Курсовая работа: Анализ кредитного риска
Содержание
Методы оценки риска: общие принципы
Расчет вероятности дефолта заемщика
Оценка риска дефолта по капитализации
О методике расчета портфельного риска
Учетная ставка по кредитам
EL по каждому кредиту в%
Оценка кредитных рисков: модель блуждающих дефолтов
Добавление актива к портфелю
Базовая формула
Распределение капитала
Карта "риск-доходность"
Управление кредитными рисками
Приложения
Одно из основных требований
Базельского комитета (Basel II) состоит в соответствии капитала банка его
рискам, которые необходимо уметь определять, чтобы формулировать требования к
капиталу, обеспечивающие банку надежность. При этом невозврат единичных
кредитов не принесет ощутимого урона банку, если сможет быть компенсирован
резервами, отчисляемыми под ожидаемые потери по кредитным операциям (Expected
Loss, EL). Кроме того, существует шанс потерь значительной части активов в
кредитном портфеле, приводящих к банкротству банка. Такие потери называют
неожидаемыми потерями (Unexpected loss, UL).
В связи с этим при анализе
кредитного риска необходимо оценивать его с двух позиций - как EL и UL. Ожидаемые
потери вычисляются по вероятностям дефолтов компаний-заемщиков, а также по
величинам обеспечения по кредитам.
Величина ожидаемых потерь
напрямую влияет на прибыль от кредитного продукта, поскольку необходимо
отчислять страховую сумму в резервный высоко-ликвидный фонд с каждого кредита,
эта сумма должна быть не менее величины EL. Величина неожидаемых потерь по
портфелю также косвенно влияет на прибыль от кредитной деятельности, поскольку
определяет собственный уровень надежности кредитного портфеля и банка в целом.
Собственный уровень надежности
определяется соответствием капитала под риском (собственного экономического
капитала) возможным неожидаемым потерям, которые могут произойти с вероятностью
дополняющей до полной вероятность (уровень) надежности. Более строго UL
измеряется величиной VAR (Value at risk) при уровне надежности
Требование соответствия капитала
выглядит просто как

где CAR (Capital at risk) относительная
величина собственного капитала. Для оценки величины VAR
требуется построение
кривой потерь по портфелю, что является нетривиальной задачей. Базельский
комитет в своих требованиях банкам считает нужным внедрение методик внутреннего
рейтингования заемщиков банка и кредитных продуктов, что предполагает умение
оценивать величины, отвечающие за риск потерь. Это, прежде всего, PD - cреднегодовая
вероятность дефолта заемщика с известной датой расчета, LGD (Loss given default)
- средне ожидаемая доля потерь средств в случае дефолта, M (Maturity) - длина
кредита, EAD (exposure at default) - величина средств под риском. На риск
портфеля также влияет и групповая принадлежность заемщиков, через возможную
корреляцию между дефолтами. Согласно современным требованиям Базельского
комитета уровень надежности должен быть не менее 99%.
Одной из основных и
нетривиальных задач в оценке риска - это задача вычисления вероятности дефолта
заемщика. Мы имеем два подхода к вычислению PD. Первый основан на
качественной и количественной оценке рейтинга заемщика по его внутренним
финансовым показателям и особым бизнес-факторам. Второй основан на
капитализации заемщика на фондовом рынке и уровне его долгов перед кредиторами.
К сожалению, второй подход, хоть и является наиболее объективным, применим ли риск
дефолта лишь к небольшому числу российских открытых компаний.
Вычисление PD (годовой
вероятности дефолта) заемщика является самой трудоемкой задачей. Обычно к
вычислению PD применяют два подхода.
Первый основан на качественной и
количественной оценке рейтинга заемщика по его финансовым (фундаментальным) показателям
и особым бизнес-факторам.
Оценка риска дефолта по
фундаментальным показателям.
Метод расчета вероятности
дефолта заемщика для приватных компаний, которых большинство в кредитном
портфеле, основан на базовой формуле, устанавливающей зависимость между
финансовыми отношениями из бухгалтерских отчетов и PD. Далее, после вычисления
базового PD, строится экспертная оценка, из которой следует общий балл
заемщика, корректирующий этот PD. Основные финансовые отношения x1,
x2,... x7 для базовой формулы, вычисляемые из квартальных отчетов 1-ой
и 2-ой формы за последний год, следующие:
логарифм годовой выручки (log (US$))
операционная маржа =
операционная прибыль/годовая выручка
доходность активов =
операционная прибыль/активы
покрытие процентов =
операционная прибыль/проценты за кредиты
структура капитала = собственный
капитал/активы
покрытие обязательств =
свободные денежные средства/обязательства
ликвидность = краткосрочные
активы/обязательства
Формула для среднегодовой
вероятности дефолта
аналогична используемой для
западных компаний (Moodyes RISKCALC3), но с адаптированными для
России коэффициентами
. Она была разработана аналитиками
МДМ-Банка и охватывает среднего масштаба производственные и торговые компании (для
последних изменяется один параметр, касающийся операционной маржи). Формула
дает возможность по непрерывному ряду квартальных отчетов вычислять ряд PD,
который испытывает колебания в согласии с изменением финансового положения
компании. Для расчета одного значения PD необходимо представление
финансовых отчетов на протяжении предыдущего года, поскольку финансовые
отношения, вычисляемые за год, нивелируют сезонные колебания. Например, на рис.1
представлены ряды PD для двух известных компаний "Аэрофлот" и
"Газпром", вычисленные по открытым квартальным отчетам.

Рис.1 (A) - PD для компании
"Аэрофлот"

Рис.1 (B) - PD для компании
"Газпром"
Вторая часть оценки PD состоит
в качественной оценке заемщика, осуществляемой опытным оценщиком банка, она
необходима для исправления неполной объективности и учета дополнительных
факторов, недостающих в базовой формуле.
Специалист отвечает на несколько
десятков вопросов, касающихся бизнеса компании, которые должны влиять на риск
дефолта. Каждому разделу оценки соответствует некоторый вес и каждому вопросу в
разделе тоже. Прежде чем отвечать на вопросы, оценщик должен тщательно
подготовить свое мнение по максимальной информации, предоставленной
компанией-заемщиком. После ответа на вопросы вычисляется поправочный
коэффициент к базовой оценке PD, который может увеличить или уменьшить
базовую PD. В нейтральном случае коэффициент остается равным единице. На
общий качественный балл заемщика влияют качественные и финансовые показатели.
На рис.2 представлена структура разделов и подробно один из параграфов оценки.
Оценщик присваивает каждому вопросу определенный балл (0-20) в зависимости от
качества, затем эти баллы суммируются с определенными весами

Рис.2. Структура расчета
общего балла заемщика с примером вопросов по "Дополнительным факторам"
|
|
Дополнительные факторы |
Балл |
Вес |
Вклад в оценку |
| 32 |
Доля прибылей/капитала на "серых" компаниях |
0 |
14% |
2,1% |
| 33 |
Масштаб поправок к финансовым отчетам |
15 |
10% |
1,5% |
| 34 |
"Экономический и "ликвидационный баланс" |
5 |
11% |
1,7% |
| 35 |
Международные аудированные отчеты |
0 |
10% |
1,5% |
| 36 |
Степень уклонения от налогов |
10 |
10% |
1,5% |
| 37 |
Кредитная история заемщика |
10 |
17% |
2,6% |
| 38 |
Возможности контроля за финансовым состоянием |
10 |
11% |
1,7% |
| 39 |
Стратегическое обеспечение |
20 |
17% |
2,6% |
|
|
Итоговая оценка дополнительных факторов |
9,3 |
100% |
15,0% |
Методы оценки риска > Риск
дефолта > Оценка риска дефолта по капитализации
Расчет PD по данным
капитализации и долгов осуществляется по адаптированной нами к российскому
нестабильному рынку известной американской модели CreditGrades (RiskMetrics group),
которая является обобщением известного класса структурных моделей, в основе
которых лежит подход Нобелевского лауреата Роберта Мертона. Базовые положения
модели
Активы компании - случайная
функция
Дефолт происходит в момент
падения активов до уровня, определяемого внешним долгом
Входными данными модели служит
исторический ряд капитализации и долгов компании. Исследуется случайный процесс
движения активов Vt компании
Где на каждом квартале
волатильность
и тренд
полагается постоянным, но
изменяющимся от квартала к кварталу, Wt - классическая
диффузия. Если величина активов падает ниже уровня, определяемого долгом,
который тоже подразумевается случайным, то наступает дефолт. В модели есть два,
калибруемых под условия реального рынка, параметра. Мы калибровали модель под
рейтинги полтора десятка известных открытых российских компаний,
предоставленные уважаемым агентством S&P по международной шкале,
учитывающей суверенный (страновой) риск. Этим рейтингам напрямую сопоставляются
соответствующие значения PD, по которым и производилась калибровка. На рис.3
представлены результаты расчетов исторического ряда PD для примера двух
компаний "Юкос" и "Ростелеком". PD представлены за
год и два года на одном графике, на нижних графиках даны зависимости
капитализации и долгов за расчетный период времени.



Рис.3. Временной ряд PD,
капитализации и долгов некоторых российских компаний
Для расчета риска по портфелю
необходимо по каждой компании и ее долгам банку ввести необходимые
характеристики:
PD заемщика и ошибку вычисления
PD, если компания рейтингована некачественно:
Дата вычисления PD.
Даты выдачи кредитов.
Даты погашения кредитов.
RR кредитов, оцененные по
обеспечению и приоритету.
Величины кредитов в любых
условных единицах.
Номера схем кредитования,
например, первая - "тело в конце, проценты помесячно", вторая -
"тело равными долями помесячно плюс проценты на оставшуюся часть" и т.д.
Шифр принадлежности заемщика
определенным финансово-отраслевым, региональным группам
После оценок PD заемщиков
портфеля и предоставления необходимой информации по кредитным операциям,
обеспечению и лимитам заемщика можно перейти к расчету риска портфеля. На
выходе расчета портфельного риска будут несколько главных показателей риска в
целом и вклада в риск каждого заемщика. В том числе: ожидаемые потери (EL,
expected loss) по портфелю и для каждого заемщика в отдельности, величины,
характеризующие непредвиденные потери портфеля и доли капитала под риском,
приходящиеся на каждого заемщика. Имея эти показатели можно сделать вывод о
достаточности экономического капитала, выделить наиболее рисковых и
малорентабельных заемщиков. Основные рисковые показатели следующие:
Величина капитала под риском,
приходящаяся на каждого заемщика или группу заемщиков, а также относительная
прибыльность ее в рамках портфеля (RAROC)
Общие характеристики риска
портфеля:
ожидаемые потери EL по портфелю
Capital at Risk портфеля при
уровне надежности
величина Shortfall портфеля,
дисперсия потерь
Наиболее рисковые и низко
рентабельные заемщики портфеля
Основная особенность методики
расчета кривой распределения потерь по портфелю состоит в одновременном
сочетании двух методов вычисления распределения - метода типа Монте-Карло и
метода, основанного на рекуррентной формуле.
Первый метод, Блуждающих
дефолтов (WDM, wandering defaults model), был эксклюзивно разработан для
адекватного анализа портфеля крупных российских заемщиков, он учитывает многие
особенности изменения портфельного риска, но рассчитан на небольшое (до
сотни-двух) количество заемщиков. Второй метод, CreditRisk+, является
классическим весьма продуктивным методом, основанным на допущениях, которые
особенно естественны для некрупных и несвязанных между собой заемщиков. Разбиение
портфеля на две части позволяет одновременно учесть особенности модели
распределения риска по крупным и быстро рассчитать риск для большого числа
мелких заемщиков, полагая их независимыми. Свертка двух кривых потерь для
портфелей крупных и мелких заемщиков банка дает основную кривую потерь по
кредитным операциям для всего портфеля банка. По этой кривой и вычисляются все
основные характеристики кредитного риска.
Важным вопросом кредитного риск
менеджмента является вопрос об вкладе каждого заемщика в капитал под риском,
аллокируемый на портфель. Зная величину части CAR, доставшуюся заемщику, можно
вычислить рентабельность его в портфеле с учетом риска (показатель RAROC), это
можно сделать зная общий CAR портфеля, имея кривую потерь, а также ожидаемые
потери и величину заемных средств на каждого. Современная методика, основанная
на Saddle point формуле, позволяет дать наиболее адекватное распределение CAR. Это
распределение особенно важно тем, что позволяет выявить заемщиков, доставляющих
портфелю наибольший риск. А наши исследования реальных банковских портфелей
показали, что почти всегда имеются заемщики, у которых уменьшение долга почти
на столько же снижает общую величину CAR портфеля. Методика распределения долей
CAR позволяет смоделировать поведение нового актива (займа) в портфеле на фоне
рисков других заемщиков. На основе этого можно давать обоснованные риск-доходом
рекомендации по лимитам и обеспечению для будущего кредита, опираясь на
требование "не портить" общие показатели риск-доход. Примерно так,
как показано на рисунке, выглядит распределение показателей рисков компаний
портфеля, наиболее рисковых заемщиков, а также кривая потерь для реального
портфеля 64 крупных заемщиков.



Модель блуждающих дефолтов (WDM)
является, по нашему мнению, наиболее адекватной для российских заемщиков,
поскольку в условиях молодого российского рынка невозможно учесть переход
компании из одного рейтинга (или PD) в другой матрицей транзакций, как
это делает, например, RiskMetrics, - в условиях недостатка статистики такую
матрицу негде взять.
В модели WDM возможность
перехода компаний в другой рейтинг (PD) учитывается одним или
минимальным количеством параметров. Модель была отработана и сопоставлена с
классической моделью CreditRisk+ и дает идентичные распределения для идентичных
начальных данных. Все допущения модели проверялись на временных рядах десятков
российских компаний и ее параметры получены из статистически достаточного
количества данных. Коротко, модель можно описать несколькими тезисами
Основной метод - симуляция
Монте-Карло значений PV (Present Value - дисконтированная стоимость портфеля)
Основной параметр симуляции - время
до дефолта заемщика, симулируется на основе функции отказа
Основной принцип симуляции - коррелированные
блуждания ln (PD) каждого заемщика портфеля один раз в квартал
Основной эффект WDM - нелинейная
зависимость PD от времени
Основные преимущества
использования WDM для портфеля российских заемщиков
учет случайных изменений PD
одним параметром
отсутствие ограничений по длине
портфеля и PD заемщиков
поддержка любой структуры cash
flow кредитных линий
статистическая и экономическая
обоснованность положений WDM на опыте российских компаний
Поквартальное случайное
блуждание PD заемщика оказывает влияние на вероятность дефолта на
заданном отрезке времени. Для небольшой длины кредита, порядка нескольких
кварталов n, PD имеет нелинейную составляющую, дающую увеличение
вероятности дефолта, по сравнению с той, когда годовое PD полагается
постоянным. Асимптотическая формула PD была получена нами. При небольших
n>1 и стандартного отклонения
квартальных изменений ln (PD)
она имеет вид

Однако на большом участке
времени
проявляется
эффект эргодичности (Рис.1), который дает не стопроцентный дефолт, что связано
с возможностью ухода годового PD в экстремально малые значения. Как,
например, компания Кока-Кола, имеющая на заре своей деятельности PD в
десятки процентов, уже живет сотню лет и вряд ли обанкротится. Использование
расчетного модуля, созданного по модели WDM, позволило провести широкий спектр
научно-практических расчетов для реальных и модельных портфелей.

Рис. 1 Вид функций отказа с
учетом блужданий и без

Результаты этих расчетов и
продолжительные наблюдения за особенностями поведения некоторых показателей
риска позволили сделать выводы, основные из которых можно перечислить:
Для модельных портфелей без
учета блужданий, корреляций и сложного cash flow результаты расчетов по методам
WDM и CreditRisk+ совпадают.
Значительное влияние на
показатели риска оказывают дисперсия скачков ln (PD) и средняя длина портфеля.
В реальных портфелях встречаются
заемщики, уменьшение долга которых приводит к значительному сокращению CAR.
Заметное влияние на риск
оказывают даты вычисления PD, устаревшие данные по PD увеличивают риск потерь.
Существенными факторами риска по
портфелю являются средние значения распределений кредитов (диверсификация) и
наличие особо рисковых компаний.
Влияние корреляции между
заемщиками заметно усиливается по мере роста средней длины портфеля.
Согласно предписаниям
Базельского комитета, каждому банку рекомендуется иметь собственную внутреннюю
систему рейтингования заемщиков, которая сможет дать количественную
характеристику каждому заемщику в виде вероятности его возможного дефолта по
долгам в течение будущего года (PD, Probability of Default). Имея PD
- характеристики заемщиков в портфеле, объем кредитных средств каждого,
находящихся под риском, длины кредитов, а также оценив по обеспечению
относительные потери в случае дефолта (LGD, Loss Given Default) можно вычислить
распределение потерь по портфелю. Для этого можно использовать, например,
известные модели CreditRisk+ или CreditMetrics. Это распределение показывает
основные характеристики риска портфеля, такие как ожидаемые потери по портфелю
(EL, Expected Loss), величину VAR (Value at Risk) портфеля при заданном уровне
надежности (99%, например), а также ShortFall и стандартное отклонение потерь. Зная
величину EL, можно оценить необходимый резервный фонд для покрытия средних
убытков, из-за проблемных активов, отчисления в который должны осуществляться с
каждого кредита, пропорционально его EL. Величина VAR, умноженная на общую
сумму активов под риском EAD (Exposure at Default) (т.е. CAR=VAR EAD), укажет
на необходимую величину собственного капитала для обеспечения требуемой
надежности.
Для оценки рентабельности
кредитной деятельности существует емкий показатель RAROC (Risk Adjusted Return
on Capital), дающий доходность капитала с учетом риска

где r - средняя валовая маржа,
EL - ожидаемые среднегодовые потери портфеля. Такой же показатель RAROCi можно
вычислить и для каждого отдельного заемщика или актива "i", зная его
вклад в VAR, доходность и риск. Очевидно, что если его RAROCi ниже общего
RAROC, то такой актив "портит" показатель доходности всего портфеля. Активы
и заемщики с наименьшим показателями RAROCi являются не рентабельными. Заемщики
с наибольшей долей в VAR являются рисковыми в портфеле. Таким образом,
руководствуясь этими показателями можно дать четкие количественные рекомендации
по лимитам, уровню обеспечения и срокам кредитования.
Метод расчета вероятности
дефолта заемщика для компаний, не котирующихся на рынке, которых большинство в
кредитном портфеле, основан на базовой формуле, устанавливающей зависимость
между финансовыми отношениями из бухгалтерских отчетов и PD. После вычисления
базового PD строится экспертная оценка, из которой следует общий балл
заемщика, корректирующий этот PD. Основные финансовые отношения x1,x2,... x7
для базовой формулы, вычисляемые из квартальных отчетов 1-ой и 2-ой формы за
последний год, следующие:
логарифм годовой выручки (log
USD);
операционная маржа = операционная
прибыль/годовая выручка;
доходность активов =
операционная прибыль/активы;
покрытие процентов =
операционная прибыль/проценты за кредиты;
структура капитала = собственный
капитал/активы;
покрытие обязательств =
свободные денежные средства/обязательства;
ликвидность = оборотные активы/
краткосрочные обязательства.
Формула для среднегодовой
вероятности дефолта берется в логитном виде, аналогично используемой в Moodyes
RISKCALC и "Норвежской модели"

в нее входят веса и параметры,
определенные аналитиками для производственных и торговых российских компаний. Формула
дает возможность по непрерывному ряду квартальных отчетов вычислять ряд PD,
который испытывает колебания в согласии с изменением финансового положения
компании. Для расчета одного значения PD необходимо представление
финансовых отчетов на протяжении предыдущего года, поскольку финансовые
отношения, вычисляемые за год, нивелируют сезонные колебания.
Вторая часть оценки PD состоит
в качественной оценке заемщика, осуществляемой опытным оценщиком банка. Она
необходима для учета дополнительных факторов, отсутствующих в базовой формуле. Специалист
отвечает на несколько десятков вопросов, касающихся бизнеса компании, которые
должны влиять на риск дефолта. Баллы за ответы суммируются с учетом весовых
коэффициентов по разделам. Прежде чем отвечать на вопросы, оценщик должен
тщательно подготовить свое мнение по максимальной имеющейся информации,
предоставленной компанией - заемщиком. После ответа на вопросы вычисляется
поправочный коэффициент к базовой оценке PD, который может увеличить или
уменьшить ее. В нейтральном случае коэффициент остается равным единице.
Имея кривую распределения
потерь, вычислив VAR при заданном уровне надежности, можно воспользоваться
методологией распределения VAR по заемщикам, предложенной в работе Martin, E. at
all (2001) и описанную в работе Н. Нaaf, D. Tasche (2002) . Согласно этой
методике сначала вычисляется saddle point (SP) распределения из уравнения

где L - случайная величина потерь
по портфелю, а E (. .) - математическое ожидание. Затем, в самом простом случае
независимости активов и отсутствия неопределенности в PD - рейтинге,
можно вычислить части CAR, приходящейся на каждый актив "i" по
простой формуле

Если SP*EAD много меньше EAD, то
CARi становится близким к ожидаемым потерям, однако для крупных активов
начинает сказываться нелинейная составляющая, и доля CAR для таких крупных
активов начинает существенно расти. Соответственно, величина выдаваемых банком
средств данному заемщику имеет двойное нелинейное действие на показатель
риск-доход. Во первых, после возможной выдачи кредита PD компании будет
расти, что уменьшит доходность, если учесть EL. Во вторых, будет возрастать CAR
и потребуется больший капитал, аллокируемый из капитала банка на данного
заемщика, и будет падать доходность капитала с учетом риска, т.е. RAROCi.
Увеличение длины кредита тоже существенно и нелинейно влияет на PD,
поскольку в будущем возможен переход компании-заемщика в другой рейтинг (блуждание
PD), что дает дополнительный вклад в сторону увеличения PD.
Будущий актив, моделируемый в
портфеле для принятия решения на Кредитном комитете (КК) по удовлетворению
кредитной заявки, повлияет на риск через изменения финансовых отношений
входящих в формулу PD. Прежде всего, при выдаче кредита X увеличатся
обязательства на X, соответственно активы тоже и появятся дополнительные
проценты за кредит X, вычисляемые очевидно для ожидаемой процентной ставки. В
рамках портфеля, полагая, что параметры его изменятся не значительно при выдаче
этого кредита (кредит достаточно мал, по сравнению с суммарной величиной
портфеля) можно вычислить величину CAR, аллокируемую на данный актив "i"
из собственного капитала и вычислить показатель RAROCi. Учитывая, что для
нового актива X EL (X) =PD (X) *LGD*X можно построить в
координатах Х-LGD кривые уровня RAROC, затем - уровня максимального CAR (оранжевый),
приемлемого для портфеля (последний можно задать "руками" или
вычислить по портфелю, например, как средний CARi среди тех, кто выше
среднего по портфелю), а также уровня максимального обеспечения, по величине
собственного капитала компании. Уровни RAROC целесообразно привязать к
показателю RAROC по портфелю, взяв их три, например: красный - RAROC-15% (критический),
синий - RAROC (приемлемый) и зеленый RAROC+15% (выгодный).
Пусть имеется крупный кредитный
портфель величиной 1272 MUS$, распределение потерь которого дано на рис.1.

Рис.1. Распределение потерь
по портфелю.
Для такого портфеля ожидаемые
средние потери 1,4%; VAR =8,9%; RAROC=39%; SP=38; граница риска для CARi - 2,3
MUS$, в портфеле более 1000 разных заемщиков. Рассмотрим моделирование новых
активов для нескольких известных компаний, каждую из которых (одну)
предполагается включить в портфель. Основные финансовые характеристики даны в
Таб.1, там же дано и PD, вычисленное по базовой формуле, без экспертной
поправки, которая от нового актива не зависит. Все данные взяты из реальных
бухгалтерских отчетов (в MUS$), открыто доступных из сервера ФКЦБ России disclosure.
fcsm.ru. Предположительно компании просят кредит под разные проценты годовых,
валовые маржи которых, как и длины кредитов указаны в таблице.
Таб.1.
Финансовые показатели компаний кандидатов в заемщики банка.
| Компания |
РАО ЕС II кв.2001 |
АЛРОСА II кв. 2001 |
Самаринвестнефть IVкв.2000 |
Камский литейный завод IV кв.2000 |
ОАО ЗИЛ II кв.2001 |
| Годовая выручка |
1260 |
2012 |
8,32 |
83,4 |
160,8 |
| Операционная прибыль |
626,2 |
539,1 |
3,43 |
2,10 |
-36,5 |
| Проценты за кредиты |
2,08 |
48,0 |
0 |
0 |
0 |
| Своб. денежные средства |
408,2 |
-35,4 |
1,26 |
0,56 |
-38,4 |
| Оборотные активы |
949,6 |
912,9 |
2,80 |
19,32 |
82,06 |
| Краткосроч. обязательства |
529,0 |
704,1 |
1,20 |
20,12 |
321,28 |
| Обязательства |
642,2 |
1047 |
1,20 |
20,12 |
341,63 |
| Собственный капитал |
5717 |
1133 |
3,93 |
64,8 |
9,44 |
| Активы |
6359 |
2181 |
5,12 |
84,9 |
351,07 |
| Годовое PD % |
0,29 |
1,75 |
2,56 |
6,8 |
51,0 |
| Длина кредита, год |
3 |
2 |
1 |
1 |
1 |
| Валовая маржа % |
3 |
3 |
5 |
5 |
10 |
Рассмотрим по отдельности каждую
из них. Карта "риск-доходности" компании РАО "ЕС России" изображена
на рис.2. Из которой видно, что величина кредита ограничена в основном кривой
максимального CAR, поскольку сумма кредита может быть достаточно велика. Видно,
что этому заемщику можно выдать кредит в 40 MUS$ без обеспечения, с минимальной
маржей (3%) на 3 года, однако, уже за кредит в 50 MUS$ необходимо потребовать
обеспечения в 20%, (1-LGD) 100%.

Рис.2. Карта "риск-доходность"
РАО "ЕС России".
Акционерной компании "АЛРОСА",
согласно карте "риск-доходности" рис.3, выдавать кредит без
обеспечения, с той же малой маржей в 3%, нельзя.

Рис.3. Карта "риск-доходность"
АО "АЛРОСА".
Необходимо потребовать
обеспечения более 40% (на синей линии RAROC), однако, даже при большем
обеспечении, увеличение размера кредита до 40-50 MUS$ встречает сопротивление
со стороны ограничения по CAR.
Карта "риск-доходность"
для нового актива в виде кредита для небольшой компании "Самаринвестнефть"
при 5% марже дана на рис.4. Видно, как разная величина кредита должна идти с
разным обеспечением, а без обеспечения может обойтись кредит порядка 1 MUS$.
Ограничение по CAR здесь не существенно, однако ограничение по обеспечению,
связанное с недостаточностью собственного капитала, не должно позволить выдаче
кредита более 7 MUS$.

Рис.4. Карта ОАО "Самаринвестнефть"
Компания "Камский литейный
завод" имеет карту "риск-доходности", представленную на рис.5 (а).
Из-за заметного PD (6,8%) необходимо обеспечение более 60%, и даже 80% для
кредита в 30 MUS$ (на год, при марже в 5%). А компания "Завод имени И.А. Лихачева",
обладая экстремальными показателями риска, с рейтингом, близким к дефолту,
может получить кредит, но весьма на "кабальных" условиях. Как видно
на ее карте рис.5 (б) при марже в 10% обеспечение должно быть около 90%, а заем
ограничен 10 MUS$ (по собственному капиталу).

Рис.5 (а). Карта "риск-доход"
компании "Камский литейный завод".

Рис.5 (б). Карта "риск-доход"
компании "ЗИЛ".
Предложенные примеры
демонстрируют разнообразие условий, по которым различные компании должны
входить в портфель так, чтобы не испортить показатели его доходности и не
привнести в портфель чрезмерный риск. Использование такой системы для принятия
решения о включении любого актива в портфель позволит существенно
усовершенствовать риск-менеджмент. Понятно, что все основано на формуле
вычисления PD по финансовым показателям и, при отсутствии статистически
приемлемой базы дефолтов на развивающемся рынке, формула может давать
искаженное абсолютное значение. Однако, предложенная методика основана на
относительной оценке доходности, а поскольку формула дает верный относительный
рейтинг компании, то и управленческие решения, принимаемые из относительных
оценок, наверняка окажутся верными.
Выполнение изложенных функций
возможно в единой системе расчета и управления кредитным риском - см., например,
EGAR CreditRisk.
Системой вычисляется PD-рейтинг
подавшего заявку кандидата в заемщики, который затем утверждается или
корректируется коллегиально Кредитным Комитетом (КК). Лимит на заемщика и
требования к обеспечению утверждаются также на КК после обсуждения результатов
моделирования риска нового актива. Если заявка содержит условия, не приемлемые
для обеспечения должного уровня риск-доходности, то риск-менеджер может
предложить заемщику иные условия кредитования. Здесь может быть предложена
масса вариантов, например, увеличить обеспечение, уменьшить заем, уменьшить
длину кредита, изменить схему возврата долга, увеличить процентную ставку (валовую
маржу) по кредиту или все в совокупности. Возможно, какое-то из предложений
удовлетворит заемщика, и будет найден лучший компромисс. В любом случае
возможности системы позволяют перейти на более высокий уровень обоснованности в
принятии решений.
Кредитный риск - риск
неисполнения дебитором своих обязательств перед поставщиком товаров или
провайдером услуг, т.е. риск возникновения дефолта дебитора. В рамках данного
определения носителями кредитного риска являются в первую очередь сделки
прямого и не прямого кредитования (прямой риск) и сделки купли/продажи активов
без предоплаты со стороны покупателя.
Более широкое представление о
кредитном риске определяет его, как риск потерь, связанных с ухудшением
состояния дебитора, контрагента по сделке, эмитента ценных бумаг. Под
ухудшением состояния (рейтинга) понимается, как ухудшение финансового состояния
дебитора, так и ухудшение деловой репутации, позиций среди конкурентов в
регионе, отрасли, снижение способности успешно завершить некий конкретный
проект и т.д., т.е. все факторы способные повлиять платежеспособность дебитора.
Потери в данном случае могут быть также как прямые - невозврат кредита,
непоставка средств, так и косвенные - снижение стоимости ценных бумаг эмитента
(например, векселей), необходимость увеличить объем резервов под кредит и т.д.
В основе процедур оценки
кредитных рисков лежат следующие понятия:
вероятность дефолта - вероятность,
с которой дебитор в течение некоторого срока может оказаться в состоянии
неплатежеспособности;
кредитный рейтинг - классификация
дебиторов организации, контрагентов эмитентов ценных бумаг или операций с точки
зрения их кредитной надежности;
кредитная миграция - изменение
кредитного рейтинга дебитора, контрагента, эмитента, операции;
сумма, подверженная кредитному
риску - общий объем обязательств дебитора, контрагента перед организацией,
сумма вложений в ценные бумаги эмитента и т.д.;
уровень потерь в случае дефолта
- доля от суммы, подверженной кредитному риску, которая может быть потеряна в
случае дефолта.
Собственно оценка кредитного
риска может производиться с двух позиций оценка кредитного риска отдельной
операции, портфеля операций.
Базовая оценка (без учета
кредитной миграции) кредитного риска отдельной операции может производиться с
различным уровнем детализации: оценка суммы, подверженной риску; оценка
вероятности дефолта; оценка уровня потерь в случае дефолта; оценка ожидаемых и
неожиданных потерь.
Двумя основными конечными
оценками кредитного риска являются - оджидаемые и неожиданные потери. При
классическом подходе к управлению кредитными рисками покрытие ожидаемых потерь
производится за счёт формируемых резервов, покрытие неожиданных потерь по
кредитным рискам должно производиться за счёт собственных средств (капитала) организации.
Кредитный риск в торговых
операциях на условиях отсрочки платежа можно исключить с помощью факторинга. Факторинговая
компания выдает поручительство за дебиторов в размере 90% от суммы поставки на
срок отсрочки платежа, и в том случае, если дебитор по каким-то причинам не
может в срок произвести оплату, факторинговая компания выплачивает
финансирование в размере ранее выданного поручительства. Другой инструмент - это
страхование кредитного риска в страховой компании. Объектом страхования
являются имущественные интересы Страхователя, связанные с возможностью наступления
убытков в результате неисполнения (ненадлежащего исполнения) договорных
обязательств Контрагентом (должником) Страхователя. Страховым случаем по
страхованию торговых кредитов является возникновение убытков у Страхователя в
результате несостоятельности (банкротства) Контрагента Страхователя; неисполнения
обязательств Контрагентом Страхователя вследствие форс-мажорных обстоятельств; длительной
просрочки платежа со стороны Контрагента.
Сравнение
факторинга и страхования, как инструментов управения кредитными рисками
| критерий для сравнения |
факторинг |
страхование |
| процент возмещения |
90% от суммы поставки |
70-90% от суммы поставки |
| процент передаваемой дебиторской задолженности |
исключения возможны |
исключения крайне нежелательны |
| срок ожидания по выплате |
120 дней |
от 150 до 270 дней |
| день выплаты |
в последние 3 дня срока ожидания |
от 10 дней до месяца после истечения срока ожидания |
| предоплата страховой премии |
да |
нет |
1. Общие положения.
1.1 Положение об организации
управления кредитным риском в Банке “X” (далее - Положение) разработано на
основании Положения Банка России от 16 декабря 2003 г. № 242-П“Об организации
внутреннего контроля в кредитных организациях и банковских группах".
1.2 Настоящее Положение
определяет основные принципы управления кредитным риском с учетом отечественной
и международной банковской практики, предусматривающие в том числе:
цели и задачи управления
кредитным риском с учетом приоритетных направлений деятельности Банка;
основные методы выявления,
оценки, мониторинга (постоянного наблюдения) кредитного риска;
основные методы контроля и
минимизации кредитного риска (принятие мер по поддержанию риска на уровне, не
угрожающем интересам кредиторов и вкладчиков, устойчивости Банка);
порядок информационного
обеспечения по вопросам кредитного риска (порядок обмена информацией между
подразделениями и служащими, порядок и периодичность представления отчетной и
иной информации по вопросам управления кредитным риском);
распределение полномочий и
ответственности между Советом директоров, исполнительными органами,
подразделениями и служащими Банка в части реализации основных принципов управления
кредитным риском.
1.3 В настоящих Правилах
используются следующие основные понятия:
Кредитный риск - риск
возникновения у Банка убытков вследствие неисполнения, несвоевременного либо
неполного исполнения должником финансовых обязательств перед Банком в
соответствии с условиями договора.
К указанным финансовым
обязательствам могут относиться обязательства должника по:
полученным кредитам, в том числе
межбанковским кредитам (депозитам, займам), прочим размещенным средствам,
включая требования на получение (возврат) долговых ценных бумаг, акций и
векселей, предоставленных по договору займа;
учтенным Банком векселям;
банковским гарантиям, по которым
уплаченные Банком денежные средства не возмещены принципалом;
сделкам финансирования под
уступку денежного требования (факторинг);
приобретенным Банком по сделке (уступка
требования) правам (требованиям);
приобретенным Банком на
вторичном рынке закладным;
сделкам продажи (покупки) финансовых
активов с отсрочкой платежа (поставки финансовых активов);
оплаченным Банком аккредитивам (в
том числе непокрытым аккредитивам);
возврату денежных средств (активов)
по сделке по приобретению финансовых активов с обязательством их обратного
отчуждения;
требованиям Банка (лизингодателя)
по операциям финансовой аренды (лизинга).
Связанное кредитование - предоставление
кредитов отдельным физическим или юридическим лицам, обладающим реальными
возможностями воздействовать на характер принимаемых Банком решений о выдаче
кредитов и об условиях кредитования, а также лицам, на принятие решения
которыми может оказывать влияние Банк. При кредитовании связанных лиц кредитный
риск может возрастать вследствие несоблюдения или недостаточного соблюдения
установленных Банком правил, порядков и процедур рассмотрения обращений на
получение кредитов, определения кредитоспособности заемщика (ов) и принятия
решений о предоставлении кредитов.
Концентрация кредитного риска
- предоставление крупных кредитов отдельному заемщику или группе связанных
заемщиков, а также в результате принадлежности должников Банка либо к отдельным
отраслям экономики, либо к географическим регионам или при наличии ряда иных
обязательств, которые делают их уязвимыми к одним и тем же экономическим
факторам.
Кредитный портфель - совокупность
всех кредитных операций, осуществляемых Банком с целью получения прибыли. Он
может быть представлен объемами кредитов, предоставленных Банком за
определенный период времени или остатками ссудной задолженности Банка на
определенную отчетную дату. В структуре баланса Банка кредитный портфель
рассматривается как единое целое и составляет часть активов Банка, которая
имеет свой уровень доходности и соответствующий уровень риска.
Риск кредитного портфеля
- средневзвешенная величина рисков относительно всех соглашений кредитного
портфеля, где рычагами выступают части сумм соглашений в общем объеме
кредитного портфеля. Фактическая величина уровня совокупного кредитного риска
не зависит от Банка, однако с учетом основных особенностей управления
рискованностью кредитного портфеля Банк может контролировать ее.
Регулирование кредитного
портфельного риска Банка - комплекс мероприятий, направленный на
минимизацию данного риска и нейтрализацию последствий реализации риска.
Организационно-контрольный
отдел - внутреннее структурное подразделение Банка, отвечающее за
управление банковскими рисками. Организационно-контрольный отдел независим от
деятельности иных подразделений Банка, осуществляющих банковские операции и
другие сделки и составление отчетности.
2. Принципы,
цели и задачи управления кредитным риском.
2.1 Управление риском кредитного
портфеля Банка основываться на следующих принципах:
комплексный характер оценки -
охватывает все стороны кредитной банковской деятельности, с целью установления
истинного уровня кредитного риска Банка и выработки необходимых мер по его
регулированию;
системность экономических и
неэкономических показателей кредитоспособности заемщика, определяющих степень
риска. При комплексной оценке риска кредитного портфеля необходимо
комбинировать финансовые показатели анализа кредитоспособности заемщика с
информацией полученной во время индивидуальной беседы с потенциальным заемщиком;
принцип динамизма оценки
факторов риска в предшествующих периодах и прогнозирование их влияния на
перспективу, адекватность реакции. Суть данного принципа сводится к тому, что
Банк должен быстро реагировать на внешние и внутренние изменения, которые
выражаются в увеличении риска кредитного портфеля, и вовремя применить
необходимые методы его регулирования;
оценка риска кредитного портфеля
Банка должна быть объективной, конкретной и точной, т.е. базироваться на
достоверной информации, а выводы и рекомендации по повышению качества
кредитного портфеля должны обосновываться точными аналитическими расчетами.
2.2 Основываясь на указанных
принципах, должна достигаться основная цель управления кредитным риском - повышение
качества кредитного портфеля Банка путем минимизации его риска.
2.3 Цель управления кредитным
риском Банка достигается на основе системного, комплексного подхода, который
подразумевает решение следующих задач:
получение оперативных и
объективных сведений о состоянии и размере кредитного риска;
качественная и количественная
оценка (измерение) кредитного риска;
установление взаимосвязей между
отдельными видами рисков с целью оценки мероприятий, планируемых для
ограничения воздействия одного вида риска на рост или уменьшение уровня других
рисков;
создание системы управления
кредитным риском на стадии возникновения негативной тенденции, а также системы
быстрого и адекватного реагирования, направленной на предотвращение достижения
кредитным риском критически значительных для Банка размеров (минимизацию риска).
2.4 Минимизация риска (иначе
называемая регулированием риска) - это принятие мер по поддержанию риска на
уровне, не угрожающем интересам кредиторов и вкладчиков, устойчивости Банка. Этот
процесс управления включает в себя: прогнозирование рисков, определение их
вероятных размеров и последствий, разработку и реализацию мероприятий по
предотвращению или минимизации связанных с ними потерь. Для принятия
эффективных управленческих решений нужно наиболее точно оценить и
спрогнозировать уровень кредитного портфельного риска, так как при максимально
возможном определении и прогнозировании уровня риска кредитного портфеля Банк
может применить адекватные методы регулирования с целью минимизации такого
риска, и соответственно повысить качество кредитного портфеля Банка.
2.5 Для достижения поставленной
цели необходимо решить следующие задачи:
определить степени риска
кредитных операций, входящих в состав кредитного портфеля Банка;
прогнозировать уровень риска
кредитного портфеля Банка с целью принятия адекватных методов его регулирования;
сократить в структуре кредитного
портфеля Банка доли нестандартных кредитов в пользу стандартных путем
разработки эффективного механизма регулирования риска кредитного портфеля Банка;
снизить рискованность кредитного
портфеля Банка и поддерживать приемлемые соотношения прибыльности с
показателями безопасности и ликвидности в процессе управления активами и
пассивами Банка.
3. Причины
возникновения кредитного риска.
3.1 Возникновение кредитного
риска может быть обусловлено многими причинами как на уровне отдельной ссуды,
так и на уровне кредитного портфеля Банка.
3.1.1 К причинам возникновения
кредитного риска на уровне отдельной ссуды относятся:
неспособность заемщика к
созданию денежного потока, необходимого для возврата и обслуживания долга;
риск ликвидности залога;
риск невыполнения обязательств
третьими лицами, ответственными по ссуде;
моральные и этические
характеристики заемщика.
3.1.2 К причинам возникновения
кредитного риска на уровне кредитного портфеля Банка относятся:
чрезмерная концентрация кредитов
в одном из секторов экономики;
чрезмерная диверсификация по
многим отраслям экономики при отсутствии у банка специалистов, знающих их
особенности;
изменение курсов валют - для
кредитов, выданных в иностранной валюте;
несовершенная структура
кредитного портфеля, сформированного с учетом потребностей клиентов, а не
самого Банка;
уровень квалификации персонала.
Формируя кредитный портфель,
следует придерживаться определенного уровня концентрации кредитных операций,
поскольку Банк работает в конкретном сегменте рынка и специализируется на
обслуживании определенной клиентуры. Одновременно чрезмерная концентрация
значительно повышает уровень кредитного риска. При этом Банку не следует
концентрировать свою деятельность в малоизученных, новых, нетрадиционных сферах.
Диверсификация является понятием
противоположным по экономическому содержанию концентрации. Диверсификация
требует профессионального управления и глубоких знаний рынка. Поэтому
чрезмерная диверсификация приводит не к уменьшению, а к росту кредитного риска
Банка.
Значительное влияние на
кредитный риск Банка оказывает изменение курсов валют, который возникает в
процессе предоставления кредитов в иностранной валюте, купли-продажи валют,
конверсионных операций.
3.2 Приведенные классификации
факторов возникновения кредитного риска показывают зависимость Банка от
результатов деятельности заемщика и от организации качества проведения анализа
потенциальных причин возникновения нежелательных последствий. Но так как
возможности управления внешними факторами ограничены, то основные рычаги
регулирования риска кредитного портфеля лежат в сфере внутренней политики Банка.
4. Этапы
и методы управления кредитным риском.
4.1 Управление кредитным риском
состоит из следующих этапов:
оценка кредитного риска;
мониторинг кредитного риска;
регулирование кредитного риска.
4.2 Цели и задачи управления
кредитным риском достигаются при соблюдении определенных принципов следующими
методами:
система пограничных значений (лимитов);
система полномочий и принятия
решений;
информационная система;
система мониторинга;
система контроля.
5. Оценка
кредитного риска.
5.1. Важнейшим вопросом для
Банка является оценка и регулирование рискованности кредитного портфеля, как
одного из основных направлений эффективного управления кредитной деятельностью
Банка, а главная цель процесса управления кредитным портфелем - обеспечение
максимальной доходности при определенном уровне риска.
5.2. Методология оценки риска
кредитного портфеля банка предусматривает:
качественный анализ совокупного
кредитного риска Банка. Заключается в идентификации факторов риска (выявлении
его источников) и требует глубоких знаний, опыта и интуиции в этой сфере
деятельности. Говоря о качественной оценке кредитного портфеля Банка, следует
также учитывать наличие связанного кредитования и концентрацию кредитного риска;
количественную оценку риска
кредитного портфеля Банка. Предполагает определение уровня (степени) риска. Степень
кредитного риска является количественным выражением оценки Банком
кредитоспособности заемщиков и кредитных операций.
5.3. Качественная и
количественная оценка кредитного портфельного риска проводится одновременно, с
использованием таких методов оценки риска кредитного портфеля Банка как: аналитический,
статистический и коэффициентный.
5.4. Аналитический метод представляет
собой оценку возможных потерь (уровня риска) Банка и осуществляется в
соответствии с Положением Банка России от 26.03.2004 г. № 254-П “О порядке
формирования кредитными организациями резервов на возможные потери по ссудам,
по ссудной и приравненной к ней задолженности" (далее - Положение ЦБ РФ).
Методика оценки риска кредитного
портфеля банка в соответствии с Положением ЦБ РФ предусматривает оценку уровня
риска по каждой кредитной операции с учетом финансового состояния заемщика,
обслуживания им кредитной задолженности и уровня ее обеспечения, после чего,
производится классификация ссуды в одну из пяти категорий качества:
I (высшая) категория качества (стандартные
ссуды);
II категория качества (нестандартные
ссуды);
III категория качества (сомнительные
ссуды);
IV категория качества (проблемные
ссуды);
V (низшая) категория качества (безнадежные
ссуды).
Классификация Банком ссуд
производится согласно “Положению о порядке формирования Банком резервов на
возможные потери по ссудам, по ссудной и приравненной к ней задолженности",
а оценка финансового состояния заемщиков производится согласно “Правилам оценки
финансового положения заемщиков".
5.5. Статистический метод
оценки величины риска кредитного портфеля банка. Статистические величины
показывают значимость каждой характеристики для определения уровня риска.
Оценка кредитного риска при
помощи методов статистического анализа предполагает, что совокупные воздействия
рисков на кредитный портфель отражаются на его качестве. Такое утверждение дает
основание трактовать вариацию кредитных рисков относительно соглашений,
составляющих кредитный портфель Банка, как обобщающий показатель рискованности
кредитной деятельности.
Сущность статистического метода
заключается в следующем:
анализ статистики кредитных
рисков относительно соглашений, составляющих кредитный портфель Банка;
характеристика меры
распыленности кредитных рисков по ссудному портфелю;
установление величины и частоты
возникновения кредитного риска.
Основными инструментами
статистического метода расчета и оценки риска кредитного портфеля Банка
являются известные из общей теории: дисперсия, вариация, стандартное
отклонение, коэффициент вариации и асимметрии.
Вероятность реализации
кредитного риска Банка характеризуется распределением вероятностей. Основным
статистическим показателем определения такой вероятности (уровня риска) выступает
стандартное отклонение или коэффициент вариации. Расчет средневзвешенного
кредитного портфельного риска, его дисперсии и среднеквадратического отклонения
позволяет отследить уровень диверсификации кредитного портфеля Банка. Использование
таких статистических величин, как положительная и отрицательная семивариация,
положительное и отрицательное среднее семиквадратическое отклонение, а также
расчет коэффициента асимметрии по кредитным рискам относительно соглашений,
составляющих кредитный портфель, дает возможность определить для Банка частоту
возникновения убытков в зависимости от количества случаев наступления
соответствующих потерь и общего числа рисковых случаев в статистических данных.
Общий объем потерь от кредитных
операций можно оценить как совокупную сумму обязательств заемщика (или группы) перед
Банком, умноженную на вероятность потерь при проведении кредитных операций. Под
вероятностью потерь от проведения кредитных операций понимается средняя за
предшествующий трехлетний период деятельности Банка доля невозврата кредитов и
невыполнения прочих обязательств клиентами (или их группами), имеющими похожие
характеристики и показатели кредитоспособности.
Статистический метод оценки
кредитного портфельного риска Банка строится на анализе статистических данных,
связанных с финансовым состоянием заемщиков за определенный период времени. Такое
исследование является основой для сравнения фактической частоты возникновения
банковских потерь с прогнозными оценками.
5.6. Третий метод оценки
кредитного портфельного риска - коэффициентный. Сущность метода
заключается в расчете относительных показателей, позволяющих оценить кредитные
риски, входящие в состав кредитного портфеля Банка, расчетные значения которых
сравниваются с нормативными критериями оценки, и на этой основе качественно и
количественно определяется уровень совокупного кредитного риска Банка.
Сложность применения метода
коэффициентов при оценке совокупного риска кредитного портфеля Банка возникает
в момент сравнения расчетных показателей с нормативными значениями. Поскольку
значение одних рассчитанных показателей может соответствовать нормативным
критериям, а другие - нет, в данном случае, необходимо выделить обобщающий
показатель определения уровня риска.
5.7. Комплексная оценка риска
кредитного портфеля банка предусматривает одновременное проведение
количественной и качественной оценки кредитного риска.
Методология оценки степени риска
кредитного портфеля Банка. Это математическая процедура для структуризации и
иерархического предоставления множества показателей, которые определяют
фактический уровень риска и предоставляют возможность выбрать эффективные
методы его регулирования. Процесс построения комплексной системы оценки риска
кредитного портфеля Банка начинается с формирования иерархической структуры
этих интегральных показателей, которая представлена в Приложении 1.
Возможная (ожидаемая) величина убытков
по кредитному портфелю - это важнейшая
характеристика кредитного риска, так как служит центром распределения его
вероятностей. Смысл данного показателя заключается в том, что он показывает
наиболее правдоподобное значение уровня риска и определяется
следующим образом:

где Si - сумма
предоставленных кредитов і-ой группе контрагентов, і = 1, n;
pi (c) - кредитный
риск относительно і-ой группы контрагентов.
Данный показатель является
обобщенной количественной характеристикой, которая не позволяет принимать
решение по поводу применения основных методов регулирования риска кредитного
портфеля (диверсификации или концентрации). Однако для принятия решения
необходимо определить меру изменчивости риска кредитного портфеля. Для этого
применяют две близко связанные категории: дисперсию и среднеквадратическое
отклонение. Для их расчета необходимо определить средневзвешенный риск
кредитного портфеля Банка по следующей формуле:

Приведенный показатель является
базисной величиной для расчета вариации кредитного риска относительно
соглашений по і-ой группе контрагентов, которые составляют кредитный портфель
Банка.
Дисперсию кредитного риска относительно
соглашений по і-ой группе контрагентов, которые составляют кредитный портфель
Банка, можно определить следующим образом:
,где

Приведенный показатель отражает
вариацию признака по всей исследуемой совокупности под влиянием всех факторов,
обусловивших эту вариацию.
Результаты анализа более
наглядны, если показатель разброса случайной величины выражен в тех же единицах
измерения, что и сама случайная величина. Для этих целей используют
среднеквадратичное отклонение кредитного риска относительно соглашений по і-ой
группе контрагентов, которые составляют кредитный портфель Банка:

Расчет этого показателя
позволяет определить тесноту связи результативного и группировочного факторного
признака. Оно имеет следующие пределы: 0<
<1.
Если
= 0, то группировочный признак не влияет на
результативный, а если
= 1 -
результативный признак изменяется только в зависимости от группировочного.
Дисперсия и среднеквадратичное
отклонение характеризуют меру распыленности кредитного риска относительно
соглашений кредитного портфеля и средневзвешенного кредитного портфельного
риска. Эти показатели отображают диверсификацию кредитного портфеля
относительно риска. Чем больше значения дисперсии и среднеквадратичного
отклонения, тем более диверсифицированным с точки зрения риска является
кредитный портфель Банка. Дисперсия и среднеквадратичное отклонение показывают
меру рассредоточения кредитного риска относительно соглашений кредитного
портфеля как в лучшую сторону (их значения меньше средневзвешенного кредитного
портфельного риска), так и в худшую сторону (их значения больше, чем
средневзвешенный кредитный портфельный риск). Поэтому указанные показатели не
дают возможности однозначно оценить степень рискованности кредитного портфеля. Для
этого целесообразнее применить такой показатель риска как семивариация.
В зависимости от результата
отклонения кредитного риска относительно соглашений кредитного портфеля от
средневзвешенного кредитного риска семивариация риска по кредитным соглашениям
может быть положительной или отрицательной.
Положительную семивариацию
кредитного риска относительно соглашений по і-ой группе контрагентов, которые
составляют кредитный портфель Банка, можно определить так:

где n - объем кредитного
портфеля (количество соглашений);
ti - положительное отклонение
кредитного риска относительно соглашений по і-ой группе контрагентов,
составляющих кредитный портфель Банка, от средневзвешенного кредитного риска,
то есть:

Отрицательная семивариация
кредитного риска относительно соглашений по і-ой группе контрагентов, которые
составляют кредитный портфель Банка определяется следующим образом:

где n - объем кредитного
портфеля (количество соглашений по всем группам клиентов Банка);
li - отрицательное
отклонение кредитного риска относительно соглашений по і-ой группе
контрагентов, составляющих кредитный портфель Банка, от средневзвешенного
кредитного риска, следовательно:

Также следует определить
положительное и отрицательное среднее семиквадратическое отклонение кредитного
риска относительно соглашений по і-ой группе контрагентов, составляющих
кредитный портфель Банка. Для этого воспользуемся формулами:

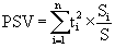
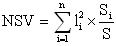
где psv - положительное
среднее семиквадратическое отклонение кредитного риска относительно
соглашений по і-ой группе контрагентов, составляющих кредитный портфель Банка;
nsv - отрицательное
среднее семиквадратическое отклонение кредитного риска относительно соглашений
по і-ой группе контрагентов, составляющих кредитный портфель Банка.
Чем больше положительная
семивариация (положительное среднее семиквадратическое отклонение) кредитного
риска относительно соглашений кредитного портфеля и чем меньше их отрицательная
семивариация (отрицательное среднее семиквадратическое отклонение), тем ниже
степень риска кредитного портфеля Банка.
Использование
в процессе анализа только двух параметров (средней и стандартного отклонения) может
приводить к неверным выводам. Стандартное отклонение неадекватно характеризует
риск при смещенных распределениях, т.к игнорируется, что большая часть
изменчивости приходится на “хорошую” (правую) или “плохую" (левую) сторону
ожидаемой доходности. Поэтому при анализе асимметричных распределений
используют дополнительный параметр - коэффициент асимметрии кредитного
риска относительно соглашений по і-ой группе контрагентов, составляющих
кредитный портфель Банка. Он представляет собой
нормированную величину третьего центрального момента и определяется по формуле:

Чем меньше коэффициент
асимметрии (а), тем меньше степень риска кредитного портфеля, поскольку
неблагоприятные отклонения кредитного риска относительно соглашений кредитного
портфеля от средневзвешенного кредитного портфельного риска с относительно
большим весом расположенные справа наиболее близки к средневзвешенному
кредитному портфельному риску (меньше отклоняется от него в неблагоприятную
сторону), а соответствующие (благоприятные) значения кредитного риска
относительно соглашений кредитного портфеля значительно отдалены от
средневзвешенного портфельного риска.
Значение риска кредитного
портфеля Банка можно определить при помощи относительных величин, которые
выражают степень неопределенности во время реализации управленческих решений,
отображают структуру кредитного портфеля, выступая качественными
характеристиками кредитного риска Банка.
В относительном выражении
степень риска кредитного портфеля Банка можно определить следующим образом:

где К1 -
волатильность кредитного портфельного риска;
К2 - удельный вес
ссудной задолженности, не являющейся стандартной, в совокупном объеме
предоставленных кредитов;
К21 - удельный вес
нестандартных ссуд в совокупном объеме кредитного портфеля;
К22 - удельный вес
сомнительных ссуд в совокупном объеме кредитного портфеля;
К23 - удельный вес
проблемных ссуд в кредитном портфеле;
К24 -- удельный вес
безнадежных ссуд в кредитном портфеле.
Показателем, характеризующим
тенденцию изменчивости уровня риска на заданном временном интервале, является
волатильность кредитного портфельного риска, которая определяется следующим
образом:

Волатильность совокупного
кредитного риска. Показатель основан на стандартном отклонении кредитного риска
относительно соглашений по і-ой группе контрагентов, которые составляют
кредитный портфель Банка. Использование данного показателя при сравнении
степени риска кредитного портфеля Банка в различные периоды проведения оценки
дает возможность определить риск диверсификации (концентрации).
Показателем, характеризующим
качество управления кредитным портфелем Банка К2, является удельный
вес нестандартной ссудной задолженности в совокупном объеме предоставленных
кредитов. Данный коэффициент определяется путем суммирования показателей К21,
К22, К23, К24, расчет которых необходим при
выявлении факторов изменения доли ссудной задолженности, не являющейся
стандартной.
Одним из первых показателей,
характеризующих качество кредитного портфеля Банка, является удельный вес
нестандартных ссуд в совокупном объеме кредитного портфеля:

Снижение приведенного коэффициента
дает сигнал Банку о необходимости повысить эффективность контроля за финансовым
состоянием контрагентов, которым принадлежат наиболее крупные кредиты.
Следующим шагом при расчете доли
просроченной задолженности в объеме кредитного портфеля Банка является
определение удельного веса сомнительных ссуд в совокупном объеме кредитного
портфеля Банка:

Для Банка важно контролировать
объемы кредитных сделок с клиентами, испытывающими определенные специфические
трудности. С этой целью следует определить удельный вес проблемных ссуд в
кредитном портфеле.

Значение данного показателя не
должно превышать 5% чистого кредитного риска Банка.
Наиболее существенное влияние на
качество кредитного портфеля Банка оказывает удельный вес безнадежных ссуд, так
как риск по таким операциям равен сумме общей задолженности.

Значение К24 должно
стремиться к нулевой отметке. Высокое значение данного показателя может
негативно отразиться на ликвидности Банка.
По результатам проведенного
комплексного анализа совокупного кредитного риска Банка можно определить его
степень следующим образом:
| Качественная оценка риска |
Количественная оценка риска |
| Допустимый уровень риска |
0-20% |
| Высокий уровень риска |
Более 21% |
Под кредитным портфелем с
допустимым уровнем кредитного риска следует понимать такой кредитный портфель,
который обеспечивает прибыльность Банку даже при наступлении всех возможных
рисков.
Кредитный портфель с высоким
уровнем характеризуется наличием такого уровня риска по кредитным операциям,
реализация которого в полном объеме угрожает в целом функционированию Банка, т.е.
в случае реализации всех рисков собственных ресурсов Банка окажется
недостаточно для их покрытия, что может привести к банкротству Банка.
5.8. Оценка кредитного риска
осуществляется Организационно-контрольным отделом Банка на постоянной основе. Сотрудник
Организационно-контрольного отдела с использованием информационной банковской
системы “Мониторинг банковских рисков” ежемесячно формирует отчет об уровне
кредитного риска Банка по форме Приложения 2 к настоящему Положению и
предоставляет его Правлению Банка.
6. Мониторинг
кредитного риска.
6.1. В целях предупреждения
возможности повышения уровня кредитного риска Банк проводит мониторинг
кредитного риска.
6.2. Мониторинг кредитного риска
осуществляется как в разрезе отдельного заемщика, так и в целом по кредитному
портфелю Банка.
6.3. Мониторинг кредитного риска
в разрезе отдельного заемщика на постоянной основе осуществляют сотрудники
кредитующего подразделения Банка в соответствии с “Положением о порядке
формирования Банком резервов на возможные потери по ссудам, по ссудной и
приравненной к ней задолженности".
6.4. Мониторинг кредитного риска
в целом по кредитному портфелю Банка на постоянной основе осуществляет
сотрудник Организационно-контрольного отдела.
6.5. В целях мониторинга
кредитного риска по кредитному портфелю Банк использует систему индикаторов
уровня кредитного риска - показатели, которые теоретически или эмпирически
связаны с уровнем кредитного риска, принимаемого Банком. В качестве индикаторов
уровня кредитного риска по кредитному портфелю используются:
Пкс - показатель
качества ссуд, который представляет собой удельный вес безнадежных ссуд в
общем объеме ссуд и рассчитывается по следующей формуле:

где СЗ - ссуды, ссудная и
приравненная к ней задолженность, определенные в соответствии с Положением ЦБ
РФ; Сбн - безнадежные ссуды, определенные в соответствии с Положением ЦБ РФ; Пка
- показатель качества активов, который определяется как процентное
отношение непокрытых резервами активов, резервы под которые составляют не менее
20 процентов, к собственным средствам (капиталу) и рассчитывается по следующей
формуле:

где А20 - активы (включая
положительные разницы между номинальными стоимостями срочных сделок на покупку
и их рыночными стоимостями и (или) между стоимостями срочных сделок на продажу
и их номинальными стоимостями), под которые в соответствии с Положением ЦБ РФ,
банки обязаны формировать резервы в размере не менее 20 процентов;
Р20 - резервы, фактически
сформированные под А20 в соответствии с Положением ЦБ РФ.
Ппс - показатель
доли просроченных ссуд представляет собой удельный вес просроченных ссуд в
общем объеме ссуд и рассчитывается по следующей формуле:

где СЗпр - просроченные свыше 30
календарных дней ссуды, определенные в соответствии с Положением ЦБ РФ.
Прпс - показатель
размера резервов на потери по ссудам определяется как процентное отношение
фактически сформированного резерва на потери по ссудам (далее - РВПС) (за
исключением резерва, включаемого в расчет собственных средств (капитала)) к
общему объему ссуд и рассчитывается по следующей формуле:

где РВПСф - фактически
сформированный РВПС в соответствии с Положением ЦБ РФ;
РВПСк - фактически
сформированный РВПС, включенный в соответствии с Положением Банка России №
215-П в расчет собственных средств (капитала).
ПН6 - показатель
максимального размера риска на одного заемщика или группу связанных заемщиков
определяется в порядке, установленном для расчета обязательного норматива Н6
“Максимальный размер риска на заемщика или группу связанных заемщиков" в
соответствии с Инструкцией ЦБ РФ № 110-И.
ПН7 - показатель
концентрации крупных кредитных рисков определяется в порядке, установленном
для расчета обязательного норматива Н7 "Максимальный размер крупных
кредитных рисков" в соответствии с Инструкцией ЦБ РФ № 110-И.
ПН9.1 - показатель
концентрации кредитных рисков на акционеров определяется в порядке,
установленном для расчета обязательного норматива Н9.1 "Максимальный
размер кредитов, банковских гарантий и поручительств, предоставленных банком
своим участникам (акционерам)" в соответствии с Инструкцией ЦБ РФ № 110-И
ПН10.1 - показатель
концентрации кредитных рисков на инсайдеров определяется в порядке,
установленном для расчета обязательного норматива Н10.1 "Совокупная
величина риска по инсайдерам банка" в соответствии с Инструкцией ЦБ РФ №
110-И.
Для каждого индикатора
установлены лимиты (пороговые значения), что позволит обеспечить выявление
значимых для Банка кредитных рисков и своевременное адекватное воздействие на
них (Приложение 5).
6.6. Мониторинг кредитного риска
осуществляется на регулярной основе путем ежедневного изучения системы
индикаторов кредитного риска. Руководители структурных подразделений Банка при
выявлении изменений индикаторов кредитного риска незамедлительно информируют об
этом Организационно-контрольный отдел Банка. Сотрудник
Организационно-контрольного отдела на основании сведений, полученных от
структурных подразделений Банка, ежемесячно в информационной банковской системе
“Мониторинг банковских рисков” формирует отчет “Мониторинг кредитного риска"
(Приложение 4) и передает его в Правление Банка. В случае превышения в отчетном
периоде каким-либо из индикаторов кредитного риска установленного для него
лимита, сотрудник Организационно-контрольного отдела незамедлительно
информирует об этом Правление Банка.
7. Система
полномочий и принятия решений по управлению кредитным риском.
Система полномочий и принятия
решений призвана обеспечить надлежащее функционирование управления кредитным
риском, придавая ему требуемую гибкость в сочетании с устойчивостью на каждом
уровне управления. В Банке установлен следующий порядок участия органов
управления и структурных подразделений в управлении кредитным риском:
7.1. Полномочия Совета директоров
Банка:
утверждение внутренних
документов Банка, регулирующих основные принципы управления банковскими рисками
(в том числе кредитным риском), а также утверждение дополнений и изменений к
ним;
обеспечение создания
организационной структуры Банка, соответствующей основным принципам управления
кредитным риском;
осуществление контроля за
полнотой и периодичностью проверок Службой внутреннего контроля соблюдения
основных принципов управления кредитным риском отдельными подразделениями и
кредитной организацией в целом;
осуществление контроля за
полнотой и периодичностью предоставляемых Организационно-контрольным отделом
отчетов об оценке уровня кредитного риска;
утверждение мер по обеспечению
непрерывности финансово-хозяйственной деятельности при совершении банковских
операций и других сделок, включая планы действий на случай непредвиденных
обстоятельств (планы по обеспечению непрерывности и (или) восстановлению
финансово-хозяйственной деятельности);
оценка эффективности управления
кредитным риском;
контроль за деятельностью
исполнительных органов Банка по управлению кредитным риском.
7.2. Полномочия Правления Банка:
общее управление кредитным
риском;
рассмотрение и утверждение
внутренних документов и изменений к ним, определяющих правила и процедуры
управления кредитным риском (положений, порядков, правил, методик, регламентов,
тарифов и т.п.), за исключением внутренних документов, утверждение которых
отнесено Уставом к компетенции Общего собрания акционеров и Совета директоров
Банка;
утверждение лимитов показателей,
используемых для мониторинга кредитного риска;
распределение полномочий и
ответственности по управлению кредитным риском между руководителями
подразделений различных уровней, обеспечение их необходимыми ресурсами,
установление порядка взаимодействия и представления отчетности.
7.3. Полномочия руководителя
Службы внутреннего контроля:
определение соответствия
действий и операций, осуществляемых руководством и служащими Банка, требованиям
действующего законодательства, нормативных актов, внутренних документов Банка,
определяющих проводимую Банком политику, процедуры принятия и реализации
решений, организации учета и отчетности, включая внутреннюю информацию о
принимаемых решениях, проводимых операциях (заключаемых сделках), результатах
анализа финансового положения и рисках банковской деятельности;
контроль за соблюдением процедур
по управлению кредитным риском, предусмотренных настоящим Положением;
участие в разработке внутренних
документов Банка с целью проверки соответствия их содержания требованиям законодательства
и системы внутреннего контроля, разработанной в Банке.
7.4. Полномочия руководителей
структурных подразделений Банка:
контроль за соблюдением
установленных лимитов по проводимым банковским операциям и другим сделкам;
ежедневное информирование
Организационно-контрольного отдела об изменении показателей, используемых для
мониторинга кредитного риска.
7.5. Полномочия
Организационно-контрольного отдела:
сбор и введение в информационную
банковскую систему “Мониторинг банковских рисков” информации о состоянии
кредитного риска;
оценка кредитного риска;
контроль за соблюдением
установленных лимитов показателей, используемых для мониторинга кредитного
риска;
регулярное составление и
предоставление органам управления Банка отчетности, установленной настоящим
Положением;
разработка и внедрение мер,
процедур, механизмов и технологий по ограничению и (или) снижению кредитного
риска.
8. Информационная
система.
8.1. В Банке разработана и
внедрена информационная система для сбора и анализа информации о состоянии
кредитного риска.
Информационная система о
состоянии кредитного риска является частью информационной банковской системы
“Мониторинг банковских рисков", на основании которой осуществляется
оценка, управление и мониторинг банковских рисков, присущих деятельности Банка,
на консолидированной основе.
8.2. Основными задачами
информационной системы являются: обеспечение органов управления Банка и
руководителей структурных подразделений объемом информации, достаточным для
принятия соответствующих управленческих решений; формирование достоверной
отчетности.
Основополагающими принципами
информационной системы являются:
недопустимость дублирования
информации о совершении сделок (операций) или иных действий, влияющих на
состояние и размер банковских рисков;
выделение в самостоятельную
часть информационной системы информационных потоков по нефинансовым банковским
рискам (правовой риск, репутационный риск);
наличие ответственности за
качество поставляемой информации у подразделений, курирующих определенный вид
деятельности Банка, и осуществление контроля сбора, анализа и систематизации
информации о соответствующем направлении деятельности Банка, недопустимость
“вторжения” какого-либо уровня системы в зону ответственности другого уровня;
достоверность передаваемой информации;
непрерывность передачи
информации, регулярность функционирования информационной системы;
незамедлительность передачи
информации о совершении сделок (операций), иных действий, влияющих на состояние
и размер банковских рисков;
оценка и мониторинг уровня
банковских рисков на консолидированной основе.
8.3. Введение данных в
информационную банковскую систему “Мониторинг банковских рисков” осуществляет
сотрудник Организационно-контрольного отдела на основании сведений, получаемых
им по локальной сети из структурных подразделений Банка, а также из
автоматизированной банковской системы.
8.4. На основании полученных
сведений сотрудник Организационно-контрольного отдела производит оценку
кредитного риска и формирует следующую аналитическую отчетность:
“Отчет об уровне кредитного
риска Банка" (Приложение 2);
“Мониторинг кредитного риска"
(Приложение 3).
8.5. Периодичность (частота) движения
информационного потока (для штатных ситуаций) обеспечивает принятие
определенных управленческих решений в отношении конкретного направления
деятельности Банка и надлежащее формирование аналитических отчетов о состоянии
бизнеса Банка в целом. Для штатных ситуаций установлена следующая периодичность
(частота) движения информационного потока:
“Отчет об уровне кредитного
риска Банка" - ежемесячно;
“Мониторинг кредитного риска"
- ежемесячно.
9. Регулирование
кредитного риска.
9.1. Основным направлениями
регулирования риска кредитного портфеля является разработка и реализация
мероприятий по предотвращению или минимизации связанных с ним потерь. Это
предполагает создание стратегии управления кредитным риском, то есть основ
политики принятия решений таким образом, чтобы своевременно и последовательно
использовать все возможности развития Банка и одновременно удерживать риски на
приемлемом и управляемом уровне.
9.2. Минимизация кредитного
риска предполагает осуществление комплекса мер, направленных на снижение
вероятности наступления событий или обстоятельств, приводящих к кредитным
убыткам, и (или) на уменьшение (ограничение) размера потенциальных кредитных
убытков.
9.3. Банком выработаны
определенные методы регулирования риска кредитного портфеля. К таким методам
относятся:
диверсификация;
концентрация;
лимитирование;
резервирование.
9.4. Диверсификация
кредитного портфеля Банка осуществляется путем распределения ссуд по
различным категориям заемщиков, срокам предоставления, видам обеспечения, по
отраслевому признаку.
Диверсификация заемщиков может
осуществляться посредством распределения кредитов между различными группами
населения в зависимости от цели кредитования (на потребительские нужды, на
строительство жилья, на обучение и др.). Относительно хозяйствующих субъектов диверсификация
кредитного портфеля осуществляется между большими и средними компаниями,
предприятиями малого бизнеса, государственными и частными организациями и т.п. При
этом Банк стремиться осуществлять диверсификацию кредитного портфеля путем
размещения большего количества средних кредитов, чем малого количества крупных.
Имеет особое значение
диверсификация кредитного портфеля по срокам, так как уровень кредитного риска
Банка, как правило, увеличивается по мере увеличения срока кредита.
Диверсификация принимаемого
обеспечения по кредитам дает Банку возможность оптимально возмещать кредитные
потери за счет имущества заемщика. Банк выдает только обеспеченные кредиты, так
как необеспеченные или недостаточно обеспеченные кредиты увеличивают для Банка
вероятность потерь.
Отраслевая диверсификация
предполагает распределение кредитов между клиентами, которые осуществляют
деятельность в разных областях экономики. Для снижения общего риска кредитного
портфеля решающее значение имеет отбор областей. Отбор производится по
результатам статистических исследований. Наилучший эффект достигается, когда
заемщики работают в областях с противоположными фазами колебаний делового цикла.
Если одна область находится на стадии экономического роста, то другая
переживает стадию спада, а с течением времени их позиции изменяются на
противоположные. Тогда снижение доходов от одной группы клиентов компенсируются
повышением доходов от другой группы, что помогает стабилизировать доходы банка
и существенно снизить риск.
9.5. При формировании кредитного
портфеля Банк стремится избегать чрезмерной диверсификации и концентрации. Задача
определения оптимального соотношения решается путем установления лимитов
кредитования и резервирования.
Благодаря установлению лимитов
кредитования Банку удается избежать критических потерь вследствие необдуманной
концентрации любого вида риска, а также диверсифицировать кредитный портфель и
обеспечить стабильные доходы. Лимиты могут устанавливаться по видам кредитов,
категориям заемщиков или группам взаимосвязанных заемщиков, наиболее
рискованным направлениям кредитования (предоставление долгосрочных ссуд,
кредитование в иностранной валюте и т.п.). Лимитирование используется для
определения полномочий кредитных работников разных рангов относительно объемов
предоставленных ссуд.
Лимиты выражаются как в
абсолютных предельных величинах (сумма кредита в денежном выражении), так и в
относительных показателях (коэффициенты, индексы, нормативы).
При минимизации рисков
экономическим нормативам, определенным Инструкцией ЦБ РФ N 110-И, отводится
ведущая роль. Несоблюдение Банком установленных экономических нормативов не
допускается.
9.6. Наиболее эффективным
методом снижения уровня кредитного риска по портфелю Банка является резервирование.
Данный метод направлен на защиту вкладчиков, кредиторов и акционеров,
одновременно повышая качество кредитного портфеля и надежность Банка. Резервирование
осуществляется с целью недопущения убытков от невозврата долга из-за
неплатежеспособности заемщиков.
10. Контроль
за соблюдением установленных правил и процедур по управлению кредитным риском.
10.1. Контроль за соблюдением
установленных правил и процедур по управлению кредитным риском осуществляется в
рамках системы внутреннего контроля. Субъектами, осуществляющими контроль,
являются Совет директоров Банка, Правление Банка, Служба внутреннего контроля,
Организационно-контрольный Отдел, а также руководители всех структурных
подразделений Банка, решения которых влияют на уровень кредитного риска.
10.2. В отношении контроля за
кредитным риском наиболее важным является:
контроль за соблюдением
установленных лимитов по ссудным операциям;
контроль за правильностью и
своевременностью классификации ссуд;
контроль за правильностью
формирования резервов по ссудным операциям;
надлежащая подготовка персонала.
10.3. Контроль за кредитным
риском как инструмент управления банковскими рисками, базируется на следующих
принципах из числа принципов организации внутреннего контроля: всесторонность
внутреннего контроля, охват контрольными процедурами всех организационных
структур и подразделений Банка, многоуровневость характера внутреннего контроля.
Контроль предусматривает следующие уровни:
Первый уровень (низший). Руководители
кредитующих структурных подразделений Банка:
мониторинг количественного значения
установленных лимитов по ссудным операциям;
постоянный контроль выполнения
работниками структурных подразделений предусмотренных банковскими стандартами
соответствующих процедур и правил (в том числе в части классификации ссуд и
формирования резервов);
регулярная выверка первичных
документов и счетов по проводимым ссудным операциям;
контроль за выполнением
мероприятий по предотвращению использования инфраструктуры Банка в целях
легализации доходов, полученных преступным путем, и финансирования терроризма.
Второй уровень. Организационно-контрольный
отдел:
мониторинг состояния и анализ
кредитного риска;
контроль за соблюдением лимитов,
используемых для мониторинга кредитного риска;
Третий уровень (высший). Правление
Банка:
недопущение длительного
ухудшения одного и/или нескольких параметров, влияющих на состояние кредитного
риска;
осуществление контроля
соответствия состояния и размера определенных рисков доходности бизнеса Банка;
предотвращение использования
инфраструктуры Банка в целях легализации доходов, полученных преступным путем,
и финансирования терроризма;
предотвращение длительного
нахождения определенного направления деятельности Банка под воздействием
соответствующего чрезмерного риска;
осуществление контроля
адекватности параметров управления банковскими рисками (финансовыми рисками) текущему
состоянию и стратегии развития Банка;
контроль соответствия доходности
определенного направления деятельности Банка уровню соответствующих рисков;
прекращение деятельности
подразделений Банка (либо ограничение их задач и функций), несущих чрезмерные
банковские риски.
Исключительный уровень. Совет
директоров Банка:
недопущение одновременного
длительного чрезмерного (отрицательного) воздействия нескольких рисков на Банк
в целом;
недопущение непропорционального увеличения
(одновременного) размера риска увеличению доходности соответствующего
направления деятельности Банка;
общий контроль функционирования
системы управления банковскими рисками.
10.4. Решения, принимаемые одним
из уровней системы контроля управления рисками в рамках своих полномочий,
являются обязательными для всех субъектов более низких уровней.
10.5. Служба внутреннего
контроля Банка проводит периодические проверки состояния системы контроля и
организации функционирования конкретного направления деятельности Банка. По
первому и второму уровням системы контроля проверяются, в том числе, наличие
инструментов контроля, эффективность их использования соответствующими
руководителями и должностными лицами Банка.
Проверки проводятся в
соответствии с Положением о Службе внутреннего контроля.
11. Раскрытие информации по
управлению кредитным риском.
11.1 Банк доводит до сведения
акционеров, кредиторов, вкладчиков и иных клиентов, внешних аудиторов,
рейтинговых агентств и других заинтересованных лиц информацию по управлению
кредитным риском.
Приложение 1

Приложение 2
Отчет об
уровне кредитного риска на “___” ____________ 200__г.
| № п/п |
Наименование показателя |
Принимаемое значение |
Установленный лимит |
| 1 |
Возможная (ожидаемая) величина убытков по кредитному портфелю (Sp)
|
|
|
| 2 |
Средневзвешенный риск кредитного портфеля Банка ( )
|
|
|
| 3 |
Дисперсия кредитного риска (V (p))
|
|
|
| 4 |
Среднеквадратичное отклонение кредитного риска ( )
|
|
|
| 5 |
Положительная семивариация кредитного риска (PSV)
|
|
|
| 6 |
Положительное среднее семиквадратическое отклонение кредитного
риска (psv)
|
|
|
| 7 |
Отрицательная семивариация кредитного риска (NSV)
|
|
|
| 8 |
Отрицательное среднее семиквадратическое отклонение кредитного
риска (nsv)
|
|
|
| 9 |
Коэффициент асимметрии кредитного риска (а)
|
|
|
| 10 |
Волатильность кредитного портфельного риска (К1)
|
|
|
| 11 |
Удельный вес нестандартных ссуд в совокупном объеме кредитного
портфеля (К21)
|
|
|
| 12 |
Удельный вес сомнительных ссуд в совокупном объеме кредитного
портфеля Банка (К22)
|
|
|
| 13 |
Удельный вес проблемных ссуд в кредитном портфеле (К23)
|
|
|
| 14 |
Удельный вес безнадежных ссуд в кредитном портфеле (К24)
|
|
|
| 15 |
Удельный вес ссудной задолженности, не являющейся стандартной, в
совокупном объеме предоставленных кредитов (К2)
|
|
|
Степень риска кредитного
портфеля Банка
(Кр) = К1
+ К2 = ________________
Уровень кредитного риска на
отчетную дату признается:
________________________________
(удовлетворительным / высоким)
Приложение 3

Приложение 4
Мониторинг кредитного риска по
состоянию на “__” _____ 200__ г.
| N п/п |
Наименование показателя |
Условное обозначение |
Принимаемое значение,% |
Установленный лимит,% |
| 1 |
Показатель качества ссуд |
Пкс |
|
|
| 2 |
Показатель качества активов |
Пка |
|
|
| 3 |
Показатель доли просроченных ссуд |
Ппс |
|
|
| 4 |
Показатель размера резервов на потери по ссудам и иным активам |
Прпс |
|
|
| 5 |
Показатель максимального размера риска на одного заемщика или
группу связанных заемщиков |
ПН6
|
|
|
| 6 |
Показатель концентрации крупных кредитных рисков |
ПН7
|
|
|
| 7 |
Показатель концентрации кредитных рисков на акционеров (участников) |
ПН9.1
|
|
|
| 8 |
Показатель концентрации кредитных рисков на инсайдеров |
ПН10.1
|
|
|
Приложение 5
Пограничные
значения (лимиты) показателей, используемых для мониторинга кредитного риска
| N п/п |
Наименование показателя |
Условное обозначение |
Установленный лимит,% |
| 1 |
Показатель качества ссуд |
Пкс |
|
| 2 |
Показатель качества активов |
Пка |
|
| 3 |
Показатель доли просроченных ссуд |
Ппс |
|
| 4 |
Показатель размера резервов на потери по ссудам и иным активам |
Прпс |
|
| 5 |
Показатель максимального размера риска на одного заемщика или
группу связанных заемщиков |
ПН6
|
|
| 6 |
Показатель концентрации крупных кредитных рисков |
ПН7
|
|
| 7 |
Показатель концентрации кредитных рисков на акционеров (участников) |
ПН9.1
|
|
| 8 |
Показатель концентрации кредитных рисков на инсайдеров |
ПН10.1
|
|