Курсовая работа: Рейтинговый анализ предприятия
Содержание
Введение
1. Организационно-экономический
анализ предприятия
1.1 Организационная характеристика
предприятия
1.2 Экономическое состояние
предприятия
1.3 Анализ финансового состояния
предприятия
2. Обзор литературы по состоянию
рейтингового анализа организации
3. Рейтинговый анализ предприятия за
2007-2009 гг.
3.1 Анализ финансового состояния
предприятия 2007-2009 гг.
3.2 Рейтинговый анализ предприятия
2007-2009 гг.
3.3 Пути улучшения рейтинга
предприятия
Заключение
Список использованной литературы
Приложение
Введение
Слово «рейтинг» обозначает
выстраивание некоторых единиц в определенном порядке, в соответствии с заранее
установленными правилами и критериями. В анализе финансово-хозяйственной
деятельности предприятий рейтингование позволяет расположить подобранные
определенным образом предприятия в одном ряду на основании значений некоторых
показателей их деятельности. Сравнение предприятия с родственными ему по
отраслевой принадлежности или масштабам деятельности дает возможность
определить его место среди конкурентов, т.е. приписать ему определенную
значимость (ранг) среди других хозяйствующих единиц.
Существует множество способов
определения таких рангов. Наиболее распространенными являются рейтинги, которые
ранжируют предприятия по объемным показателям, содержащимся в бухгалтерской отчетности.
Рейтингование может проводиться как на основе абсолютных значений важнейших (по
мнению аналитика) статей отчетности, так и на основе относительных величин
бухгалтерских коэффициентов.
В качестве абсолютных
показателей обычно берутся:
·
объем продаж (выручка);
·
величина активов (итог баланса);
·
чистая прибыль;
·
уровень затрат.
Методика ранжирования
хозяйствующих субъектов по совокупности показателей их финансово-хозяйственной
деятельности состоит из нескольких этапов.
Этап 1. Выбор показателей, по
которым будет осуществляться ранжирование. Вопрос этот не столь тривиален, как
может показаться с первого взгляда. По данным бухгалтерской отчетности можно
сформировать десятки, если не сотни, финансовых коэффициентов, характеризующих
те или иные стороны деятельности предприятия. При всем разнообразии показателей
их можно разделить на несколько групп: показатели оценки имущественного
положения, ликвидности, деловой активности, рентабельности, финансовой
устойчивости. Кроме того, можно сформировать ряд производственных показателей,
не могущих быть исчисленными по официальным формам бухгалтерской отчетности, но
которые можно рассчитать по данным управленческого учета. Вряд ли целесообразно
использовать в процессе ранжирования одновременно несколько показателей,
входящих в одну группу. Рекомендуется в состав группы показателей, формирующих
ранговый набор, включать не более одного показателя из каждой группы. Лишь в
отдельных специальных случаях можно включать в набор родственные коэффициенты
из одной группы. Например, если целью анализа является определение
эффективности основной деятельности предприятия, можно рассмотреть одновременно
показатели рентабельности, исчисленные по чистой и по валовой прибыли. В любом
случае, подбор коэффициентов аналитику следует тщательно обосновать.
Этап 2. Подбор хозяйствующих
единиц для ранжирования. Если целью анализа является определение места
предприятия среди своих конкурентов в выбранной отрасли, для ранжирования
выбираются родственные предприятия именно этой отрасли. Если анализ
предусматривает позиционирование предприятия среди сравнимых с ним по масштабам
деятельности, скажем, в регионе (а такие исследования весьма актуальны и
проводятся достаточно часто для предприятий малого бизнеса), тогда подбор
хозяйствующих единиц для сравнения следует проводить исходя из выбранных
формальных характеристик, например, величины оборота и местоположения. При этом
следует помнить, что чем больше объем выборки, тем более трудоемкой будет
процедура рейтингования. Не стоит добиваться тотального охвата предприятий
своим исследованием.
Этап 3. Выбор коэффициентов,
по которым производится сравнение выбранных предприятий, следует дополнить еще
одной процедурой - определением важности (веса) каждого из выбранных
показателей для данного предприятия и выборки в целом. Так, например, обычно
признается, что для комплексной оценки деятельности предприятий торговли
показатели деловой активности (в первую очередь оборачиваемости запасов) играют
первостепенную роль, тогда как для предприятий сферы услуг гораздо важнее
рентабельность. Поэтому в соответствии с экспертным суждением аналитика, всем
коэффициентам, входящим в рейтинговый набор, можно присвоить некоторые веса.
Обычно они выбираются в долях единицы, поэтому сумма значений всех весов должна
быть равна 1 или 100%.
Этап 4. Непосредственное
проведение процедуры рейтингования методами суммы мест и (или)
таксонометрическим.
Целью курсовой работы является
рассмотрение рейтинговый анализ предприятия на примере МУСП «Уртакульское»
проанализировать полученные данные основных коэффициентов.
Задачи:
1)
Рассмотреть организационную характеристику предприятия;
2)
Проанализировать экономическое состояние предприятия;
3)
Проанализировать финансовое состояние предприятия;
4)
Провести рейтинговый анализ предприятия;
5)
Предложить пути улучшения рейтинга предприятия.
Объект исследования – МУСП
«Уртакульское».
В работе применяются общие
методы исследования - системный подход, сопоставительный, экономический анализ,
статистические группировки, а также выборочные статистические обследования.
Одна из основных проблем
многих предприятий - дефицит денежных средств, вызванный стремительным ростом
дебиторской задолженности или неоправданным увеличением запасов товаров.
Решением возникшей проблемы может стать, внедрение системы нормирования
оборотных активов. Для этого потребуется рассчитать нормативы оборотных
средств, протестировать правильность полученных результатов и автоматизировать
процедуры корректировки и контроля установленных норм. Можно сделать вывод, что
анализ оборотных активов необходим для предприятия. На основании данных
проведенного анализа строится политика организации. Предприятие может таким
образом найти «золотую середину» в закупке количества товаров, чтобы избежать
дефицита товара на складах, а также его избытка и тем самым достигнуть
поставленной цели – прибыли.
1.
Организационно-экономический анализ предприятия
1.1 Организационная
характеристика предприятия
Буздякский район был
образован 20 августа 1930 г. Территория 1709,3 км2. Район
преимущественно аграрный, на его территории 6 государственных унитарных
сельхозпредприятий, 11 сельхозкооперативов, 80 фермерских хозяйств.
Буздякский
административный район расположен на западе Республики Башкортостан на
левобережье р. Белой в бассейне ее притока – р. Чермасан и относится к степной
природно-климатической зоне. Центр района – село Буздяк – находится в
центральной части района на железной дороге Уфа-Ульяновск.
Рельеф района объясняется
геологическим строением Русской платформы, являющейся основанием Восточно –
Европейской равнины. Территория Буздякского района находится в двух различных
геоморфологических областях. Западная и северная части района расположены на
отрогах Белебеевской возвышенности, а остальная часть в пределах Чермасанской
равнины. Рельеф территории Буздякского района отличается значительной
расчлененностью и волнистостью, что обуславливается сильным развитием явлений
почвенного смыва. Во многих местах почвы лишены верхнего гумусового горизонта.
Эти явления особенно распространены на востоке района.
Климат района умеренно
континентальный, характеризующийся умеренно холодной снежной зимой и
сравнительно жарким летом.
а) температурный режим.
Среднегодовая температура составляет +2,2º С; абсолютно годовой
минимум –50º С. Годовая максимальная температура из средних
наблюдений +40º С. Среднегодовая амплитуда колебаний
температуры составляет 38º С.
б) влажность.
Относительная влажность воздуха в 13ч. дня последние годы выше 70% в теплый
период. В летнее время ощущается дефицит влажности воздуха, что требует
искусственного полива (орошения сельхозугодий).
в) осадки. Среднегодовое
количество осадков составляет менее 400 мм, из них большее количество выпадает в теплое время года.
г) снежный покров.
Максимальная мощность снежного покроя на зиму составляет около 30 см. Она приходится на конец февраля и в первую половину марта. Глубина промерзания почвы на зимний
период в среднем колеблется от 30 см до 13 см. Продолжительность периода с устойчивым снежным покровом составляет в среднем 150 дней. Самая ранняя дата
образования снежного покрова 21 октября. Снеготаяние продолжается в среднем 15
дней.
д) ветры. Преобладающими
ветрами являются ветры южных, юго-западных направлений. В летнее время
значительна роль северных ветров /1/.
Почвы. Почвенный покров
представлен в основном черноземами, в меньшей степени серыми лесными и
болотно-торфяными почвами /3/.
Черноземные почвы имеют
распространение по всей территории района, содержание гумуса в них высокое,
структура их зернистая. Эти почвы используются для выращивания различных
сельскохозяйственных культур. При благоприятных погодных условиях они могут
дать высокий урожай.
Лесные темно-серые и
серые почвы встречаются в северной и северо-западной части района, вблизи
лесов. Эти почвы пригодны под зерновые, бобовые, технические культуры и
корнеплоды.
В аграрном отношении
почвы Буздякского района являются в большинстве пригодными для всестороннего
сельскохозяйственного использования.
Общая площадь района
составляет 163503 га, из них пашни занимают 95200 га ил 60% от общей площади района. Сенокосы занимают 3150 га. Под выгонами занята площадь 26500 га. Лесные площади всего 25079 га, под лесными полосами – 3820 га. Государственный лесной фонд составляет 20278 га, болота – 430 га, приусадебные земли – 2380 га.
Природные зоны. В краю
раздольных степей, лесов западной части Республики Башкортостан простирается
земля Буздякская. Природа наделила ее своеобразной красотой: привольные степи
чередуются чащами лесов, холмами, речными долинами.
Зона лесов занимает более
25000 га и расположена на северо-западе и юго-западе района. Леса представлены
в основном широколиственными листопадными деревьями с преобладанием липы,
осины, березы, ильмы и дуба. В травяном покрове основным растением является
сныть, к которой примешиваются звездчатка злаковая, бобовник и др. Для подлеска
характерна орешник, бересклет, рябина.
Пойменные леса образуют
ивы, тополя, липы, ильмы. По заболоченным участкам поймы встречается черная
ольха.
Значительная часть
степной зоны района распахана, остались только неудобные участки: овраги,
склоны холмистых участков, заболоченные территории.
Вдоль русла рек
расположены высокоурожайные пырейно-костровые луга из ежа сборной, овсяницы
луговой, тимофеевки луговой.
Пойменные луга нарушены
выпасом и превратились в низкотравные выгоны с преобладанием подорожника,
лапчатки гусиной, одуванчика, клевера ползучего и др.
1.2 Экономическое
состояние предприятия
Основные фонды являются
наиболее значимой составной частью предприятия и его внеоборотных активов.
Основные средства – это
основные фонды, выраженные в стоимостном измерении. Основные средства (основные
фонды) относятся к важнейшим факторам эффективности любого производства.
Основные средства – это
средства труда, которые неоднократно участвуют в производственном процессе,
сохраняя при этом свою натуральную форму, а их стоимость переносится на
производимую продукцию частями по мере снашивания.
Роль основных средств в
процессе труда определяется тем, что в своей совокупности они образуют
производственно-техническую базу и определяют производственную мощность
предприятия.
Рассмотрим состав и
структуру основных фондов в МУСП «Уртакульское» в таблице 1.1, так как от
эффективности их использования зависят результаты хозяйственной деятельности.
Таблица 1.1
Состав и структура
основных производственных фондов в МУСП «Уртакульское»
| Основные фонды |
2007 г. |
2008 г. |
2009 г. |
Темп роста, % |
| тыс. руб. |
в % к итогу |
тыс. руб. |
в % к итогу |
тыс. руб. |
в % к итогу |
2009 г к 2007 г |
2009 г к 2008 г |
| Здания |
45129 |
57,8 |
42737 |
47,6 |
41634 |
41,6 |
-7,7 |
-2,6 |
| Сооружения |
3126 |
4,0 |
3126 |
3,5 |
3126 |
3,1 |
0.0 |
0,0 |
| Машины и оборудование |
13103 |
16,8 |
23470 |
26,2 |
31785 |
31,8 |
142,6 |
35,4 |
| Транспортные средства |
3611 |
4,6 |
3444 |
3,8 |
3653 |
3,6 |
1,2 |
6,1 |
| Производственный и хозяйственный
инвентарь |
79 |
0,1 |
79 |
0,1 |
79 |
0,1 |
0,0 |
0,0 |
| Рабочий скот |
1513 |
1,9 |
2620 |
2,9 |
2284 |
2,3 |
51,0 |
-13,0 |
| Продуктивный скот |
8836 |
11,3 |
11665 |
13,0 |
14808 |
14,8 |
67,6 |
27,0 |
| Многолетние насаждения |
676 |
0,9 |
676 |
0,7 |
676 |
0,7 |
0,0 |
0,0 |
| Земельные участки |
1986 |
2,6 |
1986 |
2,2 |
1986 |
2,0 |
0,0 |
0,0 |
| Итого |
78059 |
100 |
89803 |
100 |
100031 |
100 |
28,1 |
11,4 |
Удельный вес основных
производственных фондов в 2009 году по сравнению с 2007 годов возрос на 28,1 %
(21972 тыс. руб.). Это связано с увеличением машин и оборудования – на 18682
тыс. руб., транспортных средств – на 42 тыс. руб. в связи с приобретением новой
техники. В хозяйстве наблюдается увеличение поголовья рабочего и продуктивного
скота, в связи с этим их балансовая стоимость возросла на 771 тыс. руб. или на
51,0% и на 5972 тыс. руб. или на 67,6% соответственно.
Основные средства,
участвующие в процессе производства, постепенно утрачивают свои первоначальные
характеристики вследствие их эксплуатации и естественного снашивания. Под
физическим износом понимается потеря средствами труда своих первоначальных
качеств.
Уровень физического
износа основных средств зависит от: степени их эксплуатации; уровня
агрессивности среды, в которой функционируют основные фонды; уровня
квалификации обслуживающего персонала и др. Учет этих факторов в работе
предприятия может в значительной мере повлиять на физическое состояние основных
фондов.
Для характеристики
степени физического износа основных фондов используется ряд показателей.
Коэффициент физического
износа основных фондов (Ки.ф.):
Ки.ф.= И / Пс,
где И – сумма износа
основных фондов (начисленная амортизация) за весь период их эксплуатации;
Пс –
первоначальная (балансовая) стоимость основных фондов.
Коэффициент годности
основных фондов укрупнено характеризует их физическое состояние на определенную
дату и исчисляется по формуле:
Кг.ф.= (Пс
– И) / Пс.
Все эти формулы
предполагают равномерное физическое изнашивание основных фондов, что далеко не
всегда совпадает с реальной действительностью, и в этом заключается их основной
недостаток.
Рассмотрим динамику
состояния основных производственных фондов в МУСП «Уртакульское» (таблица 1.2).
Таблица 1.2
Динамика состояния
основных производственных фондов
| Показатели |
2008 г. |
2009 г. |
Изменение за 2009 г. (+,-) |
Темп роста, % (+,-) |
| 1. Балансовая стоимость, тыс. руб. |
89803 |
100031 |
+10228 |
+11,4 |
| 2. Остаточная стоимость, тыс. руб. |
65171 |
76864 |
+11693 |
+17,9 |
| 3. Накопленный износ, тыс. руб. |
24632 |
23167 |
-1465 |
-5,9 |
|
Коэффициенты:
изношенности Кизн (стр.3/стр.1)
годности Кгод (стр.2/стр.1)
|
0,274
0,726
|
0,231
0,768
|
-0,043
+0,042
|
-
-
|
По данным таблицы 1.2
можно отметить, что в 2009 году балансовая стоимость основных производственных
фондов увеличилась на 10228 тыс. руб. в связи с приобретением новых машин и
оборудования. Это положительно повлияло на увеличение коэффициента годности на
4,2%.
Рассчитаем показатели
движения основных производственных фондов в МУСП «Уртакульское» (таблица 1.3).
Таблица 1.3
Динамика показателей
движения основных фондов
| Показатели |
2008 г. |
2009 г. |
Изменение за 2009 г. (+,-) |
Темп роста, %
(+,-)
|
| 1.Наличие фондов на начало года,
тыс. руб. |
78059 |
89803 |
+11744 |
+15,0 |
| 2.Поступило фондов в течение года,
тыс. руб. |
16885 |
14404 |
-2481 |
-14,7 |
| 3.Выбыло фондов в течение года,
тыс. руб. |
5141 |
4176 |
-965 |
-18,8 |
| 4.Наличие фондов на конец года,
тыс. руб. |
89803 |
100031 |
+10228 |
+11,4 |
|
Коэффициенты:
ввода Квв (стр.2/стр.4)
выбытия Квыб (стр.3/стр.4)
замены Кзамены
(стр.3/стр.2)
прироста Кприр (Квв-
Квыб)
|
0,188
0,057
0,304
0,131
|
0,144
0,042
0,290
0,102
|
-0,044
-0,015
-0,014
-0,029
|
-
-
-
-
|
Анализ данных таблицы 1.3
свидетельствуют о том, что на предприятии наблюдается движение основных фондов,
связанное больше с расширением активной части. Коэффициент ввода почти в 3 раза
опережает коэффициент выбытия. Это обеспечило прирост фондов в целом на 11744
тыс. руб. или на 15,0% по сравнению с предыдущим годом.
Сделаем выводы:
· финансовые результаты предприятия в
значительной мере зависят от состояния, качества и структуры основных
производственных фондов;
· удельный вес основных
производственных фондов в 2007 году по сравнению с 2006 годов возрос на 28,1 %
(21972 тыс. руб.);
· за последние годы замедлились темпы
обновления основных производственных фондов, что негативно отразилось на
хозяйственной деятельности предприятия.
На каждом предприятии
имеются существенные резервы улучшения использования основных производственных
фондов. В общем плане эта цель может быть достигнута за счет внедрения новой
техники и технологии, механизации и автоматизации производственных процессов,
проведения своевременного и качественного ремонта, ликвидации излишнего
оборудования.
Анализ трудовых ресурсов
– один из основных разделов анализа работы предприятия. Достаточная
обеспеченность предприятий трудовыми ресурсами, высокий уровень
производительности труда имеют большое значение для увеличения объемов
производства.
Рассмотрим состав и
структуру трудовых ресурсов в МУСП «Уртакульское» (таблица 1.4).
Таблица 1.4
Состав и структура
трудовых ресурсов в МУСП «Уртакульское»
| Показатели |
2007 г. |
2008 г. |
2009 г. |
Темп роста,
%
|
| чел. |
в % к всего |
чел. |
в % к всего |
чел. |
в % к всего |
| По организации – всего |
324 |
100 |
350 |
100 |
348 |
100 |
107,4 |
|
в том числе:
работники, занятые в
сельскохозяйственном производстве – всего
|
285 |
88,0 |
320 |
91,4 |
325 |
93,4 |
114,0 |
|
в том числе:
рабочие постоянные
|
228 |
70,4 |
265 |
75,7 |
270 |
77,6 |
118,4 |
|
из них:
трактористы-машинисты
|
52 |
16,0 |
62 |
17,7 |
57 |
16,4 |
109,6 |
| операторы машинного доения, дояры |
36 |
11,1 |
42 |
12,0 |
46 |
13,2 |
127,8 |
| скотники крупного рогатого скота |
49 |
15,1 |
50 |
14,3 |
47 |
13,5 |
96,0 |
| Работники овцеводства и козоводства |
3 |
0,9 |
2 |
0,6 |
2 |
0,6 |
66,7 |
| Работники коневодства |
4 |
1,2 |
4 |
1,1 |
3 |
0,9 |
75,0 |
| Рабочие сезонные и временные |
3 |
0,9 |
2 |
0,6 |
3 |
0,9 |
100,0 |
| Служащие |
54 |
16,7 |
53 |
15,1 |
52 |
15,0 |
96,3 |
| из них: руководители |
8 |
2,5 |
8 |
2,3 |
9 |
2,6 |
112,5 |
| специалисты |
20 |
6,2 |
24 |
6,8 |
23 |
6,6 |
115,0 |
| Работники, занятые в подсобных
промышленных предприятиях и промыслах |
9 |
2,8 |
10 |
2,9 |
9 |
2,6 |
100,0 |
| Работники торговли и общественного
питания |
6 |
1,8 |
6 |
1,7 |
6 |
1,7 |
100,0 |
| Работники, занятые на строительстве
хоз.способом |
8 |
2,5 |
- |
- |
- |
- |
- |
| Работники, занятые прочими видами
деятельности |
16 |
4,9 |
14 |
4,0 |
8 |
2,3 |
50,0 |
|
|
|
|
|
|
|
|
|
|
|
|
По данным таблицы 1.4
следует, что в МУСП «Уртакульское» за анализируемый период численность
работников увеличилась в целом по хозяйству на 24 человек. Это связано с
увеличением поголовья сельскохозяйственных животных и с увеличением
обрабатываемых земельных площадей.
Проведем анализ оплаты
труда в МУСП «Уртакульское» (таблица 1.5).
Политика в области оплаты
труда является составной частью управления предприятием, и от нее в
значительной мере зависит эффективность его работы, так как заработная плата
является одним из важнейших стимулов в рациональном использовании рабочей силы.
И об этом необходимо всегда помнить.
Заработная плата – это
выраженная в денежной форме часть национального дохода, которая распределяется
по количеству и качеству труда, затраченного каждым работником, поступает в его
личное потребление.
Таблица 1.5
Анализ заработной платы
работников МУСП «Уртакульское»
| Показатели |
2007 г. |
2008 г. |
2009 г. |
Темп роста,
%
|
| тыс. руб. |
в % к всего |
тыс. руб. |
в % к всего |
тыс. руб. |
в % к всего |
|
| По организации – всего |
6977 |
100 |
7241 |
100 |
8233 |
100 |
118,0 |
|
в том числе:
Работники, занятые в
сельскохозяйственном производстве – всего
|
5875 |
84,2 |
6568 |
90,7 |
7400 |
90,0 |
126,0 |
|
в том числе:
рабочие постоянные
|
4328 |
62,0 |
5065 |
70,0 |
5671 |
69,0 |
131,0 |
|
из них:
трактористы-машинисты
|
1320 |
18,9 |
1521 |
21,0 |
1842 |
22,4 |
139,5 |
| операторы машинного доения, дояры |
595 |
8,5 |
904 |
12,5 |
1009 |
12,2 |
169,5 |
| скотники крупного рогатого скота |
768 |
11,0 |
825 |
11,4 |
802 |
9,7 |
104,4 |
| Работники овцеводства и козоводства |
20 |
0,3 |
23 |
0,3 |
18 |
0,2 |
90,0 |
| Работники коневодства |
53 |
0,7 |
50 |
0,7 |
73 |
0,9 |
138,0 |
| Рабочие сезонные и временные |
90 |
1,3 |
99 |
1,4 |
173 |
2,1 |
192,2 |
| Служащие |
1457 |
20,9 |
1404 |
19,4 |
1556 |
19,0 |
107,0 |
| из них: руководители |
447 |
6,4 |
432 |
6,0 |
472 |
5,7 |
105,5 |
| специалисты |
548 |
7,8 |
585 |
8,1 |
682 |
8,3 |
124,4 |
| Работники, занятые в подсобных
промышленных предприятиях и промыслах |
119 |
1,7 |
175 |
2,4 |
147 |
1,7 |
123,5 |
| Работники торговли и общественного
питания |
62 |
0,9 |
72 |
1,0 |
68 |
0,8 |
109,7 |
| Работники, занятые на строительстве
хозспособом |
517 |
7,4 |
- |
- |
- |
- |
- |
| Работники, занятые прочими видами
деятельности |
404 |
5,8 |
426 |
5,9 |
618 |
7,5 |
153,0 |
|
|
|
|
|
|
|
|
|
|
|
Повышение заработной
платы не наблюдается.
Из вышеизложенного
сделаем следующие выводы:
· от кадровой политики зависит очень
многое, в первую очередь насколько рационально используются рабочая сила и
эффективность работы предприятия;
· кадры на предприятии классифицируются
на рабочих, руководителей, специалистов и служащих. Приоритет следует отдавать
руководителям. Исследованиями и практикой установлено, что эффективность работы
предприятия на 70 – 80% зависит от руководителя предприятия;
· в МУСП «Уртакульское» за
анализируемый период численность работников увеличилась в целом по хозяйству на
24 человек;
· с развитием рыночных отношений на
предприятии стали чаще применять повременно-премиальную и бестарифную оплату
труда, а также оплату труда по контракту.
1.3 Анализ финансового
состояния предприятия
Анализ финансового
состояния предприятия необходим не только для того, чтобы знать, в каком
положении находится предприятие на тот или иной отрезок времени, но и для
эффективного управления с целью обеспечения финансовой устойчивости предприятия
[2, с. 33].
Основным источником
информации об устойчивости финансового состояния является бухгалтерская
отчетность. Цель анализа бухгалтерского отчета – возможно глубже заглянуть во
внутренние и внешние отношения хозяйствующего субъекта, выявить его финансовое
положение, его платежеспособность и доходность.
Платежеспособность – это
проявление финансовой устойчивости, которое отражает способность предприятия
своевременно и полностью выполнять свои платежные обязательства.
Кредитоспособным является
предприятие, которое имеет все предпосылки получить кредит и способно
своевременно возвратить взятую ссуду с уплатой процентов за счет прибыли или
других финансовых источников, возможно, заемных средств.
Под общей устойчивостью
предприятия можно понимать и такое его состояние, когда предприятие стабильно,
на протяжении достаточно длительного периода времени выпускает и реализует
конкурентоспособную продукцию, получает чистую прибыль, достаточную для
производственного и социального развития предприятия, является ликвидным и
кредитоспособным.
Из этих определений можно
сделать вывод, что финансовая устойчивость является комплексным и наиболее
важным критерием, характеризующим финансовое состояние предприятия.
В результате
осуществления какой-либо хозяйственной операции финансовое состояние
предприятия может измениться. Знание границ изменения источников средств,
направляемых в основные фонды или производственные запасы, позволяет
генерировать такие потоки хозяйственных операций, которые могут привести к
улучшению финансового состояния предприятия, к повышению его устойчивости.
Различают четыре типа
финансовой устойчивости предприятия.
Абсолютная устойчивость –
крайне редкое для сельскохозяйственных предприятий положение, которое
выражается соотношением:
З < Особ +
К
Нормальная устойчивость,
гарантирующая платежеспособность, соответствует условию:
З = Особ + К
Неустойчивое финансовое
состояние, характеризующееся нарушением платежеспособности, при котором
сохраняется возможность восстановления равновесия за счет пополнения источников
собственных средств и увеличения Особ:
З = Особ + К
+Иосл
Финансовая неустойчивость
считается нормальной (допустимой), если величина Иосл в виде
краткосрочных кредитов и других заемных средств не превышает суммарной
стоимости сырья, материалов и готовой продукции, т.е. выполняются условия:
Зс + Зт.п
≥ К,
Зн.п + Зб.п
≤ Сд.
Кризисное финансовое
состояние, при котором предприятие находится на грани банкротства, т.к.
денежные средства, краткосрочные ценные бумаги и дебиторская задолженность не
покрывают его кредиторской задолженности и просроченных ссуд /8/:
З > Особ +
К
Рассмотрим финансовое
состояние МУСП «Уртакульское».
Таблица 1.6
Оценка финансовой
устойчивости МУСП «Уртакульское» за 2008-2009 г., тыс. руб.
| Показатели |
2008 |
2009 |
Изменение (+,-) |
| 1. Источники формирования
собственных средств |
69494 |
74117 |
+4623 |
| 2. Внеоборотные активы |
65216 |
76909 |
+11693 |
| 3. Наличие собственных оборотных
средств (1-2) |
4278 |
-2792 |
-7070 |
| 4. Долгосрочные пассивы |
8533 |
20054 |
+11521 |
| 5. Наличие собственных и
долгосрочных заемных источников формирования средств (3+4) |
12811 |
17262 |
+4451 |
| 6. Краткосрочные кредиты и займы |
12140 |
9163 |
-2977 |
| 7. Общая сумма основных источников
средств для формирования запасов (5+6) |
24951 |
26425 |
+1474 |
| 8. Общая величина запасов и затрат |
33356 |
40521 |
+7165 |
| 9. Излишек (+) /недостаток (-)/
собственных оборотных средств (3-8) |
-29078 |
-43313 |
-14235 |
| 10. Итого собственных оборотных и
долгосрочных заемных источников средств (5-8) |
-20545 |
-23259 |
-2714 |
| 11. Источники средств для
формирования запасов и затрат (7-8) |
-8405 |
-14096 |
-5691 |
По данным таблицы 1.6
можно судить о кризисном финансовом состоянии, т.к. денежные средства,
краткосрочные ценные бумаги и дебиторская задолженность не покрывают его кредиторской
задолженности и просроченных ссуд (З > Особ + К).
Одним из показателей,
характеризующих финансовое положение предприятия, является его
платежеспособность, т.е. возможность наличными денежными средствами
своевременно погашать свои платежные обязательства.
При хорошем финансовом
состоянии предприятие устойчиво платежеспособно; при плохом – периодически или
постоянно неплатежеспособно. Самый лучший вариант, когда у предприятия всегда
имеются свободные денежные средства, достаточные для погашения имеющихся
обязательств. Но предприятие является платежеспособным и в том случае, когда
свободных денежных средств у него недостаточно или они вовсе отсутствуют, но
предприятие способно быстро реализовать свои активы и расплатиться с
кредиторами.
К наиболее ликвидным
активам А1 относятся все статьи денежных средств, которые могут быть
использованы для немедленного выполнения предприятием текущих расчетов. В эту
группу включают также краткосрочные финансовые вложения (ценные бумаги).
Быстро реализуемые активы
А2 в основном состоят из дебиторской задолженности, платежи по
которой ожидаются в течение 12 мес. после отчетной даты, и некоторых других.
Медленно реализуемые
активы А3 – наименее ликвидные активы, к которым относят запасы,
дебиторская задолженность, платежи по которой ожидаются более чем через 12 мес.
после отчетной даты, налог на добавленную стоимость по приобретенным ценностям
за минусом статьи по расходам будущих периодов.
Трудно реализуемые активы
А4 – активы предприятия, которые предназначены для использования в
хозяйственной деятельности в течение продолжительного периода времени, т.е. «Внеоборотные
активы» [3, с. 301].
Пассивы баланса по
степени возрастания сроков погашения обязательств группируют следующим образом:
· наиболее срочные обязательства П1
– кредиторская задолженность, платежи по дивидендам, прочие краткосрочные
обязательства, а также ссуды, не погашенные в срок (по данным приложений к
бухгалтерскому балансу);
· краткосрочные пассивы П2 –
краткосрочные заемные кредиты банков и прочие займы, подлежащие погашению в
течение 12 мес. после отчетной даты;
· долгосрочные пассивы П3 –
долгосрочные заемные кредиты и прочие долгосрочные пассивы (итог IV раздела
баланса «Долгосрочные пассивы»);
· постоянные пассивы П4 –
статьи III раздела баланса «Капитал и резервы» и отдельные статьи VI раздела
баланса, не вошедшие в предыдущие группы: «Доходы будущих периодов», «Фонды
потребления», «Резервы предстоящих расходов и платежей» [8, с. 66].
Соотношение активов и
пассивов баланса должно быть следующим А1 ≥ П1; А2
≥ П2; А3 ≥ П3; А4 ≤
П4.
Проанализируем в таблице
1.7, какое соотношение имеют актив и пассив баланса в МУСП «Уртакульское».
Таблица 1.7
Группировка активов и
обязательств за 2008-2009 гг.
| Актив |
2008 |
2009 |
Пассив |
2008 |
2009 |
Платежный излишек или недостаток |
| 2008 |
2009 |
| 1. Наиболее ликвидные активы |
- |
- |
1. Наиболее срочные обязательства |
19655 |
28815 |
-19655 |
-28815 |
| 2. Быстро реализуемые активы |
10207 |
13916 |
2. Краткосрочные пассивы |
12140 |
9163 |
-1933 |
4753 |
| 3. Медленно реализуемые активы |
35144 |
42309 |
3. Долгосрочные пассивы |
8533 |
20054 |
26611 |
22255 |
| 4. Трудно реализуемые активы |
65216 |
76909 |
4. Постоянные пассивы |
70239 |
75102 |
-5023 |
1807 |
| Баланс |
110567 |
133134 |
Баланс |
110567 |
133134 |
0 |
0 |
Из данных таблицы 1.7
следует, что в 2009 году величина наиболее срочных обязательств на 28815 тыс.
руб. превышает наиболее ликвидные активы. Соотношение А1 ≥ П1
не выполняется.
Величина краткосрочных
пассивов на 4753 тыс. руб. меньше, чем быстрореализуемых активов. Соотношение А2
≥ П2 выполняется.
Величина долгосрочных
пассивов на 22255 тыс. руб. меньше, чем медленно реализуемые активы.
Соотношение А3 ≥ П3 выполняется.
Величина постоянных
пассивов на 1807 тыс. руб. меньше, чем трудно реализуемых активов. Соотношение
А4 ≤ П4 не выполняется.
Следовательно,
руководству предприятия нужно больше уделять внимания соотношению данных
показателей, чтобы увеличить скорость превращения активов в денежную
наличность.
В общем случае
платежеспособность оценивают как отношение ликвидных оборотных активов
предприятия к его краткосрочным долговым обязательствам.
Таблица 1.8
Показатели
платежеспособности и ликвидности МУСП «Уртакульское»
| Показатели |
Код строки по балансу и нормативное
значение |
2008 |
2009 |
Изменение
(+,-)
|
|
1. Кратковременные долговые
обязательства Доб, тыс. руб.
|
690-(640+650+660) |
31795 |
37978 |
+6183 |
|
2. Денежные средства и
кратковременные финансовые вложения Дср, тыс. руб.
|
260+(250-251) |
|
- |
- |
|
3. Дебиторская задолженность и
прочие оборотные активы Дз, тыс. руб.
|
260+(250-251)
+230+240+270
|
10207 |
13916 |
+3709 |
|
4. Материальные оборотные средства
Зм, тыс. руб.
|
210-217 |
33356 |
40521 |
+7165 |
|
5. Коэффициент абсолютной
ликвидности Ка.л. (2/1)
|
Ка.л. ≥ 0,2
|
- |
- |
- |
|
6. Коэффициент быстрой ликвидности
Кб.л. ((2+3)/1)
|
0,8 ≤ Кб.л. ≤
1,0
|
0,321 |
0,366 |
+0,045 |
|
7. Коэффициент текущей ликвидности
Кт.л. ((2+3+4)/1)
|
Кт.л. ≥ 2
|
1,370 |
1,433 |
+0,063 |
Коэффициент быстрой
ликвидности находится на уровне ниже нормативных значений. Коэффициент текущей
ликвидности также находится на уровне ниже нормативных значений, и
свидетельствует о неплатежеспособности предприятия.
Однако следует заметить,
что достижение предельных значений коэффициентов ликвидности возможно лишь на
предприятиях, в структуре балансов которых значительный удельный вес занимают
долгосрочные кредиты и займы. Рассматриваемое предприятие к таковым не
относится, так как в структуре его баланса заемных средств, с погашением более
чем через 12 мес., на конец года не имеется.
Рассмотрим рентабельность
работы МУСП «Уртакульское». В широком смысле слова понятие рентабельности
означает прибыльность, доходность. Предприятие считают рентабельным, если
результаты от реализации продукции (работ, услуг) покрывают все его издержки и,
кроме того, дают прибыль, достаточную для расширенного воспроизводства.
Показатели рентабельности
являются относительными и рассчитываются как отношение прибыли к стоимости
используемых предприятием ресурсов. Экономический смысл анализа рентабельности
заключается в оценке (показе) получаемой прибыли с одного рубля вложенного
капитала и выражается группой показателей, которые в наименьшей мере подвержены
влиянию инфляции [6,
с. 158].
Таблица 1.9
Оценка доходности
реализованной продукции
| Показатели |
2008 |
2009 |
Отклонение (+,-) |
| 1. Выручка от реализации продукции
В, тыс. руб. |
27721 |
30190 |
+2469 |
| 2. Полная себестоимость реализации
С, тыс. руб. |
26395 |
25937 |
-458 |
| 3. Прибыль от реализации П, тыс.
руб. (1-2) |
1326 |
4253 |
+2927 |
|
4. Доходность продукции Дп,
% (3/1 *100)
|
4,8 |
14,1 |
+9,3 |
| 5. Величина активов А, тыс. руб. |
110567 |
133134 |
+22567 |
|
6. Коэффициент оборачиваемости
активов Коб, обороты (1/5)
|
0,251 |
0,227 |
-0,024 |
|
7. Рентабельность активов Rа,
% (3/5*100)
|
1,2 |
3,2 |
+2,0 |
|
8. Рентабельность продукции Rп, % (3/2*100)
|
5,0 |
16,4 |
+11,4 |
Из таблицы 1.9 видно, что
с увеличением выручки на 2469 тыс. руб. прибыль увеличилась на 2927 тыс. руб.,
что повлекло за собой повышение доходности на 9,3%.
Рассчитаем влияние на
доходность продаж изменения цены и себестоимости реализованной продукции
способом цепных подстановок.
1.Изменение доходности продаж за счет
изменения цен реализации: ∆Дп (∆р) = ((В0 - Сn) / В0) - ((Вn - Сn) / Вn) = ((30190 - 26395) / 30190) - ((27721 - 26395) /
27721) = 0,126 - 0,048 = 0,078.
2.Изменение доходности объема продаж за
счет увеличения себестоимости реализации: ∆Дп (∆С) = ((В0
- С0) / В0) - ((В0 - Сn) / В0)= ((30190 - 25937)
/ 30190) - ((30190 - 26395) / 30190) = 0,141 - 0,126 = 0,015.
Точность расчетов
подтверждается проверкой совокупного влияния факторов:
∆Дп = ∆Дп
(∆р) + ∆Дп (∆С) =0,078 + 0,015 = 0,093 или
9,3%.
Для оценки
хозяйственно-финансовой деятельности, анализа результативности и эффективности
производства отдельных видов и всей продукции используют показатели (коэффициенты)
рентабельности. Основным принципом расчета этих показателей эффективности
является сопоставление определенных видов прибыли с объемами продаж и
производства, используемыми ресурсами и затратами (себестоимостью).
Показатели оценки
рентабельности предприятия определяются следующим образом:
1)
коэффициент
рентабельности продаж демонстрирует долю чистой прибыли в объеме продаж
предприятия:
· рентабельность продаж = чистая
прибыль / объем продаж
· рентабельность продаж = 4253 / 30190
= 0,141;
2)
коэффициент
рентабельности собственного капитала позволяет определить эффективность
использования капитала, инвестированного собственниками предприятия.
Рентабельность собственного капитала показывает, сколько денежных единиц чистой
прибыли заработала каждая единица, вложенная собственниками компании:
· рентабельность собственного капитала
= чистая прибыль / собственный капитал
· рентабельность собственного капитала
= 4253 / 74117 = 0,057;
3)
коэффициент
рентабельности оборотных активов демонстрирует возможности предприятия в
обеспечении достаточного объема прибыли по отношению к используемым оборотным
средствам компании. Чем выше значение этого коэффициента, тем более эффективно
используются оборотные средства:
· рентабельность оборотных активов =
чистая прибыль / оборотные активы
· рентабельность оборотных активов =
4253 / 56225 = 0,076;
4)
коэффициент
рентабельности внеоборотных активов демонстрирует способность предприятия
обеспечивать достаточный объем прибыли по отношению к основным средствам
компании. Чем выше значение данного коэффициента, тем более эффективно
используются основные средства:
· рентабельность внеоборотных активов =
чистая прибыль / внеоборотные активы
· рентабельность внеоборотных активов =
4253 / 76909 = 0,055.
Подведем итоги:
·
по данным таблицы
1.6 можно судить о кризисном финансовом состоянии, т.к. денежные средства,
краткосрочные ценные бумаги и дебиторская задолженность не покрывают его
кредиторской задолженности и просроченных ссуд (З > Особ + К);
·
по данным таблицы
1.7 видим, что руководству предприятия нужно больше уделять внимания
соотношению активов и пассивов баланса, чтобы увеличить скорость превращения
активов в денежную наличность;
·
коэффициент
быстрой ликвидности находится на уровне ниже нормативных значений. Коэффициент
текущей ликвидности также находится на уровне ниже нормативных значений, и
свидетельствует о неплатежеспособности предприятия;
·
оценили
доходность реализованной продукции. С увеличением выручки на 2469 тыс. руб.
прибыль увеличилась на 2927 тыс. руб., что повлекло за собой повышение
доходности на 9,3%.
В современных условиях
правильное определение реального финансового состояния предприятия имеет
большое значение не только для самого предприятия, его акционеров, но и для
возможных инвесторов.
Систематический контроль
финансового состояния предприятия позволяет оперативно выявлять негативные
стороны в работе предприятия и своевременно принимать действенные меры по
выходу из сложившейся ситуации. Поэтому анализу финансового состояния
предприятия должно уделяться самое пристальное внимание.
2. Обзор литературы по
состоянию рейтингового анализа организации
При различном поведении
показателей важное значение имеет количественное измерение финансового
состояния на основе рейтинговой оценки.
Рейтинговая оценка
финансового состояния может применяться в целях классификации предприятий по
финансовым рискам. Однако эта методика анализа финансового состояния не
учитывает отраслевые особенности. В литературе по финансовому анализу,
применяются различные методики рейтинговой оценки финансового состояния. Самым
распространенным является сравнение с эталонной организацией, имеющей лучшее
значение по всем показателям, т.е. эталоном сравнения являются не субъективные
предположения экспертов в виде нормы, критерия, а сложившиеся в реальной
рыночной экономике наиболее высокие результаты.
Такой подход, указывает
А. Д. Шеремет, соответствует практике, где каждый товаропроизводитель стремится
выглядеть лучше конкурента.
В общем виде алгоритм
сравнительной рейтинговой оценки финансового состояния может быть представлен в
виде следующих операций.
1)
Исходные данные
представляются в виде матрицы (aij), т. е. таблицы, где по строкам записаны
номера показателей (i=1, 2, 3, …n), а по столбцам – номера организации (j=1, 2,
3, …m);
2)
По каждому
показателю находится максимальное значение и заносится в столбец условной
эталонной организации (m+1);
3)
Исходные
показатели матрицы стандартизируются в отношении соответствующего показателя
эталонной организации по формуле
xij = (aij) / (max aij )
где xij – стандартизированные
показатели j-й организации.
4)
Для каждой
организации значение ее рейтинговой оценки определяется по формуле:

где Rj – рейтинговая
оценка для j-ой организации;
x1j, x2j, …, xnj –
стандартизированные показатели j-й организации.
5)
Организации
упорядочиваются (ранжируются) в порядке убывания рейтинговой оценки. Наивысший
рейтинг имеет организация с минимальным значением R. Для применения данного
алгоритма на практике никаких ограничений количества сравниваемых показателей и
организаций не предусмотрено.
На основании изложенного
А.Д. Шеремет указывает требования, которым должна удовлетворять система
финансовых коэффициентов с точки зрения эффективности рейтинговой оценки финансового
состояния.
1)
Финансовые
коэффициенты должны быть максимально информативными и давать целостную картину
устойчивости финансового состояния.
2)
В экономическом
смысле финансовые коэффициенты должны иметь одинаковую направленность
(положительную корреляцию, т. е. рост коэффициента означает улучшение
финансового состояния).
3)
Для всех
показателей должны быть указаны числовые нормативы минимального
удовлетворительного уровня или диапазона изменений.
4)
Финансовые
коэффициенты должны рассчитываться только по данным публичной бухгалтерской
отчетности.
5)
Финансовые
коэффициенты должны давать возможность проводить рейтинговую оценку организации
как в пространстве (т. е. в сравнении с другими организациями), так и во
времени (за ряд периодов).
Н. П. Кондраков оценку
структуры баланса и платежеспособности проводит на основе стандартизированных
значений 2–х показателей:
· коэффициента текущей ликвидности (Кт.
л.);
· коэффициента обеспеченности оборотных
активов собственными источниками (Ксос).
Порядок расчета данных
коэффициентов подробно рассмотрен при анализе ликвидности, платежеспособности и
финансовой устойчивости.
Стандартизированные
значения коэффициентов определяются путем деления на установленную норму:
К т. л.с = (К т. л. по
балансу) / 2,
К сосс = (К сос по
балансу) / 0,1
Затем определяется
рейтинговое число для каждой организации по формуле:

Рассмотрим рейтинговую
оценку организации на начало и на конец года (цифры условные):
| Показатели |
К т. л. по балансу |
Ксос по балансу |
Стандартизированные значения
показателей |
| К т. л.с |
К сосс |
| На начало года |
1,2 |
0,08 |
1,2/2=0,6 |
0,08/0,1=0,8 |
| На конец года |
2,4 |
0,05 |
2,4/2=1,2 |
0,05/0,1=0,5 |
| Критерий |
>=2 |
>=0,1 |
- |
- |

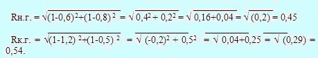
Расчетным путем выявлено,
что Rк.г.>Rн.г. значит финансовое положение ухудшилось в течение года,
платежеспособность снизилась.
Изложенный алгоритм
получения рейтинговой оценки финансового состояния может применяться для
сравнения на дату составления баланса (по данным на конец периода) или в
динамике.
В первом случае исходные
показатели рассчитываются по данным баланса и финансовой отчетности на конец
периода.
Во втором случае
показатели рассчитываются как темповые коэффициенты роста: данные на конец
периода делятся на значения соответствующего показателя на начало периода либо
среднее значение показателя отчетного периода делится на среднее значение
соответствующего показателя предыдущего периода (или другой базы сравнения).
Таким образом, получаем не только оценку текущего состояния организации на
определенную дату, но и оценку её усилий и способностей по изменению этого
состояния в динамике на перспективу. Такая оценка является надежным измерителем
роста конкурентоспособности в данной отрасли деятельности. Она также определяет
более эффективный уровень использования всех ее производственных и финансовых
ресурсов.
Р.С.Сайфулин и Г. Г.
Кадыков предложили использовать для экспресс–оценки финансового состояния
рейтинговое число (R), определяемое по формуле:
R = L / (1/LNi * Ki), i=1
где L – число
показателей;
Ni – критерий (норма) для
i – го коэффициента;
Ki – i – ый коэффициент;
I / LN - весовой индекс i
– того коэффициента
При полном соответствии
значений коэффициентов К1… КL их нормативным минимальным уровням рейтинг
организации будет равен 1, выбранной в качестве рейтинга условной
удовлетворительной организации. Финансовое состояние с рейтинговой оценкой
менее 1 характеризуется как неудовлетворительное.
В случае проведения
пространственной рейтинговой оценки получим n оценок (n – количество
организаций), которые упорядочиваются в порядке возрастания. При проведении
динамической рейтинговой оценки получим m – оценок (m – количество сравниваемых
периодов), которые представляют собой временной ряд и далее подвергаются
обработке по правилам математической статистике.
Авторы предполагают
использовать 5 показателей, наиболее часто применяемых и полно характеризующих
финансовое состояние:
1)
Коэффициент
обеспеченности оборотных активов собственными источниками (критерий данного
коэффициента >= 1).
2)
Коэффициент
текущей ликвидности, характеризует степень общего покрытия (оборотными
активами) суммы срочных обязательств (критерий >= 2).
3)
Интенсивность
оборота авансируемого капитала характеризует объем выручки от реализации
продукции, приходящейся на 1 рубль капитала, определяется по формуле
КИ = выручка от
реализации / общая сумма капитала
критерий >= 2,5
4)
Коэффициент
менеджмента (эффективность управления предприятием) характеризуется
соотношением прибыли от реализации продукции и выручки от реализации,
определяется по формуле:
КМ = прибыль от
реализации / выручка от реализации
критерий >= ( n-1 ) /
r
где r – учетная ставка
Центробанка России
5)
Рентабельность
собственного капитала, характеризует прибыль до налогообложения на 1 рубль
собственного капитала определяется по формуле
КР = прибыль до
налогообложения / собственный капитал
критерий >= 0,2
При полном соответствии
значений финансовых коэффициентов минимальным нормативным уровням (критерию)
рейтинговое число будет равно 1. Финансовое состояние предприятий с рейтинговым
числом менее 1 характеризуется как неудовлетворительное.
Согласно формуле R= L /
(1/LNi * Ki) рейтинговое число, определяемое на основе 5 вышеуказанных коэффициентов,
выглядит следующим образом:
R = 2 х КСОС + 0, 1 х КТЛ
+ 0,08 х КИ + 0,45 х КМ + КР
Н.П. Кондраков предлагает
рейтинговую оценку (R) финансовой (рыночной) устойчивости проводить на основе
шести основных показателей:
1)
Коэффициент
автономии:
Ка = собственный капитал
/ общая стоимость источников
2)
Коэффициент
маневренности собственного капитала (мобильности):
Кмоб. = собственные
оборотные средства / собственный капитал
3)
Коэффициент
обеспеченности оборотных активов собственными источниками:
Ксос = собственные
оборотные средства /оборотные активы
4)
Коэффициент
устойчивости экономического роста:
Куэр = (чистая прибыль -
дивиденды выплаченные акционерам) / Собственный капитал
5)
Коэффициент
чистой выручки:
Кчв = (чистая прибыль +
амортизация) / выручка от реализации продукции
6)
Коэффициент
соотношения производственных активов к стоимости имущества:
Кп/к = производственные
активы / общая стоимость имущества
Для получения рейтинговой
оценки (R) используется формула:

Учитывая многообразие
финансовых процессов, множественности показателей финансовой устойчивости,
различие в уровне их критических оценок, складывающуюся степень отклонения от
них фактических значений коэффициентов и возникающие в связи с этим сложности в
общей оценке финансовой устойчивости организаций, многие отечественные и
зарубежные аналитики рекомендуют производить интегральную балльную оценку
финансовой устойчивости. Л.В. Донцова предлагает использовать 6 показателей.
Сущность такой методики
заключается в классификации организаций по уровню риска, т. е. любая
анализируемая организация может быть отнесена к определенному классу в
зависимости от «набранного” количества баллов исходя и из фактических значений
показателей финансовой устойчивости.
Итак:
I класс – организация,
чьи кредиты и обязательства подкреплены информацией, позволяющей быть
уверенными в возврате кредитов и выполнении других обязательств в соответствии
с договорами с хорошим запасом на возможную ошибку.
II класс – организации,
демонстрирующие некоторый уровень риска по задолженности и обязательствам и
обнаруживающие определенную слабость финансовых показателей и
кредитоспособности. Эти организации еще не рассматриваются как рискованные.
III класс – это
проблемные организации. Вряд ли существует угроза потери средств, но полное
получение процентов, выполнение обязательств представляется сомнительным.
IV класс – это
организация особого внимания, так как имеется риск при взаимоотношении с ними.
Организации, которые могут потерять средства и проценты даже после принятия мер
к оздоровлению бизнеса.
V класс – организации
высочайшего риска, практически неплатежеспособные.
3. Рейтинговый анализ
предприятия 2007-2009 гг.
3.1 Анализ финансового
состояния предприятия 2007-2009 гг.
Анализ финансового
состояния предприятия необходим не только для того, чтобы знать, в каком
положении находится предприятие на тот или иной отрезок времени, но и для
эффективного управления с целью обеспечения финансовой устойчивости предприятия.
Основным источником
информации об устойчивости финансового состояния является бухгалтерская
отчетность. Цель анализа бухгалтерского отчета – возможно глубже заглянуть во
внутренние и внешние отношения хозяйствующего субъекта, выявить его финансовое
положение, его платежеспособность и доходность.
Платежеспособность – это
проявление финансовой устойчивости, которое отражает способность предприятия
своевременно и полностью выполнять свои платежные обязательства.
Кредитоспособным является
предприятие, которое имеет все предпосылки получить кредит и способно
своевременно возвратить взятую ссуду с уплатой процентов за счет прибыли или
других финансовых источников, возможно, заемных средств.
Под общей устойчивостью
предприятия можно понимать и такое его состояние, когда предприятие стабильно,
на протяжении достаточно длительного периода времени выпускает и реализует
конкурентоспособную продукцию, получает чистую прибыль, достаточную для
производственного и социального развития предприятия, является ликвидным и
кредитоспособным.
Из этих определений можно
сделать вывод, что финансовая устойчивость является комплексным и наиболее
важным критерием, характеризующим финансовое состояние предприятия.
В результате
осуществления какой-либо хозяйственной операции финансовое состояние
предприятия может измениться. Знание границ изменения источников средств,
направляемых в основные фонды или производственные запасы, позволяет
генерировать такие потоки хозяйственных операций, которые могут привести к
улучшению финансового состояния предприятия, к повышению его устойчивости.
Различают четыре типа
финансовой устойчивости предприятия.
Абсолютная устойчивость –
крайне редкое для сельскохозяйственных предприятий положение, которое
выражается соотношением:
З < Особ +
К
Нормальная устойчивость,
гарантирующая платежеспособность, соответствует условию:
З = Особ + К
Неустойчивое финансовое
состояние, характеризующееся нарушением платежеспособности, при котором
сохраняется возможность восстановления равновесия за счет пополнения источников
собственных средств и увеличения Особ:
З = Особ + К
+Иосл
Финансовая неустойчивость
считается нормальной (допустимой), если величина Иосл в виде
краткосрочных кредитов и других заемных средств не превышает суммарной
стоимости сырья, материалов и готовой продукции, т.е. выполняются условия:
Зс + Зт.п
≥ К,
Зн.п + Зб.п
≤ Сд.
Кризисное финансовое
состояние, при котором предприятие находится на грани банкротства, т.к.
денежные средства, краткосрочные ценные бумаги и дебиторская задолженность не
покрывают его кредиторской задолженности и просроченных ссуд:
З > Особ +
К
Рассмотрим финансовое
состояние МУСП «Уртакульское».
Таблица 3.1.
Оценка финансовой
устойчивости МУСП «Уртакульское» за 2008-2009 г., тыс. руб.
| Показатели |
2008 |
2009 |
Изменение (+,-) |
| 1. Источники формирования
собственных средств |
69494 |
74117 |
+4623 |
| 2. Внеоборотные активы |
65216 |
76909 |
+11693 |
| 3. Наличие собственных оборотных
средств (1-2) |
4278 |
-2792 |
-7070 |
| 4. Долгосрочные пассивы |
8533 |
20054 |
+11521 |
| 5. Наличие собственных и долгосрочных
заемных источников формирования средств (3+4) |
12811 |
17262 |
+4451 |
| 6. Краткосрочные кредиты и займы |
12140 |
9163 |
-2977 |
| 7. Общая сумма основных источников
средств для формирования запасов (5+6) |
24951 |
26425 |
+1474 |
| 8. Общая величина запасов и затрат |
33356 |
40521 |
+7165 |
| 9. Излишек (+) /недостаток (-)/
собственных оборотных средств (3-8) |
-29078 |
-43313 |
-14235 |
| 10. Итого собственных оборотных и
долгосрочных заемных источников средств (5-8) |
-20545 |
-23259 |
-2714 |
| 11. Источники средств для
формирования запасов и затрат (7-8) |
-8405 |
-14096 |
-5691 |
По данным таблицы 3.1.
можно судить о кризисном финансовом состоянии, т.к. денежные средства,
краткосрочные ценные бумаги и дебиторская задолженность не покрывают его
кредиторской задолженности и просроченных ссуд (З > Особ + К).
Одним из показателей,
характеризующих финансовое положение предприятия, является его
платежеспособность, т.е. возможность наличными денежными средствами
своевременно погашать свои платежные обязательства.
При хорошем финансовом
состоянии предприятие устойчиво платежеспособно; при плохом – периодически или
постоянно неплатежеспособно. Самый лучший вариант, когда у предприятия всегда
имеются свободные денежные средства, достаточные для погашения имеющихся
обязательств. Но предприятие является платежеспособным и в том случае, когда
свободных денежных средств у него недостаточно или они вовсе отсутствуют, но
предприятие способно быстро реализовать свои активы и расплатиться с
кредиторами.
К наиболее ликвидным
активам А1 относятся все статьи денежных средств, которые могут быть
использованы для немедленного выполнения предприятием текущих расчетов. В эту
группу включают также краткосрочные финансовые вложения (ценные бумаги).
Быстро реализуемые активы
А2 в основном состоят из дебиторской задолженности, платежи по
которой ожидаются в течение 12 мес. после отчетной даты, и некоторых других.
Медленно реализуемые
активы А3 – наименее ликвидные активы, к которым относят запасы,
дебиторская задолженность, платежи по которой ожидаются более чем через 12 мес.
после отчетной даты, налог на добавленную стоимость по приобретенным ценностям
за минусом статьи по расходам будущих периодов.
Трудно реализуемые активы
А4 – активы предприятия, которые предназначены для использования в
хозяйственной деятельности в течение продолжительного периода времени, т.е. «Внеоборотные
активы».
Пассивы баланса по
степени возрастания сроков погашения обязательств группируют следующим образом:
· наиболее срочные обязательства П1
– кредиторская задолженность, платежи по дивидендам, прочие краткосрочные
обязательства, а также ссуды, не погашенные в срок (по данным приложений к
бухгалтерскому балансу);
· краткосрочные пассивы П2 –
краткосрочные заемные кредиты банков и прочие займы, подлежащие погашению в
течение 12 мес. после отчетной даты;
· долгосрочные пассивы П3 –
долгосрочные заемные кредиты и прочие долгосрочные пассивы (итог IV раздела
баланса «Долгосрочные пассивы»);
· постоянные пассивы П4 –
статьи III раздела баланса «Капитал и резервы» и отдельные статьи VI раздела
баланса, не вошедшие в предыдущие группы: «Доходы будущих периодов», «Фонды
потребления», «Резервы предстоящих расходов и платежей» [8, с. 66].
Соотношение активов и
пассивов баланса должно быть следующим А1 ≥ П1; А2
≥ П2; А3 ≥ П3; А4 ≤
П4.
Проанализируем в таблице
3.2., какое соотношение имеют актив и пассив баланса в МУСП «Уртакульское».
Таблица 3.2.
Группировка активов и
обязательств за 2008-2009 гг.
| Актив |
2008 |
2009 |
Пассив |
2008 |
2009 |
Платежный излишек или недостаток |
| 2008 |
2009 |
| 1. Наиболее ликвидные активы |
- |
- |
1. Наиболее срочные обязательства |
19655 |
28815 |
-19655 |
-28815 |
| 2. Быстро реализуемые активы |
10207 |
13916 |
2. Краткосрочные пассивы |
12140 |
9163 |
-1933 |
4753 |
| 3. Медленно реализуемые активы |
35144 |
42309 |
3. Долгосрочные пассивы |
8533 |
20054 |
26611 |
22255 |
| 4. Трудно реализуемые активы |
65216 |
76909 |
4. Постоянные пассивы |
70239 |
75102 |
-5023 |
1807 |
| Баланс |
110567 |
133134 |
Баланс |
110567 |
133134 |
0 |
0 |
Из данных таблицы 3.2.
следует, что в 2009 году величина наиболее срочных обязательств на 28815 тыс.
руб. превышает наиболее ликвидные активы. Соотношение А1 ≥ П1
не выполняется.
Величина краткосрочных
пассивов на 4753 тыс. руб. меньше, чем быстрореализуемых активов. Соотношение А2
≥ П2 выполняется.
Величина долгосрочных
пассивов на 22255 тыс. руб. меньше, чем медленно реализуемые активы.
Соотношение А3 ≥ П3 выполняется.
Величина постоянных
пассивов на 1807 тыс. руб. меньше, чем трудно реализуемых активов. Соотношение
А4 ≤ П4 не выполняется.
Следовательно,
руководству предприятия нужно больше уделять внимания соотношению данных
показателей, чтобы увеличить скорость превращения активов в денежную
наличность.
В общем случае
платежеспособность оценивают как отношение ликвидных оборотных активов
предприятия к его краткосрочным долговым обязательствам.
Таблица 3.3.
Показатели
платежеспособности и ликвидности МУСП «Уртакульское»
| Показатели |
Код строки по балансу и
нормативное значение |
2008 |
2009 |
Изменение
(+,-)
|
|
1. Кратковременные долговые
обязательства Доб, тыс. руб.
|
690-(640+650+660) |
31795 |
37978 |
+6183 |
|
2. Денежные средства и
кратковременные финансовые вложения Дср, тыс. руб.
|
260+(250-251) |
|
- |
- |
|
3. Дебиторская задолженность и
прочие оборотные активы Дз, тыс. руб.
|
260+(250-251)
+230+240+270
|
10207 |
13916 |
+3709 |
|
4. Материальные оборотные средства
Зм, тыс. руб.
|
210-217 |
33356 |
40521 |
+7165 |
|
5. Коэффициент абсолютной
ликвидности Ка.л. (2/1)
|
Ка.л. ≥ 0,2
|
- |
- |
- |
|
6. Коэффициент быстрой ликвидности
Кб.л. ((2+3)/1)
|
0,8 ≤ Кб.л. ≤
1,0
|
0,321 |
0,366 |
+0,045 |
|
7. Коэффициент текущей ликвидности
Кт.л. ((2+3+4)/1)
|
Кт.л. ≥ 2
|
1,370 |
1,433 |
+0,063 |
Коэффициент быстрой
ликвидности находится на уровне ниже нормативных значений. Коэффициент текущей
ликвидности также находится на уровне ниже нормативных значений, и
свидетельствует о неплатежеспособности предприятия.
Однако следует заметить,
что достижение предельных значений коэффициентов ликвидности возможно лишь на
предприятиях, в структуре балансов которых значительный удельный вес занимают
долгосрочные кредиты и займы. Рассматриваемое предприятие к таковым не
относится, так как в структуре его баланса заемных средств, с погашением более
чем через 12 мес., на конец года не имеется.
Рассмотрим рентабельность
работы МУСП «Уртакульское». В широком смысле слова понятие рентабельности
означает прибыльность, доходность. Предприятие считают рентабельным, если
результаты от реализации продукции (работ, услуг) покрывают все его издержки и,
кроме того, дают прибыль, достаточную для расширенного воспроизводства.
Показатели рентабельности
являются относительными и рассчитываются как отношение прибыли к стоимости
используемых предприятием ресурсов. Экономический смысл анализа рентабельности
заключается в оценке (показе) получаемой прибыли с одного рубля вложенного
капитала и выражается группой показателей, которые в наименьшей мере подвержены
влиянию инфляции.
Таблица 3.4.
Оценка доходности
реализованной продукции
| Показатели |
2008 |
2009 |
Отклонение (+,-) |
| 1. Выручка от реализации продукции
В, тыс. руб. |
27721 |
30190 |
+2469 |
| 2. Полная себестоимость реализации
С, тыс. руб. |
26395 |
25937 |
-458 |
| 3. Прибыль от реализации П, тыс.
руб. (1-2) |
1326 |
4253 |
+2927 |
|
4. Доходность продукции Дп,
% (3/1 *100)
|
4,8 |
14,1 |
+9,3 |
| 5. Величина активов А, тыс. руб. |
110567 |
133134 |
+22567 |
|
6. Коэффициент оборачиваемости
активов Коб, обороты (1/5)
|
0,251 |
0,227 |
-0,024 |
|
7. Рентабельность активов Rа,
% (3/5*100)
|
1,2 |
3,2 |
+2,0 |
|
8. Рентабельность продукции Rп, % (3/2*100)
|
5,0 |
16,4 |
+11,4 |
Из таблицы 3.4. видно,
что с увеличением выручки на 2469 тыс. руб. прибыль увеличилась на 2927 тыс.
руб., что повлекло за собой повышение доходности на 9,3%.
Рассчитаем влияние на
доходность продаж изменения цены и себестоимости реализованной продукции
способом цепных подстановок.
3.Изменение доходности продаж за счет
изменения цен реализации: ∆Дп (∆р) = ((В0 - Сn) / В0) - ((Вn - Сn) / Вn) = ((30190 - 26395) / 30190) - ((27721 - 26395) /
27721) = 0,126 - 0,048 = 0,078.
4.Изменение доходности объема продаж за
счет увеличения себестоимости реализации: ∆Дп (∆С) = ((В0
- С0) / В0) - ((В0 - Сn) / В0)= ((30190 - 25937)
/ 30190) - ((30190 - 26395) / 30190) = 0,141 - 0,126 = 0,015.
Точность расчетов
подтверждается проверкой совокупного влияния факторов:
∆Дп = ∆Дп
(∆р) + ∆Дп (∆С) =0,078 + 0,015 = 0,093 или
9,3%.
Для оценки
хозяйственно-финансовой деятельности, анализа результативности и эффективности
производства отдельных видов и всей продукции используют показатели
(коэффициенты) рентабельности. Основным принципом расчета этих показателей
эффективности является сопоставление определенных видов прибыли с объемами
продаж и производства, используемыми ресурсами и затратами (себестоимостью).
Показатели оценки
рентабельности предприятия определяются следующим образом:
2)
коэффициент
рентабельности продаж демонстрирует долю чистой прибыли в объеме продаж предприятия:
· рентабельность продаж = чистая
прибыль / объем продаж
· рентабельность продаж = 4253 / 30190
= 0,141;
3)
коэффициент
рентабельности собственного капитала позволяет определить эффективность
использования капитала, инвестированного собственниками предприятия.
Рентабельность собственного капитала показывает, сколько денежных единиц чистой
прибыли заработала каждая единица, вложенная собственниками компании:
· рентабельность собственного капитала
= чистая прибыль / собственный капитал
· рентабельность собственного капитала
= 4253 / 74117 = 0,057;
4)
коэффициент
рентабельности оборотных активов демонстрирует возможности предприятия в
обеспечении достаточного объема прибыли по отношению к используемым оборотным
средствам компании. Чем выше значение этого коэффициента, тем более эффективно
используются оборотные средства:
· рентабельность оборотных активов =
чистая прибыль / оборотные активы
· рентабельность оборотных активов =
4253 / 56225 = 0,076;
5)
коэффициент
рентабельности внеоборотных активов демонстрирует способность предприятия
обеспечивать достаточный объем прибыли по отношению к основным средствам
компании. Чем выше значение данного коэффициента, тем более эффективно
используются основные средства:
· рентабельность внеоборотных активов =
чистая прибыль / внеоборотные активы
· рентабельность внеоборотных активов =
4253 / 76909 = 0,055.
Подведем итоги:
·
по данным таблицы
3.1. можно судить о кризисном финансовом состоянии, т.к. денежные средства,
краткосрочные ценные бумаги и дебиторская задолженность не покрывают его
кредиторской задолженности и просроченных ссуд (З > Особ + К);
·
по данным таблицы
3.2. видим, что руководству предприятия нужно больше уделять внимания
соотношению активов и пассивов баланса, чтобы увеличить скорость превращения
активов в денежную наличность;
·
коэффициент
быстрой ликвидности находится на уровне ниже нормативных значений. Коэффициент
текущей ликвидности также находится на уровне ниже нормативных значений, и
свидетельствует о неплатежеспособности предприятия;
·
оценили
доходность реализованной продукции. С увеличением выручки на 2469 тыс. руб.
прибыль увеличилась на 2927 тыс. руб., что повлекло за собой повышение
доходности на 9,3%.
В современных условиях
правильное определение реального финансового состояния предприятия имеет
большое значение не только для самого предприятия, его акционеров, но и для
возможных инвесторов.
Систематический контроль
финансового состояния предприятия позволяет оперативно выявлять негативные
стороны в работе предприятия и своевременно принимать действенные меры по
выходу из сложившейся ситуации. Поэтому анализу финансового состояния
предприятия должно уделяться самое пристальное внимание.
3.2 Рейтинговый анализ
предприятия 2007-2009 гг.
Одним из вариантов
анализа, позволяющего получить комплексную оценку финансового состояния
предприятий и провести их сравнение, является рейтинговый анализ. Рейтинг – это
метод сравнительной оценки деятельности нескольких предприятий. Итоговая
рейтинговая оценка учитывает все важнейшие параметры (показатели) финансовой и
производственной деятельности в целом. При её построении используются данные о
производственном потенциале предприятия, рентабельности его продукции,
эффективности использования производственных и финансовых ресурсов, состоянии и
размещении средств, их источниках и другие показатели.
Для определения рейтинга
МУСП «Уртакульское» применим метод многомерного рейтингового анализа, используя
показатели, представленные в таблице 3.5.
Методику сравнительной
рейтинговой оценки предприятия можно рассмотреть в виде следующего алгоритма:
1) Исходные данные записываются в виде
матрицы (аij), т.е. таблицы, где по строкам записаны номера показателей
(i=1,2,3…n), а по столбцам – номера предприятий (j=1,2,3…m).
2) По каждому показателю находится
максимальное значение и заносится в условный столбец m+1.
3) Исходные показатели матрицы аij
стандартизируются в отношении соответствующего показателя эталонного года по
формуле:
Хij=аij/max aij,
где хij –
стандартизированные показатели финансового состояния i- предприятия.
4) Значение рейтинговой оценки каждого
предприятия рассчитывается по формуле:
Rj=Ö(1-x1j)2+(1-x2j)2+…+(1-xnj)2,
где Rj –рейтинговая
оценка для i-го предприятия;
x1j,…,xnj –
стандартизированные показатели j–го анализируемого предприятия.
5) Предприятия упорядочиваются
(ранжируются) в порядке убывания рейтинговой оценки, т.е. наивысший рейтинг
будет иметь предприятие с минимальным значением рейтинговой оценки.
Изложенный алгоритм
получения рейтинговой оценки финансового состояния предприятия может
применяться для сравнения предприятий на дату составления баланса или в
динамике. В данном случае для оценки финансового состояния предприятия
рассмотрим его развитие в динамике по предприятиям (см. табл. 3.6.).
Таблица 3.6.
Матрица исходных данных
| Показатели |
Предприятие |
Эталон |
| МУСП «Уртакульское» |
СПК им. Матросова |
ООО «Маяк» |
| Произведено валовой продукции на 1
работника растениеводства, тыс. руб. |
434,6 |
485,5 |
410,2 |
485,5 |
| Произведено валовой продукции на 1
работника животноводства, тыс. руб. |
478,5 |
515,4 |
399,6 |
515,4 |
| Затраты труда на производство 1ц
зерна, чел.-ч |
0,85 |
0,6 |
0,9 |
0,6 |
| Затраты труда на производства 1ц
молока, чел.-ч |
2,4 |
2,1 |
2,5 |
2,1 |
Таблица 3.7.
Расчет
стандартизированных коэффициентов и рейтинговой оценки
| Показатели |
Предприятие |
| МУСП «Уртакульское» |
СПК им. Матросова |
ООО «Маяк» |
| Произведено валовой
продукции на 1 работника растениеводства, тыс. руб. |
0,9 |
1 |
0,84 |
| Произведено валовой
продукции на 1 работника животноводства, тыс. руб. |
0,93 |
1 |
0,76 |
| Затраты труда на производство
1ц зерна, чел.-ч |
1,42 |
1 |
1,5 |
| Затраты труда на
производства 1ц молока, чел.-ч |
1,1 |
1 |
1,19 |
R МУСП «Уртакульское» =Ö(1-0,9)2+(1-0,93)2+(1-1,42)2+(1-1,1)2
=Ö0,2454= 0,5
R СПК им. Матросова =Ö(1-1)2+(1-1)2+(1-1)2+(1-1)2
=0
R ООО «Маяк» =Ö(1-0,84)2+(1-0,76)2+(1-1,5)2+(1-1,19)2
=Ö0,3693=0,6
Из вышеуказанных расчетов
можно сделать вывод, что наименьшая рейтинговая оценка у предприятия СПК им.
Матросова, т.е. это предприятие можно считать эталонным.
3.3 Пути улучшения
рейтинга предприятия
Основной целью
функционирования большинства организаций во всём мире является получение
прибыли. Для этого предприятие увеличивает свою долю рынка и снижает издержки.
Это выражается в проведении более грамотной и умелой маркетинговой политике и
составления более эффективной производственной программы.
Кроме этого предприятию необходимо
более продуманно подходить к управлению денежными потоками на предприятии.
Увеличение кредиторской задолженности на предприятии не очень нравиться
кредиторам и собственникам (акционерам), что может привести к проблемам финансирования
операционной деятельности. Наличие большого количества свободных денежных
средств на счетах предприятия, как правило, говорит не о том, что у предприятия
хорошо обстоят дела с финансированием, а о том, что предприятие расточительно
использует денежные ресурсы.
Двумя основными
показателями работы предприятия являются показатели рентабельности капитала и
текущая ликвидность. Очевидно, что для увеличения этих показателей нужно
увеличивать прибыль и оборотные средства, и снижать валюту баланса вместе с
краткосрочными кредиторскими обязательствами. Эти вещи взаимно противоположные:
увеличение первой группы ведёт к увеличению второй; точно так же попытки
снизить вторую группу ведут к снижению первой.
Найти оптимальное
соотношение между этими значениями – основная цель финансового менеджмента на
предприятиях в настоящее время.
Заключение
Безусловно, интерес к
подходам, методам и процедурам оценки финансового состояния предприятий с
развитием рыночной среды в российских условиях будет только возрастать. С необходимостью
должны появиться модели и алгоритмы, построенные на данных отечественной
финансовой статистики, ориентированные на российские принципы учета и специфику
деловой активности. Подобная деятельность рано или поздно потребует построения стройной
единой теории финансовой оценки с глубокой проработкой фундаментальных
положений, аксиоматики, фиксацией специфического лексикона, выработкой
механизмов построения выводов и обоснования финансовых решений.
Цель курсовой работы
заключалась в анализе и оценке оборотных средств МУСП «Уртакульское»
Буздякского района Республики Башкортостан. Проводимые анализы основывались на
данных отчетности о финансово-экономическом состоянии товаропроизводителей
агропромышленного комплекса за 2007-2009 гг.
Отметили, что Буздякский
административный район расположен на западе Республики Башкортостан и относится
к степной природно-климатической зоне. Район преимущественно аграрный. Климат
района умеренно континентальный, характеризующийся умеренно холодной снежной
зимой и сравнительно жарким летом. В аграрном отношении почвы Буздякского района
являются в большинстве пригодными для всестороннего сельскохозяйственного
использования.
Дали общую характеристику
МУСП «Уртакульское». Провели анализ использования основных средств, трудовых
ресурсов, организационно-правовой характеристики, финансового состояния
предприятия.
Анализ данных
свидетельствуют о том, что на предприятии наблюдается движение основных фондов,
связанное больше с расширением активной части. Коэффициент ввода почти в 3 раза
опережает коэффициент выбытия. Это обеспечило прирост фондов в целом на 11744
тыс. руб. или на 15,0% по сравнению с предыдущим годом. Но за последние годы
замедлились темпы обновления основных производственных фондов, что негативно
отразилось на хозяйственной деятельности предприятия. Численность работников за
анализируемый период увеличилась в целом по хозяйству на 24 человек. Это
связано с увеличением поголовья сельскохозяйственных животных и с увеличением
обрабатываемых земельных площадей. Рассматриваемое МУСП «Уртакульское» является
муниципальным унитарным сельскохозяйственным предприятием, основанное на праве
хозяйственного ведения. Руководству предприятия нужно больше уделять внимания
соотношению активов и пассивов баланса, чтобы увеличить скорость превращения
активов в денежную наличность. Коэффициенты ликвидности находятся на уровне
ниже нормативных значений, и свидетельствуют о неплатежеспособности
предприятия.
В данной работе
предпринята попытка рассмотреть наиболее интересные идеи в оценке финансового
состояния, которые нашли признание в мировой экономической науке и практике,
некоторым образом классифицировать существующие методики, адаптировать их
расчетные алгоритмы к российской специфике и сформировать на их основе
комплексную систему оценки финансового состояния, которая позволила бы
всесторонне изучать финансовые грани предприятий и, в конечном итоге,
способствовала бы повышению общего качества принимаемых управленческих решений
как на уровне отдельных подразделений, так и в экономике в целом.
Список использованной
литературы
1)
Баканов М.И.,
Шеремет А.Д Теория экономического анализа Учебник. - М.: Финансы и статистика
2007. – 288 с.
2)
Балабанов И.Г.
Анализ и планирование финансов хозяйствующего субъекта. - М.: Финансы и
статистика, 2007. – 112 с.
3)
Басовский Л.Е.
Лунева, А.М. и др., Экономический анализ. Учеб. пособие / Под ред Басовского
Л.Е. - М.: ИНФРА М, 2008- 222 с.
4)
Бердникова Т.Б.
Анализ и диагностика финансово-хозяйственной деятельности предприятия Учебное
пособие. - М.: ИНФРА-М, 2008– 215 с.
5)
Бурмистрова Л.М.
Финансы организаций: Учеб. пособие. - М.: ИНФРА-М., 2007. – 240 с.
6)
Григорьева Е.М.,
Перепочкина Е.Г., Финансы корпораций. Учеб. пособие/под ред. Токарева Г.А. –
М.: Финансы и статистика, 2008 – 288 с.
7)
Ермолович Л.Л.,
Сивчик Т.Д., и др. Анализ хозяйственной деятельности предприятия Учеб
пособие/под ред Ермолович Л.Л. – Мн.: Экоперспектива, 2008– 576 с.
8)
Канке А.А.,
Кошевая И.П. Анализ финансово-хозяйственной деятельности предприятия Учебное
пособие – М.: ФОРУМ ИНФРА-М, 2007 – 288 с.
9)
Ковалев В.В.
Волкова О.Н. Анализ хозяйственной деятельности предприятия. Учебник – М.:
Проспект, 2008- 421 с.
10)
Ковалев В.В.
Финансовый анализ: методы и процедуры. -М.: Финансы и статистика, 2007 - 559 с.
11)
Комплексный
экономический анализ хозяйственной деятельности: учеб. пособ./под ред. Алексеева
А.И., Васильев Ю.В., Малеева А.В., Ушвицкий Л.И.. – М: КНОРУС, 2007. – 672 с.
12)
Крейнина М.Н.
Финансовый менеджмент. Учеб пособие. –М.: Дело и Сервис, 2008. - 304 с.
13)
Любушин Н.П.
Лещева В.Б., Дьякова В.Г. Теория экономического анализа Учебно-методический
комплекс/под ред. проф. Любушина Н.П. – М.: Юрист, 2007 – 480 с.
14)
Пястолов С.М.
Анализ финансово хозяйственной деятельности предприятия /Пястолов С.М.. Учеб.
для образоват. учреждений сред. проф. образования по специальностям 0601 «Экономика,
бухгалтерский учет и контроль 0602 Менеджмент».- М.: Мастерство, 2008. -631 с
15)
Савицкая Г.В.
Экономический анализ 8-е изд., перераб. и доп. – Мн.: ООО «Новое знание», 2007.
- 688 с.
16)
Савицкая Г.В.
Анализ хозяйственной деятельности предприятия 2-е изд испр и доп – М.: ИНФРА-М,
2008. – 400 с.
17)
Финансы. Учеб.
пособ./под ред. Ковалевой А.М.. 5-е изд. Переаб и доп. – М.: Финансы и
статистика, 2007. – 416 с.
18)
Шеремет А.Д,
Сайфулин Р.С., Негашев Е.В., Методика финансового анализа, 3 е изд, перераб. и
доп. – М.:- ИНФРА- М, 2008. -208 с.
19)
Шеремет А.Д.,
Сайфулин P.C.. Финансы предприятий. Учеб. пособие для претендентов на получение
квалиф. аттест. аудитора и проф.бухгалтера, а также для экон. спец-й вузов –М.:
ИНФРА-М. 2007. -324 с
20)
Экономический анализ.
Учебник для вузов/под ред. Гиляровской Л.Т. - 2-е изд, доп – М.: ЮНИТИ-ДАНА,
2007. - 615 с.
Приложение 1
Статья: Рейтинговая
оценка финансового состояния предприятия («Экономический анализ: теория и
практика», 2007, N 6)
РЕЙТИНГОВАЯ ОЦЕНКА
ФИНАНСОВОГО СОСТОЯНИЯ ПРЕДПРИЯТИЯ
В настоящее время
существует большое число методик анализа и оценки финансового состояния
предприятия. Большинство из них построены на основе анализа финансовых
коэффициентов и дают возможность оценки текущего финансового состояния
предприятия. Результатами такого анализа, как правило, могут воспользоваться
только внутренние службы предприятия для принятия определенных управленческих
решений. Но данные финансового анализа важны и необходимы и для внешних
пользователей информации (банков, потенциальных клиентов, инвесторов и т.д.). В
этой связи возникает потребность в создании методики анализа финансового
состояния, отражающей не только уровень текущего финансового состояния
предприятия, но и кредитоспособность организации, степень развития предприятия.
А также, по-нашему мнению, такая методика должна дать итоговое заключение о
степени устойчивости финансового состояния предприятия на основании рейтинговой
оценки.
Разработанные нами
методика и модель финансов стабильного предприятия состоят из следующих этапов:
1) общая оценка
финансового состояния предприятия на основе сравнительного аналитического
баланса;
2) оценка эффективности
использования заемных средств путем расчета эффекта финансового рычага;
3) анализ финансовой
устойчивости на основе абсолютных показателей;
4) расчет и анализ
финансовых коэффициентов;
5) анализ финансовых
результатов;
6) выводы и предложения.
Далее рассмотрим более
подробно каждый этап и определим уровень показателей, характерный для
экономически стабильного предприятия.
1. Общая оценка
финансового состояния предприятия на основе сравнительного аналитического
баланса дает возможность получить первичные сведения о финансовом состоянии
предприятия, которые характеризуют стоимость имущества предприятия, состав, динамику
и структуру активов и пассивов баланса. Относительные показатели сравнительного
аналитического баланса дают возможность осуществить горизонтальный, а также
вертикальный анализ, которые позволяют:
- проводить сравнение
результатов работы коммерческой организации с показателями работы за прошлые
годы (отчетные периоды) данной организации, других предприятий отрасли, а также
со среднеотраслевыми и нормативными значениями;
- сгладить влияние
инфляционной составляющей, которая искажает абсолютные показатели финансовой
отчетности, тем самым затрудняя сопоставление результатов в динамике.
Оптимальные динамика и
структура баланса характеризуются наличием собственных оборотных средств,
ростом валюты баланса (в связи с расширением хозяйственной деятельности, а не в
связи с ростом инфляции) и другими критериями.
2. Оценка эффективности
использования заемных средств путем расчета эффекта финансового рычага, который
представляет собой приращение рентабельности собственных средств за счет
использования заемных средств, несмотря на платность последних, позволяет
определить, насколько выгодно предприятию привлекать заемные средства
(краткосрочные и долгосрочные кредиты и займы). Если эффект финансового рычага
больше нуля, то привлечение кредитов и займов для предприятия выгодно, т.е.
рентабельность собственных средств увеличивается по сравнению с экономической
рентабельностью на величину данного эффекта. Если же эффект финансового рычага
меньше нуля, то привлечение кредитов невыгодно, так как уменьшает
рентабельность собственных средств по сравнению с экономической
рентабельностью. Исходя из этого, нужно регулировать дифференциал и плечо
финансового рычага, т.е. структуру пассивов баланса.
3. Анализ финансовой
устойчивости на основе абсолютных показателей может проводиться по двум
методикам: А.Д. Шеремета и В.В. Ковалева. На основании предложенных методик
есть возможность определить степень финансовой устойчивости предприятия и
наметить конкретные шаги по ее улучшению посредством оптимизации структуры и
динамики активов и пассивов баланса.
4. Расчет и анализ
финансовых коэффициентов включает в себя такие группы коэффициентов, как:
коэффициенты финансовой устойчивости, коэффициенты ликвидности, коэффициенты
рентабельности и коэффициенты деловой активности.
Их расчет и анализ
позволяют сравнить их значения со значениями за прошлые периоды времени,
среднеотраслевыми, нормативными значениями, дать комплексную оценку финансового
положения предприятия, а также разработать конкретные мероприятия для их
улучшения в целях стабилизации финансового состояния организации.
5. Анализ финансовых
результатов проводится на основании формы бухгалтерской отчетности «Отчет о
прибылях и убытках» и дает возможность судить об эффективности работы
организации за определенный промежуток времени (квартал, полугодие, год).
Анализ позволяет определить, за счет чего была получена прибыль (убыток) в том
или ином отчетном периоде, и определить динамику роста (падения) прибыли.
6. Выводы и предложения
являются заключительным этапом финансовой диагностики и направлены на
определение итогового заключения о финансовом состоянии организации, а именно
заключения о финансово-экономических возможностях (экономическом потенциале)
предприятия, а также на выработку конкретных мероприятий, направленных на
улучшение финансового состояния организации. Результатом данного
заключительного этапа анализа является рейтинговая оценка финансового состояния
предприятия, на основании проведения которой можно будет отнести предприятие к
конкретной группе финансовой устойчивости, дать заключение о его финансовом
состоянии и выработать рекомендации по его улучшению. Для проведения
рейтинговой оценки в табл. 1 представлены классы критериального уровня
показателей финансового состояния предприятия.
Таблица 1
Классы критериального
уровня показателей финансового состояния предприятия
| Показатель |
Доля показателя в совокупности всех
показателей, % |
Классы критериального уровня |
| 1 |
2 |
3 |
4 |
5 |
| Эффект финансового рычага |
10 |
< - |
(-, 0) |
0 |
(0, 1) |
> 1 |
| Тип финансовой ситуации методике
В.В. |
10 |
(0,0, 0,0) |
(0,0,0,1) |
(0,0,1,1) |
(0,1,1,1) |
(1,1,1,1) |
| Коэффициент автономии |
10 |
<0,4 |
0,40-0,45 |
0,45-0,50 |
0,50-0,60 |
>0,60 |
| Коэффициент обеспеченности
оборотных активов собственными оборотными средствами |
10 |
< 0,1 |
0,1 -0,2 |
0,2-0,3 |
0,3-0,5 |
>0,5 |
| Коэффициент абсолютной ликвидности |
10 |
<0,4 |
0,20-0,25 |
0,25-0,30 |
0,30-0,40 |
>0,4 |
| Промежуточный коэффициент покрытия |
10 |
<0,4 |
0,4-0,5 |
0,5-0,7 |
0,7-0,9 |
>0,9 |
| Коэффициент текущей
ликвидности |
10 |
<1,0 |
1,0-1,5 |
1,5-2,0 |
2,0-2,5 |
>2,5 |
| Рентабельность продаж,
% |
15 |
<0 |
0-5 |
5-10 |
10-15 |
>15 |
| Рентабельность
капитала, % |
15 |
<0 |
0-5 |
5-10 |
10-15 |
>15 |
Показатели, отобранные
для проведения рейтинговой оценки финансового состояния, отражают каждый этап
предложенной методики, признаются наиболее важными большинством российских и
зарубежных экономистов и широко применяются в существующих рейтинговых оценках.
В связи с этим возникает
вопрос о весе отдельных финансовых коэффициентов в формировании суммарной
рейтинговой оценки. В отличие от варианта равноценной значимости всех
финансовых коэффициентов предпочтительнее представляется вариант
дифференцированной значимости отдельных показателей, что подтверждается
отечественной и зарубежной практикой.
Вес показателей
рентабельности поставим выше остальных показателей, так как показатели
рентабельности, по мнению зарубежных (Э. Альтман) и российских (Г.Ф. Графова)
экономистов, являются более важными. Так, Э. Альтман в своей широко известной
пятифакторной «Z-модели» по определению вероятности потенциального банкротства
два фактора из пяти представил показателями рентабельности. Особая значимость
показателей рентабельности отражается также в «Золотом правиле экономики»,
говорящем, что темпы роста балансовой прибыли должны превышать темпы роста
выручки от реализации продукции, а темпы роста реализации должны превышать
темпы роста активов.
Таким образом, не
претендуя на точность в оценке значимости отдельных показателей, из девяти
предложенных показателей поставим вес двух коэффициентов рентабельности по 15%,
вес остальных коэффициентов - по 10%.
В результате проведения
рейтинговой оценки значение каждого показателя будет отнесено к определенному
классу критериального уровня. Затем при перемножении полученного значения на
вес показателя в процентах получим сумму баллов, которую составляет показатель.
В результате суммирования сумм баллов всех показателей получаем итоговый
показатель рейтинговой оценки, который отражает уровень
финансово-экономического потенциала организации в соответствии со следующей
шкалой:
1-й класс - низкий
уровень финансово-экономического потенциала, до 150 баллов;
2-й класс - недостаточный
уровень, 150 - 250 баллов;
3-й класс - средний
уровень, 250 - 350 баллов;
4-й класс - нормальный
уровень, 350 - 450 баллов;
5-й класс - высокий
уровень, более 450 баллов.