Товарные биржи
Для сферы
предпринимательства наибольшего внимания заслуживают товарные биржи. Принципиальными
отличительными свойствами биржевых товаров выступают их однородность,
взаимозаменяемость, возможность установления для них стандартных качественных
характеристик. Обычно реализация биржевых товаров осуществляется без
предварительного осмотра по образцам или стандартным описаниям при заранее
установленных размерах минимальных партий.
Различают несколько
форм сделок, осуществляемых на товарных биржах.
Во-первых, это сделки
с немедленной сдачей товара (сделки на наличный товар).
Во-вторых, сделки
форвардные, т. е. сделки с поставкой товара в будущем. Оба эти вида сделок завершаются
сдачей-приемкой реального товара.
В-третьих, срочные
сделки — сделки, заключаемые с целью поставки товара в определенный срок,
разрыв между моментом заключения сделки и сроком поставки товара по этой сделке
может составлять от 6 до 14 месяцев (среднепринятый срок для такого рода
сделок). К примеру, сделки на поставку хлопка обычно заключаются в июле с
поставкой хлопка в декабре.
В-четвертых,
онкольные сделки — вид операций, при которых покупка реального товара осуществляется
без фиксации цены до тех пор, пока этого не потребует покупатель. Продавец в
такой ситуации страхует себя хеджированием продажей. При этом цена, по которой
продавец закрывает хедж, становится ценой покупки реального товара..
Спекуляция как форма
биржевой сделки
Неотъемлемым
элементом биржевой торговли всегда выступала спекуляция. Она присуща экономическим
(торговым) отношениям, основу которых составляет обмен. А обмен всегда (или в
подавляющем большинстве случаев) распадается на две отдельные операции —
продажу и покупку. В условиях неопределенности рынка и отсутствия достоверной
информации это делает возможным осуществление операций по "деланию
денег" без обращения к процессу производства. Спекуляция определяется как
торговля в надежде получить прибыль от изменения рыночной цены. Она связана с
ожиданиями продавцов относительно повышения или понижения цен. Спекулянтов в
зависимости от направленности их действий называют быками и медведями.
Бык — биржевой игрок,
полагающий, что цены скоро возрастут, и скупающий по этой причине или
сохраняющий ранее приобретенные контракты. Спекулянт, играющий на повышение.
Медведь — биржевой
игрок, полагающий, что цены вскоре пойдут на снижение, и по этой причине
продающий контракты. Спекулянт, играющий на понижение.
К сделкам
спекулятивного характера относится хеджирование (от "хеджировать" —
ограждать, страховать себя от возможных потерь).
Хедж — страховка от
ценовых рисков или фьючерсный контракт по страхованию от ценовых рисков.
Хеджер — фирма,
осуществляющая хеджирование.
Фьючерсные сделки
Фьючерсный контракт—
это контракт по поставке обусловленного количества определенного товара данного
сорта или марки по фиксированной цене в течение указанного в договоре срока. Во
всех случаях (за незначительным исключением) обязательства по фьючерсным
контрактам выполняются путем уплаты разницы в цене, а не путем поставки реального
товара.
Хеджирование
покупкой— операция на фьючерсной бирже, заключающаяся в покупке фьючерсного
контракта. Тот, кто осуществляет такую операцию, на рынке реального товара
продает, а на фьючерсной бирже покупает, страхуя тем самым свою операцию с реальным
товаром.
Хеджирование
продажей— операция на фьючерсной бирже, заключающаяся в продаже фьючерсного
контракта. В этом случае осуществляется покупка на рынке реального товара или
товар держится в запасе, а на фьючерсной бирже осуществляется продажа. При этом
лицо, осуществляющее хеджирование, намерено прекратить обязательства по сделке
на фьючерсном рынке одновременно с завершением операции с реальным товаром и до
наступления срока поставки по фьючерсному контракту. Хеджирование, таким
образом, представляет собой балансирование между обязательством на рынке
реального товара и обязательством (противоположным по направлению) на
фьючерсном рынке. Это покрытие возможных рисков.
Предположим,
сегодняшняя цена на сахар составляет 10 денежных единиц за 1 кг, а цена на
сахар с поставкой в сентябре — 8 денежных единиц. Я намереваюсь продать сахар в
сентябре, но полагаю, что к сентябрю реальная цена на сахар может опуститься до
7 денежных единиц. В таком случае я могу осуществить хеджирование — сегодня
продать на фьючерсном рынке контракт на поставку 100 кг сахара в сентябре по
цене 8 денежных единиц за 1 кг. Выручка от контракта составит 800 денежных
единиц. В сентябре, когда цены на сахар упадут до 7 денежных единиц, я получил
бы 700 денежных единиц от продажи 100 кг сахара. Если в сентябре я выкупаю
фьючерсные контракты, проданные мною ранее, и плачу 700 денежных единиц (хотя
при их продаже я получил 800), то 100 денежных единиц составят мою прибыль.
Опционы
К особого вида
биржевым сделкам относят опционы. Под опционом понимают сделку, при которой
риск по сравнению с обычными фьючерсными операциями ограничен. Ее содержание
сводится к договорному обязательству купить (продать) товар или финансовые
права по заранее установленной в момент заключения сделки цене в пределах
согласованного периода. Такая цена называется базисной, ценой исполнения
опциона или ценой заключения сделки. В обмен на получение такого права
покупатель опциона выплачивает продавцу определенную сумму, называемую премией.
Риск покупателя как раз и ограничивается размерами этой премии, а риск продавца
снижается на величину премии. В совершении сделки участвуют продавец опциона
(или подписчик опциона) и покупатель опциона (держатель опциона). Опционы могут
совершаться с товарами, ценными бумагами, фьючерсными контрактами.
Под опционом
понимается условие, включаемое в биржевые сделки на срок (фьючерсные
контракты), по которому одной из сторон предоставляется право выбора между
отдельными взаимоисключающими условиями сделки или изменения ее первоначальных
условий. Под опционом, таким образом, понимается выбор, возможность выбора. К
примеру, если опцион применяется в чартере (договоре морской перевозки), то под
ним понимается условие, по которому фрахтователю (нанимателю судна, его
арендатору) предоставляется право выбора порта погрузки (разгрузки) или груза
для перевозки, а также право замены обусловленного в договоре груза другим
грузом.
Опцион в деловых
отношениях встречается довольно часто применительно к разным аспектам деловой
активности. Так, понятие опционный дивиденд означает, что акционер наделяется
правом выбора формы дохода — он может получить такой доход в денежной форме или
в виде новых акций на сумму дивиденда. Нередко используется и такое понятие,
как опционный заем, или заем с опционом, — форма займа или долгового
обязательства, при которой кредитору в определенных пределах предоставляется
право выбора условий погашения займа (например, он может потребовать от
заемщика погасить заем или его часть в валюте, а не в рублях, если он был
предоставлен в рублях, и т. д.).
В договорных
отношениях под опционом понимают право выбора способа, формы, объема, техники
исполнения обязательства. Такое право предоставляется одной из сторон условиями
договора. Опцион может предоставляться покупателю на право закупить
дополнительное количество товара на тех же условиях, что и по предыдущему
контракту. Причем в контракте оговаривается период, в течение которого покупатель
обязан уведомить продавца о таком своем намерении.
Применительно к
операциям на бирже опцион представляет собой особый вид биржевых сделок. Опцион
на бирже снижает риск по сравнению с обычными срочными сделками. Он выступает
как договорное обязательство купить или продать определенный вид ценностей или
финансовых прав по заранее установленной (в момент заключения сделки) цене в
пределах согласованного периода времени. При этом (в обмен на получение такого
права) покупатель опциона уплачивает продавцу так называемую опционную премию —
согласованную сторонами сумму. Такое действие означает сокращение риска для той
и другой стороны на величину этой согласованной суммы. При неисполнении опциона
в срок, указанный в контракте, опционная премия, выплачиваемая при покупке в
пользу продавца, не возвращается.
Опцион на покупку
дает право (но не выступает в качестве обязанности) купить фьючерсный контракт,
товар или иную ценность по данной согласованной цене. Такой опцион инициируется
тем, кто играет на повышение.
Опцион на продажу
дает право (но не выступает в качестве обязанности) продать фьючерсный контракт
или иную ценность (кроме товара) по данной цене. Эта разновидность опциона
инициируется играющим на понижение.
Опционный контракт на
фондовой бирже дает право его покупателю на определенный срок купить или
продать 100 обыкновенных акций какой-либо компании по фиксированной цене.
Покупка опциона не дает права собственности на акции, а предоставляет
покупателю только лишь возможность распоряжаться определенным количеством акций
в течение срока действия контракта.
Различают опционные
контракты двух основных видов — опцион "колл" и опцион
"пут". Покупатель опциона "колл" имеет право приобрести в
течение определенного периода времени 100 обыкновенных акций какой-либо фирмы
по конкретной цене. Покупатель опциона "пут" может продать в течение
определенного периода времени 100 обыкновенных акций какой-либо фирмы по
конкретной цене. Эти две разновидности опциона используются спекулянтами,
играющими на повышение (опцион "колл") или понижение (опцион
"пут") курса акций.
Биржевое брокерство
Предпринимательство в
биржевой деятельности может быть связано: 1) с организацией деятельности биржи
как коммерческой структуры; 2) с организацией брокерской конторы или брокерской
фирмы.
Осуществлением всех
операций на бирже занимаются биржевые брокеры — посредники, которые содействуют
совершению сделок между заинтересованными сторонами — клиентами. Сделки
заключаются брокерами обычно от имени, по поручению и за счет клиента. Они
могут также действовать от своего имени, но за счет доверителя на основе
заключенных с клиентами соглашений. За совершение сделок брокер получает
брокерское вознаграждение или в размере, согласованном с клиентом, или по
таксе, установленной биржевым клиентом.
Брокерские места на
бирже продаются и покупаются. Продажи брокерских мест осуществляет биржевой
комитет. Профессионалы-брокеры работают в биржевом зале. Клиент (или заказчик),
т. е. тот, кто хочет продать или купить акции, может получить информацию по
телефону от брокера, представляющего его интересы.
Схема осуществления
операций на бирже приведена на рис. 2.9.
Листинг
Важное значение для
эффективной деятельности фондовых бирж имеет листинг— включение ряда эмитентов
(т. е. компаний, выпускающих акции и представляющих их для оборота на фондовой
бирже) в биржевой список (англ. list).
Но это не простое включение, а как бы визитная карточка биржи: по условиям
организации биржи в состав биржевого списка должны попадать лишь достойные
фирмы. В противном случае наносится серьезный ущерб деловой репутации фондовой
биржи и доверие к ней со стороны клиентов падает.

Рис. 2.9. Схема
отношений по биржевой сделке:
1 — поручение
продавца брокеру;
2 — поручение
покупателя брокеру;
3 — совершение сделки
в соответствии с поручениями продавца и покупателя
Котировка акций.
Рейтинг компаний
Листинг, однако, не
ограничивается только составлением списка компаний, с акциями которых осуществляются
операции на бирже. Кроме этого, элементами концепции листинга выступают
котировка акций, т.е. определение рыночного курса ценных бумаг, а также
определение рейтинга (делового авторитета) компаний из биржевого списка.
Операции с ценными
бумагами, которые не допущены к официальной биржевой котировке и не включены в
биржевой лист, относятся к внебиржевому обороту.
Включение в биржевой
список той или иной компании призвано прежде всего защитить интересы
потенциальных инвесторов, т. е. тех, кто приобретает на бирже ценные бумаги, не
допустить возможность проникновения на биржу ценных бумаг "случайных"
компаний. Компания, добившаяся права на включение в список фондовой биржи,
должна отвечать соответствующим требованиям относительно ее активов, прибылей и
надежности ценных бумаг.
Фирма, которая входит
в биржевой список, берет на себя целый ряд обязательств, делающих ее "прозрачной"
для всех участников фондового рынка. Дело в том, что рядовые клиенты биржи, как
правило, не располагают достаточной информацией для принятия решений, в какие
бумаги вложить деньги. Целый ряд институтов помогает потенциальным инвесторам
получить необходимую информацию. Фондовые биржи занимают в ряду этих институтов
одно из ведущих мест, осуществляя котировку ценных бумаг (публикацию в биржевом
бюллетене), расчеты биржевых индексов, определение рейтинга списочных компаний
биржи и их ценных бумаг.
Работа по сбору информации
о компаниях-эмитентах, ее аналитическую экспертизу и целый ряд других задач
обычно выполняет отдел фондовой биржи, занимающийся процедурой ведения
биржевого списка, а также отдел, осуществляющий котировку обращающихся на бирже
ценных бумаг. Именно так организована эта работа на Российской фондовой бирже
(РФБ). Биржевым советом РФБ принято "Положение о порядке ведения списка
ценных бумаг, допущенных к обращению на Российской фондовой бирже". В нем
отражено, что на РФБ продаются и покупаются лишь ценные бумаги, которые,
согласно правилам биржевой торговли, прошли соответствующую экспертизу и
включены в биржевой список.
Операции с ценными
бумагами
В биржевой список
допускаются акции акционерных обществ, облигации, государственные долговые
обязательства, производные ценные бумаги. Порядок ведения биржевого списка РФБ
состоит из процедуры включения ценных бумаг в биржевой список; поддержания
надлежащего уровня биржевого списка (листинг); процедуры временного
приостановления котировки и исключения ценных бумаг из списка.
Разработанная
методика оценки инвестиционной привлекательности ценных бумаг акционерных
компаний реализована в виде программного продукта. Даже специалист средней
квалификации может с помощью персонального компьютера в считанные секунды получить
необходимые базовые данные о ценных бумагах компаний и произвести нужные
вычисления.
При операциях с
ценными бумагами обычно используются такие понятия, как номинальная цена (номинал),
цена предложения, цена сделки (цена покупки). Для аналитика важным является
выявление: 1) процентного отношения цены покупки к цене предложения; 2)
процентного отношения цены покупки (состоявшейся сделки) к номинальной цене
(табл. 2.1).
Таблица 2.1
Базовые данные о
биржевых операциях с ценными бумагами
| Эмитент |
Номинал |
Цена предложения |
Цена сделки |
3:2,% |
3 : 1, % |
| 1 |
2 |
3 |
4 |
5 |
| Инкомбанк |
100 000/1 |
25 000 |
17 000 |
68 |
170 |
| РИНАКО |
50 000/50 |
100 000 |
52 500 |
52,5 |
105 |
| РИНАКО |
10 000/1 |
1600 |
1000 |
62,5 |
100 |
| МБТД "Россия" |
50 000/1 |
250 000 |
90 000 |
36 |
180 |
| Итого: |
111 000/53 |
376 600 |
160 500 |
42,6 |
144,6 |
Источник:
"Экономика и жизнь", 1992, февраль, № 5.
Примечание.: Данные
приводятся по сводке Московской центральной фондовой биржи. Стоимость лота по
номинальной цене акций (в знаменателе — количество акций).
При осуществлении
биржевых сделок основным действующим лицом выступает маклер. Маклер регистрирует
все пожелания клиентов о купле-продаже акций и определяет, при каком курсе
осуществляется максимальный товарооборот. Это курс кассовых сделок, или единый
курс. Плата маклеру, который выступает в качестве посредника в сделках с
ценными бумагами, называется куртаж.
Предположим, в
биржевой операции участвуют семь покупателей и семь продавцов, интерес которых
сосредоточен на одних и тех же акциях (скажем, концерна "Гермес"), но
которые имеют разные представления о цене таких акций (табл. 2.2).
При такой ситуации
образуется единый курс (курс кассовых сделок) в 1230 руб. По этой цене осуществить
сделки могут покупатели Г, Д, Е, Ж и продавцы Л, М, Н, О. Остальные же
покупатели и продавцы выбывают из биржевой операции, поскольку они не могут
израсходовать на приобретение акции 1230 руб. (а только 1220, 1210 и 1200 —
соответственно В, Б и А) или хотели бы получить больше 1230 (1240, 1250, 1260 —
соответственно К, И и 3). Единый курс при этом образуется при цене, по которой
возможен максимальный товарооборот (в нашем примере это 4 акции).
Таблица
2.2
Схема образования
единого курса ценных бумаг на бирже
| Покупатель |
Готов купить акции
(максимальная цена в рублях) |
Продавец |
Готов продать акции (минимальная
цена в рублях) |
| А |
1200 |
З |
1260 |
| Б |
1210 |
И |
1250 |
| В |
1220 |
К |
1240 |
| Г |
1230 |
Л |
1230 |
| Д |
1240 |
М |
1220 |
| Е |
1250 |
Н |
1210 |
| Ж |
1260 |
О |
1200 |
3.11.
Фьючерсы
Фьючерсный товарный
контракт дает владельцу право купить или продать определенное количество
данного товара по установленной цене в будущем (дата фиксируется в контракте).
Необходимо иметь в виду, что контракт представляет собой только право купить
или продать, но не право собственности на товар — предмет контракта. При
планировании фьючерсной сделки предприниматель исходит из того, что если (по
его собственному заключению) цена в будущем на какой-то товар повысится, то он
будет стремиться к покупке контракта, а при обратном ожидании — к продаже
такого контракта.
Фьючерсная сделка,
таким образом, именуемая еще и как срочная сделка, т. е. сделка на определенный
срок, предполагает лишь переход права купли-продажи какого-либо товара, но не
права собственности на товар. Другими словами, она не предусматривает
обязательства поставить или принять обусловленный в договоре товар. По этой
причине фьючерсный договор именуют иногда как бумажный, а фьючерсную сделку как
бумажную сделку.
Фьючерсный договор не
может быть аннулирован или ликвидирован в обычном смысле. Ликвидация такого
договора происходит путем заключения противоположной сделки на равное
(указанному в контракте) количество товара или же (что случается реже) в связи
с поставкой реального товара на условиях, оговоренных в контракте.
Однако фьючерсные
контракты заключаются не в связи с ожиданием получить реальный товар, а в
надежде получить разницу в цене на товар, обозначенный в контракте. Разница в
цене определяется как ее превышение или снижение между двумя моментами времени
— сроком заключения контракта (цена на момент подписания контракта) и сроком
его исполнения (цена на момент подписания контракта с противоположным, обратным
условием: если фьючерсный контракт заключен на покупку, то его ликвидация
происходит путем его продажи, и наоборот).
К примеру, 10 ноября
1993 г. продавец продал на Лондонской бирже металлов партию никеля по цене
4740,5 долл. США за тонну с поставкой через 3 месяца. Однако к 10 февраля 1994
г. цена на никель поднялась до 4785 долл. США за тонну. В этой ситуации
продавец окажется проигравшей стороной и вынужден будет при ликвидации такого
фьючерсного контракта, заключенного 10 ноября 1993 г., выплатить покупателю 10
февраля 1994 г. сумму в 44,5 долл. США за каждую тонну проданной по фьючерсу
партии никеля. Покупатель, наоборот, будет считаться выигравшей стороной,
поскольку теперь, 10 февраля 1994 г., функции сторон сменились на прямо
противоположные:
• продавец
фьючерсного контракта (на 10 ноября 1993 г.) становится 10 февраля 1994 г.
покупателем контракта на то же количество такого же товара, но уже по цене на
момент ликвидации контракта;
• покупатель
фьючерсного контракта (на 10 ноября 1993 г.) превращается в продавца 10 февраля
1994 г.
Схема этой операции
выглядит следующим образом (рис. 2.10).

Рис. 2.10. Схема
фьючерсной сделки (на уровне партнеров)
Однако в
действительности субъекты фьючерсной сделки после подписания контракта в
отношения друг с другом не вступают (по поводу этой сделки). Они регистрируют
фьючерсные контракты, подписанные ими, в расчетной палате, учрежденной при
каждой бирже. Расчетная палата, таким образом, наряду с другими функциями
занимается регистрацией фьючерсных контрактов, через нее также осуществляются
платежи. Схема взаимоотношений между продавцом и покупателем при этом принимает
следующий вид (рис. 2.11).
В настоящее время
почти на всех биржах разработаны и применяются стандартизованные формы
фьючерсных контрактов, что облегчает и ускоряет процедуру их заключения и
ликвидации.
Фьючерсные сделки
заключаются для спекуляции на бирже или в целях страхования от возможных
изменений цены на товар, т. е. хеджирования.

Рис.
2.11. Схема фьючерсной сделки на бирже:
1 — заключение
контракта;
2а, 26 — регистрация
контракта;
3а — покупка
контракта;
36 — продажа
контракта;
4а — выплата
расчетной палатой покупателю разницы в ценах на 10 февраля 1994г. по сравнению
с 10 ноября 1993 г.;
46 — уплата продавцом
разницы в ценах на 10 ноября 1993 г. по сравнению с 10 февраля 1994 г.
Фьючерсные сделки
необходимо отличать от срочных сделок на реальный товар, которого у продавца в
момент заключения нет, но который, как предполагается, будет у него через
какое-то определенное время; и тогда (это фиксируется в контракте) реальный
товар будет передан покупателю. При этом если партнеры не уверены в
стабильности цен в период, отделяющий момент заключения сделки на реальный
товар от момента поставки товара, то они одновременно могут заключить фиктивный
контракт, т. е. контракт, не предполагающий поставку реального товара
(фьючерсный контракт). Заключение фьючерсного контракта в таких условиях есть
форма страхования партнеров от риска возможного изменения цены. Хотя это важно
для покупателя (у него доминирует опасение, как бы не пришлось заплатить более
высокую цену), но и продавец соглашается на такое действие, поскольку оно дает
возможность и той, и другой стороне прогнозировать свои операции. Если бы не
существовало такой возможности — заключать параллельно с контрактом на реальный
товар еще и другой, фиктивный, т. е. фьючерсный контракт, то партнеры подвергались
бы серьезному риску. При этом были бы возможны такие варианты:
1) Цена на момент
поставки товара могла бы повыситься по сравнению с ценой, которая существовала
на момент заключения контракта. В этой ситуации покупателю пришлось бы
выплатить более высокую (и трудно прогнозируемую) цену.
К примеру, покупатель
предполагал, что за приобретаемый товар он заплатит 100 денежных единиц, а
поскольку произошло повышение цены, то фактически он платит, к примеру, 120
денежных единиц. Но покупатель не рассчитывал на это, в данной ситуации ему
трудно планировать или прогнозировать свою деятельность. Обращение же к
фьючерсному контракту устраняет такой риск, поскольку если цена возрастает, то
прирост цены (на момент поставки товара по сравнению с моментом заключения
контракта) он получит от расчетной палаты биржи. Иными словами, он выплатит
продавцу цену 120 денежных единиц, но 20 денежных единиц ему вернет расчетная
палата. Таким образом, фактически он приобретет товар по цене 100 денежных
единиц.
2) Цена на момент
поставки могла бы снизиться по сравнению с ценой, существовавшей на момент
заключения договора на поставку реального товара.
В такой ситуации
продавец надеялся на получение 100 денежных единиц, а цена, скажем, упала до 80
денежных единиц. Это означает, что он получит только 80 денежных единиц. Но
если вместе с данным договором продавец заключил еще и фьючерс, то при ликвидации
этого фьючерса он получит от расчетной палаты биржи 20 денежных единиц (как
разницу в ценах). И таким образом, он не несет риска, связанного с изменением
цены.
3.12. Риэлторство
К особым формам предпринимательской
деятельности относится торговля недвижимостью, или, как ее еще называют,
риэлторский бизнес. Людей, занимающихся этим видом бизнеса, называют
риэлтерами. Риэлтеры используют довольно часто посредников — маклеров.
4.
Предпринимательство в финансовой сфере
4.1.
Финансовые институты как основа предпринимательской инфраструктуры
Кроме двух основных
типов предпринимательской активности, о которых мы вели речь, следует выделить
еще один тип, занимающий в структуре предпринимательства особое место. Имеется
в виду предпринимательство в финансовой сфере, которое, с одной стороны,
относится к категории посреднической деятельности, а с другой — к оказанию
услуг, без которых осуществление любой активности становится практически
невозможным. Поэтому финансовое предпринимательство выступает как составная и
неотъемлемая часть и того и другого типа предпринимательской активности.
Предпринимательство в
финансовой сфере может осуществляться банкирами или финансистами за счет
учреждения и организации деятельности банков, инвестиционных компаний и фондов.
4.2.
Банки
К банкам относятся
специализированные финансовые институты (предприятия), объединяющие (сосредоточивающие
у себя) финансовые ресурсы — временно свободные денежные средства (вклады),
предоставляющие их во временное пользование в виде кредитов (займов, ссуд),
посредничающие во взаимных платежах и расчетах между предприятиями,
учреждениями и отдельными лицами.
Такое определение
относится к государственным или коммерческим (частным или акционерным) банкам.
Центральный банк выполняет в основном функцию регулирования денежного обращения
в стране, включая эмиссию (выпуск в обращение) новых денег. Центральный банк,
как правило, принадлежит государству. Коммерческие банковские учреждения
относятся к категории предприятий, осуществляющих свои функции с целью
получения прибыли.
В организации
банковского дела главная проблема сводится к качественному обслуживанию клиентов.
Одной из важнейших характеристик деятельности банковских структур выступает
период прохождения банковских платежей. При этом различают:
• внутрибанковские
платежи,
• межбанковские
платежи на национальном уровне,
• межбанковские
платежи на международном уровне.
Внутрибанковские
платежи — это прежде всего внутренние (применительно к каждому отдельному
банку) расчеты с филиалами. Для оперативной работы в этом направлении обычно
используют традиционные виды связи: телефон, телетайп и почту. В телетайпной
связи применяется стандартная (принятая во всем мире) таблица ключей. При
внутригородских расчетах часто основная нагрузка ложится на специально
выделенные телефонные линии.
В настоящее время в
пределах России платежное поручение, переданное по телеграфу, проходит в
среднем за 3 дня, по почте — 11 дней. Используются также факсимильная и
модемная связь. Однако эти каналы ненадежны, поэтому российские банки пытаются
найти какие-либо альтернативные средства связи, вплоть до использования
спутниковой связи, если речь идет о расчетах с иногородними филиалами.
Для международных
банковских расчетов российские банки используют систему "Еврокэш"
(электронная система международных банковских операций, разработанная банком
"Еврофинанс"). Но лидирующие позиции в международных банковских
операциях остаются за широко распространенной системой "СВИФТ",
несмотря на то что подключение к этой системе обходится банку достаточно дорого
— около 200 тыс. долл. США. Однако высокий уровень защиты информации и
возможность прямой связи с банком-корреспондентом, что свойственно системе
"СВИФТ", заставляет российские банки идти на такие затраты.
“СВИФТ"
относится к разряду систем специального назначения. Наряду с этим банками применяются
и системы общего пользования, такие как "Спринт" — система
межбанковских электронных платежей с использованием телекоммуникационных услуг
компании "Спринт", созданной московским производственным объединением
"Центральный телеграф" и американской телекоммуникационной компанией
"Спринт интернэшнл комьюникейшн".
Особенности сети
"Спринт" — возможность предотвратить утечку информации, перехват и
вмешательство на всех уровнях системы, а также обеспечить защиту от
несанкционированных изменений информации. Так, модемное оборудование может
работать в режиме "колл-бэк" — при установлении соединения по
коммутируемой линии модем разрывает связь и делает обратный дозвон до клиента с
целью проверки зарегистрированного телефонного номера. Для каждого пользователя
определяются его статус, степень секретности информации и область интересов,
присваиваются ключи и пароли, регистрируются происходящие изменения. Банки сами
решают, по каким полям будет шифроваться передаваемая ими информация и использоваться
канал электронной подписи. С помощью особых процедур, выполняемых специальным
центром безопасности, можно создать полностью замкнутую группу пользователей
внутри сети "Спринт".
Принципиально новое
использование технологии "Спринт" нашли в системах безналичных
расчетов на основе магнитных карточек. Сеть позволяет в режиме реального
времени производить верификацию (проверку достоверности) и авторизацию
(принадлежность определенному лицу) как международных карточек
("Виза", "Американ экспресс", "Эм-си/И-си",
"Диннерс клаб", "Джей-си-би", "Европей/Мастер
кард"), так и отечественных ("Орткард", "Олби",
"Юнион кард"). Торговая точка, заключившая договор с одной из
финансовых компаний, эмитирующих эти карточки, подключает к сети
"Спринт" считывающие терминалы фирмы "Верифоун" (в мире уже
установлено более 3 млн. изготовленных ею аппаратов), позволяющие проверять
персональные коды владельцев карточек (PI-коды).
Считанные с карточки данные передаются в центры авторизации той или иной
финансовой компании для получения продавцом электронного кода авторизации
(разрешения на оказание услуг). Имея опыт установки первого в России банкомата,
позволяющего по кредитным карточкам "Виза" получать наличные доллары,
"Спринт" планирует ввести в эксплуатацию и первые рублевые банкоматы.
Контокоррентный счет
(контокоррент) — единый текущий и ссудный счет, открываемый банком своему
клиенту. Это счет, по которому проходят как ссуды, предоставляемые банком, так
и средства, поступающие в банк от клиента в виде вклада или возврата ссуды.
4.3.
Инвестиционные компании и фонды
К инвестиционным
компаниям и фондам относятся финансовые учреждения (предприятия), преследующие
коммерческие цели (т. е. извлечение прибыли), концентрирующие (привлекающие)
как свои, так и чужие капиталы и инвестирующие их с максимальной эффективностью
в функционирующие и новые производства.
Инвестиции —
долгосрочные вложения капитала в какое-либо предприятие, дело.
Инвестиционный —
относящийся к осуществлению инвестиций. Инвестор — вкладчик капитала; лицо,
организация или государство, осуществляющие инвестиции.
Инвестиционные
компании и фонды подразделяются на два вида.
Предприятия,
создаваемые с целью концентрации имеющихся у потенциальных вкладчиков средств,
вложения капитала в действующие производства и получения прибыли за счет таких
инвестиций (с последующей выплатой вкладчикам дохода из получаемой прибыли).
Искомый эффект таким
инвестиционным предприятием достигается за счет рассредоточения привлекаемых
средств, что значительно снижает степень риска. Для этого, однако, необходимо
владеть доскональной и объективной информацией о финансовом состоянии компаний,
в которые планируется вкладывать капитал, и прогнозировать возможные изменения
их финансового "здоровья".
К примеру, наш инвестиционный
фонд привлек (за счет реализации акций и облигаций) 100 000 денежных единиц.
Нашим вкладчикам мы гарантировали доход в размере 10% годовых. Следовательно,
нам необходимо разместить эти 100 000 денежных единиц таким образом, чтобы в
течение года получить суммарный доход (цифры условные) не менее 15 000 денежных
единиц: 10 000 денежных единиц — выплаты по вкладам (нашим вкладчикам), 2000
денежных единиц — наши издержки производства, 3000 денежных единиц — минимум
норматива прибыли. В таком случае весьма важно разработать эффективную схему
размещения привлеченных капиталов. При этом мы исходим из того, что, хотя и
привлекательно предложение Инкомбанка приобрести их акции за 100 000 денежных
единиц с ожидаемым дивидендом в размере 20%, вряд ли стоит соглашаться с такой
возможностью. (В бизнесе сомнение должно присутствовать всегда, рациональное
сомнение, естественно.) В этом случае возникает вопрос, а действительно ли
дивиденд составит 20%, а вдруг всего 10% и меньше? По этой причине стоит
поступить следующим образом:
• 20 000 денежных
единиц использовать на приобретение акций Инкомбанка, ожидаемая прибыль составит
4000 денежных единиц (20% от 20 000);
• 20 000 денежных
единиц передать партнеру А в качестве займа с его обязательством вернуть капитал
через год и выплатить 25% от размера займа в качестве платы за пользование
кредитом, т. е. 5000 денежных единиц (25% от 20 000);
• 30 000 денежных
единиц использовать для приобретения акций акционерного общества
"Бонд" — хотя они и обещают не очень высокий дивиденд (14%), но по
имеющейся информации дела у них идут весьма неплохо и дивиденд может составить
20% и более, т. е. можно ожидать прибыли от такого инвестирования как минимум
6000 денежных единиц (20% от 30 000).
Размещение
привлеченного капитала по такой схеме обещает принести суммарный доход в
размере 15 000 денежных единиц (4000 + 5000 + 6000). Однако по этой схеме мы
разместили всего 70 000 из имеющихся 100 000 денежных единиц, но (по расчетам)
уже достигли искомого эффекта. Риск, правда, сохраняется. По этой причине мы
можем остальные 30 000 денежных единиц разместить следующим образом:
• 10 000 денежных
единиц использовать для приобретения привилегированных акций акционерного
общества Б с фиксированным дивидендом 20% (2000 денежных единиц — страховая
сумма, предназначенная для восполнения возможного недополучения расчетного
дохода от вложений 70 000 денежных единиц);
• остающиеся 20 000
денежных единиц в такой ситуации можно использовать для приобретения галантерейного
магазина (в ходе осуществляемой приватизации) для гарантированного в будущем
дохода или для получения возможности в случае каких-то непредвиденных
обстоятельств обратить эту собственность в денежную форму капитала путем
продажи или заклада.
Конечно, такая
деятельность требует рационального, взвешенного осмысления всего комплекса проблем,
а также детальной разработки бизнес-плана на основе продуманной и выверенной
схемы размещения привлекаемых капиталов. Само привлечение капиталов также
потребует особого рода работы ума[2].
В нашем примере
предполагалось, что привлекаемый капитал будет сформирован за счет выпуска
мелких (на сумму, скажем, 1000 руб. каждая) акций и размещения их среди
держателей мелких капиталов — граждан, которым приобретение акций, допустим, за
20 000 руб. не под силу.
Предприятия второго
вида - предприятия, создаваемые с целью концентрации капиталов для реализации
каких-либо проектов, в том числе и на региональном уровне. В таком случае
возможна двоякая форма таких предприятий:
а) инвестиционный
фонд, трансформируемый по мере реализации проекта в акционерное общество. К
примеру, мы создаем инвестиционный фонд для реализации проекта по учреждению и
организации деятельности автомобильного комплекса. В этом случае наша деловая
активность строится по образу и подобию деятельности по созданию акционерного
общества;
б) региональный
инвестиционный фонд как коммерческое предприятие, специализирующееся только на
поиске и привлечении капиталов для их последующего вложения в конкретные
проекты на территории данного региона. К примеру, мы привлекаем капитал для
строительства завода по обработке кож в Тульской области. С оргкомитетом по
учреждению завода мы заключили договор о том, что инвестируемые в этих целях
капиталы должны приносить прибыль в размере 10% от их величины.
К инвестиционным
предприятиям относятся и инвестиционные банки, специализирующиеся на финансировании
долгосрочных инвестиций (в том числе и путем распространения — подписки —
акций, выпускаемых каким-либо акционерным обществом, через выкуп всех акций и
их последующую реализацию или прием акций на комиссию, т. е. их реализацию с
уплатой процента за услуги с цены реализации).
4.4.
Аудиторство
К весьма
специфическим сферам деятельности относится аудит. Под аудитом понимают
деятельность по проверке и контролю финансового состояния компании. Фирмы,
специализирующиеся на аудите, называются аудиторскими, или фирмами-аудиторами.
Должностных лиц таких фирм, которые осуществляют проверочные и контрольные
функции, также называют аудиторами.
Аудиторская проверка
какой-либо фирмы может осуществляться фирмой-аудитором по просьбе руководства
(собственника) проверяемой фирмы. Такие действия в предпринимательской практике
— не редкость. Зачем руководитель или собственник приглашает контролеров? С
точки зрения традиционной российской психологии это выглядит весьма странно.
Дело в том, что у нас всегда осуществлялись (да и сейчас то же самое) проверки
финансового состояния предприятий с единственной целью — найти недостатки и
наказать виновных. Аудит же исходит из других целевых установок: посторонний
или нейтральный для проверяемой фирмы специалист (или группа специалистов)
делает в ходе контрольной проверки выводы о степени компетентности управления
финансами данной фирмы и выдает рекомендации по улучшению ситуации, связанной с
управлением финансами.
Иногда аудиторские
проверки проводятся по решению судебных инстанций (например, когда готовится
судебное решение об объявлении какой-то фирмы банкротом и т.д.). Аудиторская
проверка предполагается обычно и тогда, когда фирма обращается за получением
кредита и кредитор выставляет обязательное условие о предварительном проведении
такой проверки.
Заключение
Предпринимательская
деятельность может осуществляться, как мы уже отмечали, в различных формах. Эти
формы взаимодополняют друг друга, превращая процесс производства и продвижения
товаров и услуг к потребителю в целостный и достаточно эффективный процесс
(рис. 2.12).

Рис. 2.12. Типология
предпринимательской деятельности
Список
литературы
Бусыгин А.В.
Предпринимательство. М., 1998
Иващенко А. А.
Товарная биржа. М., 1991.
Карлоф Б. Деловая
стратегия. М., 1991.
Котлер Ф. Основы
маркетинга. М., 1990.
Шумпетер И. Теория
экономического развития. М., 1982
Хизрич Р., Питерс М.
Предпринимательство, или как завести собственное дело и добиться успеха. М.,
1991.
Хоскинг А. Курс предпринимательства.
М., 1993
Для подготовки данной
работы были использованы материалы с сайта http://www.ef.wwww4.com/
[1]
'Утверждают,
что слово "вояжер" произошло от Вояжимпсих — имени древнеегипетского
жреца, оставшегося в истории первым человеком, осуществлявшим подобные
операции.
[2]
В кредитовании в условиях России особо важную роль (как для кредитора, так и
для заемщика) играет проблема залогового имущества. В качестве залога в
настоящее время обычно выступает недвижимое имущество, находящееся в
собственности заемщика, а также — ликвидные ценные бумаги (ГКО, ОФЗ). Значение
этой проблемы сводится к тому, что недвижимое имущество, находящееся в
собственности предпринимателей и выступающее в качестве залога, чаще всего
относится к категории неликвидного имущества, т. е. такого имущества, которое
трудно реализовать с тем, чтобы можно было возвратить кредит, взятый под залог
этого имущества. Проблема осложняется тем, что процедура погашения кредита
достаточно сложна: если аукцион по продаже такого имущества (в случае
неспособности заемщика вернуть взятый кредит) дважды не дает результатов, то
имущество подлежит возвращению прежнему собственнику. Это затрудняет развитие
отношений малых предпринимательских структур и финансовых институтов, сужает
возможности кредитования предпринимательских проектов.