Дипломная работа: Оценка и расчет пожарных рисков административного здания (на примере МДОУ № 126 "Солнечный зайчик" городского округа Тольятти)
Дипломный проект
"Оценка и расчет пожарных рисков административного здания (на
примере МДОУ № 126 "Солнечный зайчик" городского округа Тольятти)"
Содержание
Введение
1. Теоретические основы расчетов по оценке пожарного риска
1.1 Понятие риска и его место в системе безопасности
1.2 Пожарные риски и их виды
1.3 Управление пожарными рисками
1.4 Основные подходы к методике
расчета по оценке пожарного риска
2. Характеристика объекта защиты МДОУ № 126 "Солнечный
зайчик" городского округа Тольятти
2.1 Краткая характеристика объекта защиты
2.2 Оценка мероприятий объекта
защиты по пожарной безопасности
2.3 Конструктивная особенность здания и материалов объекта
защиты
2.4 Характеристика территории планировки и пожарные разрывы
объекта защиты
3. Анализ и оценка пожарного риска на объекте защиты МДОУ №
126 "Солнечный зайчик" городского округа
3.1 Определение частоты реализации пожароопасных ситуаций
3.2 Построение полей опасных факторов пожара для различных
сценариев его развития
3.3 Оценка последствий воздействия опасных факторов пожара
на людей для различных сценариев его развития
3.4 Расчет индивидуального пожарного риска
4. Исследование современных разработок по снижению пожарного риска
4.1 Пожароопасные свойства пенополистирольных плит и
конструкций с их применением
4.2 Результаты испытаний плит из пенополистирола и его
модификаций на пожарную опасность
4.3 Рекомендации по дополнительной огнезащите совмещенных
покрытий с утеплителями из горючих пенополистиролов
5. Разработка рекомендаций для обеспечения допустимого
значения уровня пожарного риска в МДОУ № 126 "Солнечный зайчик"
5.1 Мероприятия по снижению
пожарных рисков
5.2 Оценка экономической эффективности мероприятий по
снижению пожарного риска
Заключение
Библиографический список
Приложения
Человечество с самого начала
своей истории, а также и в доисторическом периоде своего существования,
постоянно сталкивалось с различными природными опасностями (землетрясениями,
наводнениями, ураганами, грозами, лесными пожарами, агрессивными
представителями животного мира и др.).
По мере интеллектуального
развития человечества (овладения огнем, ремеслами, различными производственными
технологиями и процессами, строительной практикой и пр.) появились новые виды
опасностей и, прежде всего, пожарная опасность, нередко обусловленная злым
умыслом людей или неумелым обращением с огнем [10].
Новая и все расширяющаяся группа
опасностей появилась в конце XVIII - начале XIX столетия, когда в мире началась
первая промышленная революция.
Ее дальнейшее развитие,
непосредственно связанное с убыстряющимся научно-техническим прогрессом
человечества, интенсивным вовлечением в социально-экономические процессы все
новых видов вещества, энергии и информации, одновременно способствовало
появлению новых видов опасностей.
Постепенно многие виды
опасностей приобретали все большие масштабы и формы распространения, охватывая
весь мир, становясь в полном смысле слова глобальными, то есть
общепланетарными, и угрожая существованию современной цивилизации.
Резко убыстряющееся развитие
человечества поставило цивилизацию в конце ХХ - начале ХХI веков перед
исключительно важными общечеловеческими проблемами, от решения которых зависит
будущее нашей планеты.
Поэтому, на данном этапе ее
развития проблема обеспечения безопасности каждого человека, любой страны,
всего мирового сообщества является наиболее насущной, важнейшей потребностью
современности, ибо речь идет о благополучном разрешении кризисной ситуации, об
обеспечении выживания цивилизации и создании условий для ее дальнейшего и
устойчивого развития.
Все вышесказанное определило
актуальность темы исследования дипломного проекта "Оценка и расчет
пожарных рисков административного здания (на примере МДОУ № 126 "Солнечный
зайчик" городского округа Тольятти)".
Цель исследования - разработать мероприятия
по снижению пожарных рисков в МДОУ на основе их анализа и оценки, и определить
их экономическую эффективность.
Задачи исследования:
1) Изучить теоретические основы
расчетов по оценке пожарного риска, выявить его сущность и место в системе
безопасности.
2) Дать характеристику объекта
защиты МДОУ № 126 "Солнечный зайчик" городского округа Тольятти и
оценить мероприятия объекта защиты по пожарной безопасности.
3) Провести анализ и оценку
пожарного риска на объекте защиты: выявить частоту реализации пожарных ситуаций;
построить поля опасных факторов пожара для различных сценариев его развития; оценить
последствия воздействия опасных факторов на людей для различных сценариев его
развития; рассчитать индивидуальный пожарный риск.
4) Провести исследование
современных разработок по снижению пожарных рисков, для этого проанализировать
патентные разработки и изучить на их основе рекомендации по дополнительной
огнезащите совмещенных покрытий с утеплителями на основе пенополистирола и
полиуретана.
5) Разработать мероприятия по
снижению пожарного риска и дать оценку их экономической эффективности.
Объект исследования -
деятельность МДОУ № 126 "Солнечный зайчик" городского округа Тольятти
по обеспечению пожарной безопасности и снижению пожарных рисков.
Предмет исследования - пожарные
риски.
Во введении обосновывается
актуальность и значимость темы дипломного проекта, цели и задачи исследования,
а также объект и предмет исследования.
В первом разделе "Теоретические
основы расчетов по оценке пожарного риска" рассматриваются основные
подходы к содержанию понятия "пожарный риск", его виды, управление
пожарными рисками, а также методика расчета пожарного риска.
Во втором разделе дипломного
проекта "Характеристика объекта защиты МДОУ №126 "Солнечный зайчик"
городского округа Тольятти" анализируется деятельность объекта защиты по
обеспечению пожарной безопасности, определяется конструктивная особенность
здания объекта защиты, материалы, которые были использованы при строительстве, дана
характеристика пожарной опасности материалов и конструкций здания, а также территории
планировки и пожарные разрывы объекта защиты.
Проведена предварительная оценка
мероприятиям объекта защиты по обеспечению пожарной безопасности.
В третьем разделе "Анализ и
оценка пожарного риска на объекте защиты МДОУ №126 "Солнечный зайчик"
городского округа Тольятти" определяется частота реализации пожароопасных
ситуаций, дается оценка последствий воздействия опасных факторов пожара на
людей для различных сценариев его развития, а также рассчитывается индивидуальный
пожарный риск.
В четвертом разделе "Исследования
современных разработок по снижению пожарных рисков" изучены патентные разработки
по снижению пожарного риска.
В пятом разделе "Разработка
рекомендаций для обеспечения допустимого значения уровня пожарного риска в МДОУ
№ 126 "Солнечный зайчик" предложены мероприятия по снижению пожарного
риска объекта защиты и дается оценка их эффективности
В заключении представлены
краткие выводы по каждому разделу дипломного проекта.
Библиографический список содержит
законодательную и нормативную литературу, а так же литературу по исследованию.
Для того чтобы обеспечить
безопасность какого-то объекта защиты нужно уметь противостоять угрожающим ему
опасностям. Так при анализе проблемы пожарной безопасности появляются два
основных понятия - опасность и безопасность, - которые нуждаются в
соответствующих определениях. К этим двум понятиям необходимо добавить еще одно
понятие - "риск", вокруг которого в последние десятилетия среди
специалистов ведется оживленная полемика.
Это понятие в определенной
степени связывает два первых понятия. Так возникает основная триада понятий
активно формирующейся в настоящее время теории риска и безопасности: "Опасность
- риск - безопасность".
В специальной литературе,
посвященной проблемам безопасности, понятие "опасность", как правило,
вообще не определяется, считается как бы первичным, интуитивно понятным, и
употребляется чаще всего наряду с понятиями "угроза" и "вызов"
[30, с.5].
Только в
понятийно-терминологическом словаре "Гражданская защита", изданном
МЧС России в 2001 году, дается определение этого понятия: "Опасность,
возможность нанесения вреда, имущественного (материального), физического или морального
(духовного) ущерба личности, обществу, государству. Опасность - одно из
основных понятий национальной безопасности наряду с вызовом, риском и угрозой, занимающее
в их иерархии место между риском и угрозой [23, с.108].
В приведенном определении, по
мнению Н.Н. Брушлинского, имеется несколько весьма спорных, уязвимых моментов [22].
Другое определение понятия
"опасность" приведено в учебном пособии "Основы анализа и
управления риском в природной и техногенной сферах":
"Опасность - это свойство
окружающей человека среды, состоящее в возможности... создания негативных
воздействий, способных привести к негативным последствиям для... человека и (или)
окружающей его среды" [15].
Абсолютно единая точка зрения у
всех специалистов существует по поводу понятия "безопасность".
Например, в словаре "Гражданская
защита": "Безопасность, состояние защищенности жизненно важных
интересов личности, общества и государства от внутренних и внешних угроз. Безопасность
является важнейшей потребностью человека наряду с его потребностью в пище,
воде, одежде, жилище, информации. Эта общенаучная категория выступает
интегральной формой выражения жизнеспособности и жизнестойкости различных
объектов конкретного мира во внутренней и внешней политике, обороне, экономике,
экологии, социальной политике, здоровья народа, информатике, технологии и т.п."
[23, с.11].
Таким образом, безопасность -
состояние защищенности любого объекта от любых опасностей. С этим согласны все
специалисты, это пишут во всех декларациях, законах, нормативных актах и пр.,
хотя совершенно неясно как трактовать это "состояние защищенности" в
реальной жизни.
Но больше всего вопросов и
споров вызывает понятие "риск".
В словаре "Гражданская
защита" дается 8 определений понятия "риск" и его производных.
"Риск, возможная опасность
какой-либо неудачи, возникшая в связи с предпринимаемыми действиями, а также
сами действия, при которых достижение желаемого результата связано с такой
опасностью" [23, с.12].
Далее: "Риск
индивидуальный, вероятность или частота возникновения... поражающих воздействий
определенного вида..., возникающих при реализации определенных опасностей"
[23, с.152].
"Риск приемлемый, уровень
риска, оправданный с точки зрения экономических, социальных и экологических
факторов..." [23, с.152].
Наконец, "Риск природный,
ожидаемый социально-экономический ущерб от возможного проявления опасного
природного процесса или явления…" [23, с.153].
В Федеральном Законе РФ "О
техническом регулировании" говорится: "Риск - вероятность причинения
вреда жизни или здоровью граждан, имуществу физических или юридических лиц,
государственному или муниципальному имуществу, окружающей среде, жизни или
здоровью животных и растений с учетом тяжести этого вреда" [1].
В учебном пособии "Основы
анализа и управления риском" [15, с.333] говорится: "Риск
чрезвычайных ситуаций (ЧС) - количественная мера опасности, равная произведению
числа (или вероятности) чрезвычайных ситуаций за год на ожидаемые последствия
ЧС".
В работе О.М. Ковалевича дается
такое определение: "Риск - потенциальная опасность реализации техногенных
или природных событий с последствиями в виде нанесения вреда здоровью населения
или в виде материального ущерба третьим лицам" [26].
В.А. Акимов и Б.Н. Порфирьев считают,
что "Степень опасности угроз и уязвимости... отражает уровень риска для
социально-экономической системы и ее составляющих. Именно категория риска, под которым
понимается прежде всего мера возможной опасности и последствий ее реализации,
выраженная в количественной форме, интегрирует оба понятия - опасность и уязвимость
- в единое целое" [15, с.38-39].
По их мнению "в рамках
рационалистического подхода… риск рассматривается как возможность (вероятность)
наступления опасного или неблагоприятного события и/или количественной меры
такого события (ущерба). При этом сам риск исчисляется путем перемножения
вероятности упомянутого события на ущерб…" [15].
Итак, опасность - это,
во-первых, возможность (или способность) нанесения вреда любому объекту защиты
[26] и, во-вторых, это свойство окружающей среды [15].
Безопасность - это состояние
защищенности объекта защиты от любых видов опасностей.
Наконец, риск - это возможная
опасность неудачи, вероятность или частота поражающих воздействий, ожидаемый
ущерб, вероятность причинения вреда, количественная мера опасности, возможность
нежелательных последствий, потенциальная опасность реализации событий с
нанесением вреда, мера возможной опасности и последствий ее реализации,
возможность (вероятность) наступления опасного события.
Здесь отчетливо видно, что
опасность и риск выступают почти как синонимы, так как зачастую одно понятие
выражают через другое (и наоборот). При этом все специалисты предлагают
вычислять риск как произведение вероятности опасного события на ущерб от него [18,
с.71-73].
По мнению Н.Н. Брушлинского, риск
является мерой возможности реализации конкретной опасности. Поскольку слово
"риск" практически всегда ассоциируется с возможностями каких-то
потерь, утрат (имущества, финансов, здоровья, жизни, репутации и др.) в
результате реализации опасности, то в большинстве случаев размеры этих потерь
поддаются количественной оценке, могут быть измерены в каких-то единицах, хотя
в ряде ситуаций это сделать невозможно [19, с.83-85].
Риски можно разделить на "качественные",
которые нельзя измерить, и "количественные", которые измерить можно.
"Риск является количественной характеристикой возможности реализации
данной опасности" [18, с.73-75].
Каждую опасность может
характеризовать много различных рисков, оценивающих разные стороны и параметры
этой опасности.
Например, с одной стороны, - частоту
ее реализации, с другой - характер и размеры последствий реализации опасности.
Каждый риск в зависимости от
многих обстоятельств и факторов может изменять свои значения, то есть подвержен
определенной динамике.
Поэтому, выявляя роль отдельных
факторов, влияющих на уровень риска, можно попытаться целенаправленно
воздействовать на них, то есть управлять риском. Следовательно, можно в
определенной степени управлять опасностью, угрожающей какому-либо объекту
защиты (системе), ослаблять ее негативное воздействие [33].
Однако, очевидно, что
принципиально невозможно все риски, связанные с тем или иным объектом защиты,
свести к нулю. Это объясняется как перманентной неполнотой и относительностью
научных представлений об опасностях и рисках, так и ограниченными
инженерно-техническими и экономическими возможностями общества.
Риск только можно попытаться
уменьшить до такого уровня, с которым общество (на данном этапе его
исторического развития) вынуждено будет согласиться (психологически будет
готово его принять).
Отсюда следует, что "абсолютной"
безопасности (отсутствия всякой опасности) какой-то системы (объекта защиты) добиться
в реальном мире невозможно в принципе.
Однако, управляя рисками, мы можем
уменьшить степень опасности данного объекта защиты, а значит - повысить,
увеличить степень его безопасности до максимально возможного в современных
условиях уровня. Только в этом смысле можно трактовать "состояние
защищенности" объекта защиты от угрожающих ему опасностей [32, с.15].
Таким образом, безопасность -
состояние объекта защиты (системы), при котором значения всех рисков, присущих
этому объекту, не превышают их допустимых уровней.
При этом понятия опасность,
угроза и вызов по существу являются синонимами, отличаясь друг от друга
некоторыми смысловыми оттенками.
Все они характеризуются набором
рисков, уменьшая значения которых, мы приходим к допустимому уровню
безопасности конкретного объекта защиты (личности, общества, государства, любой
социальной, экономической, технической системы).
Схематично это представлено на рис.1.
Рисунок 1. Система "Опасность - риск - безопасность"
Фактически это - схема алгоритма
обеспечения безопасности любого объекта.
Необходимо отметить, что
систематическое изучение пожарных рисков относится к началу 1990-х годов [19, с.13].
Пожар - это неуправляемый
процесс горения, который приносит вред обществу и окружающей среде.
Это определение своей
лаконичностью и строгостью выгодно отличается от общепринятых и узаконенных
определений пожара.
Теперь мы можем, опираясь на
результаты исследования, представленного в параграфе 1, сформулировать
следующие определения, которые впервые были введены Н.Н. Брушлинским в 1999 г.:
Пожарная опасность -
опасность возникновения и развития неуправляемого процесса горения (пожара),
приносящего вред обществу, окружающей среде, объекту защиты.
Пожарный риск -
количественная характеристика возможности реализации пожарной опасности (и ее
последствий), измеряемая, как правило, в соответствующих единицах [19, с.83].
В Федеральном законе от 22 июля
2008 г. №123-ФЗ "Технический регламент о требованиях пожарной безопасности"
в статье 2 дано следующее определение:
"Пожарный риск - мера
возможности реализации пожарной опасности объекта защиты и ее последствий для
людей и материальных ценностей".
Пожарная безопасность -
состояние объекта противопожарной защиты, при котором значения всех пожарных
рисков не превышают их допустимых уровней" [1].
У каждой опасности существует
много рисков, характеризующих отдельные аспекты этой опасности. Точно также
существует множество пожарных рисков.
К основным пожарным рискам Н.Н. Брушлинский
относит следующие:
1) риск R1 для
человека столкнуться с пожаром (его опасными факторами) за единицу времени. В
настоящее время удобно этот риск измерять в единицах:

2) риск R2 для
человека погибнуть при пожаре (оказаться его жертвой). Здесь единица измерения
имеет вид:

3) риск R3 для
человека погибнуть от пожара за единицу времени:

Очевидно, что эти риски связаны
соотношением: R3 = R1 * R2
Риск R1 характеризует
возможность реализации пожарной опасности, а риски R2 и R3
- некоторые последствия этой реализации.
В качестве пожарных рисков,
характеризующих материальный ущерб от пожаров, Н.Н. Брушлинский предлагает
использовать, следующие риски:
1) риск R4 уничтожения
строений в результате пожара:

2) риск R5 прямого
материального ущерба от пожара:

Кроме вышеперечисленных пожарных
рисков можно рассматривать риски травмирования при пожарах, как гражданских
лиц, так и пожарных (причем возможна детализация рисков по видам травм); риски
возникновения пожаров по различным причинам (молния, поджог, короткое замыкание
в электросети, печное отопление, игры детей и пр); риски возникновения и
развития пожаров в зданиях различного назначения, различной этажности, разной
степени огнестойкости и пр. [30, с.18].
Все эти пожарные риски
представляют интерес, в частности, для страховых компаний, для фирм,
производящих противопожарное оборудование, для проектировщиков зданий и сооружений
и других специалистов.
В Федеральном законе от 22 июля
2008 г. №123-ФЗ "Технический регламент о требованиях пожарной безопасности"
перечислены следующие виды рисков:
"Допустимый пожарный риск -
пожарный риск, уровень которого допустим и обоснован исходя из
социально-экономических условий.
Социальный пожарный риск - степень
опасности, ведущей к гибели группы людей в результате воздействия опасных
факторов пожара;
Индивидуальный пожарный риск - пожарный
риск, который может привести к гибели человека в результате воздействия опасных
факторов пожара.
Социальный пожарный риск - степень
опасности, ведущей к гибели группы людей в результате воздействия опасных
факторов пожара" [1].
Таким образом, пожарных рисков существует
очень много, и все их нужно уметь анализировать для успешного противостояния
пожарной опасности.
Пожарные риски, во-первых,
характеризуют возможность реализации пожарной опасности в виде пожара и,
во-вторых, содержат оценки его возможных последствий (а также обстоятельств,
способствующих развитию пожара).
Следовательно, при их
определении необходимо знать частотные характеристики возникновения пожара на
том или ином объекте, а также предполагаемые размеры его социальных,
экономических и экологических последствий, обусловленных теми или иными обстоятельствами
[33, с.23].
Отсюда следует, что во многих
случаях пожарные риски можно оценивать статистическими или вероятностными
методами, но в ряде случаев могут потребоваться и иные методы.
Управление пожарным риском -
разработка и реализация комплекса мероприятий (инженерно-технического,
экономического, социального и иного характера), позволяющих уменьшить значение
данного пожарного риска до допустимого (приемлемого) уровня.
Для выработки долгосрочной
стратегии управления пожарными рисками (а, значит, пожарной опасностью) прежде
всего, необходимо выяснить, где и по каким причинам возникают пожары и где при
пожарах гибнут люди.
Можно поставить эти вопросы
несколько по-другому: с какими факторами связаны риски возникновения пожаров и
их последствия?
Детальные статистические
исследования распределения пожаров в России по объектам пожаров и их причинам
регулярно проводятся уже более 15 лет.
Распределение пожаров по видам
объектов представлены в таблице 1.1
Таблица 1.1. Распределение
пожаров в России по видам объектов пожаров в 2005-2008 годах
| Объекты пожаров |
Число пожаров, % |
Число погибших в пожарах,% |
Прямой материальный ущерб, % |
| Здания жилого сектора |
72,8 |
90,3 |
58,2 |
| Здания производственного назначения |
4,8 |
3,2 |
6,8 |
| Здания торговых предприятий |
3,1 |
0,4 |
10,8 |
| Здания сельскохозяйственного назначения |
1,2 |
0,3 |
3,4 |
| Неэксплуатируемые здания |
1,3 |
0,3 |
0,3 |
| Здания административно-общественные |
1,1 |
0,3 |
2,0 |
| Здания образовательных учреждений |
0,5 |
0,1 |
0,8 |
| Строящиеся здания |
0,5 |
0,3 |
0,7 |
| Здания лечебно-профилактических учреждений |
0,3 |
0,3 |
0,4 |
| Здания культурно-зрелищных учреждений |
0,3 |
0,1 |
1,9 |
| Здания детских учреждений |
0,3 |
0,0 |
0,2 |
| Сооружения, установки |
0,6 |
0,3 |
0,7 |
| Транспортные средства |
7,4 |
1,1 |
11,5 |
| Места открытого хранения материалов |
3,5 |
0,4 |
1,7 |
| Прочие |
2,3 |
2,6 |
0,6 |
| Итого |
100,0 |
100,0 |
100,0 |
Здесь нужно отметить, что
действующие в нашей стране правила учета пожаров не учитывают пожары мусора,
свалок, кустов, травы.
Лесные пожары входят в отдельную
статистику и в общую сводку пожаров не попадают.
По данным исследования,
представленных в работах [17, 21, 22, 44] следует, что 72,8% учтенных пожаров,
90,3% погибших при них людей и 58,2% прямого материального ущерба приходятся на
здания жилого сектора. На все остальные здания (включая строящиеся) приходятся
13,4% всех учтенных пожаров, 5,3% всех жертв пожаров и 27,3% прямого
материального ущерба от пожаров.
При этом более половины (54,3%) всех
пожаров в России происходит по причине неосторожного обращения людей с огнем.
По этой же причине в этих пожарах
погибло 67,5% всех жертв пожаров в нашей стране, а прямой материальный ущерб от
таких пожаров превысил треть (34,4%) общего ущерба от всех пожаров.
Все эти пожары произошли по вине
"человеческого фактора", то есть социального [33, с.26].
По данным МЧС Российской
Федерации за 2009 год обстановка с пожарами в Российской Федерации по сравнению
с прошлым годом характеризовалась следующими основными показателями:
зарегистрировано 187 490 пожаров
(в 2008 г. - 202002 (-7,2%);
при пожарах погибло 13 933
человека (в 2008 г. - 15301 (-8,9%), в том числе 596 ребенка (в 2008 г. - 596 (0%);
при пожарах получили травмы 13
207 человек (в 2008 г. - 12887 (+2,5%);
прямой материальный ущерб
причинен в размере 10929,7 млн. рублей (-10,6%);
Ежедневно в Российской Федерации
происходило 513 пожаров, при которых погибало 38 человек и 36 человек получали
травмы. Огнем уничтожалось 148 строений, 28 единиц автотехники, материальный
ущерб составлял 29,5 млн. рублей [44].
Наибольшее количество пожаров
зарегистрировано в жилом секторе.
Их доля от общего числа пожаров
по России по данным 2009 года составила 72,1%. Гибель людей при пожарах в жилом
секторе, от общего количества по стране, составила 91,0% людей, получивших
травмы - 69,8% [44].
Существует разбиение всех причин
пожаров на три основные группы: природные, техногенные и социальные. К
природным причинам пожаров относятся энергия Солнца, удары молнии,
самовозгорание и т.п.
К техногенным причинам относятся
неисправности в электросетях, электроприборах, системах отопления, других
инженерных сетях и приборах, которые повлекли за собой возникновение пожара и
его последствий.
К социальным причинам пожаров
относятся поджоги, небрежность при курении, обращении с открытым пламенем,
детские игры с источниками воспламенения, нарушение правил пожарной
безопасности в быту и на производстве и др., где виновником пожара является
человек.

Рисунок 1. Распределение
возникновения пожаров по факторам
Даже среди техногенных причин
пожаров достаточно велико влияние "человеческого фактора", так как
именно люди допускают небрежность или неграмотность при монтаже, установке и
эксплуатации различных приборов и инженерных систем [33, с.28].
Распределение гибели людей по
факторам пожаров представлено на рисунке 1.3

Рисунок 2. Распределение гибели
людей по факторам пожаров
Распределение ущерба по факторам
пожаров представлено на рисунке 1.4

Рисунок 1.4 Распределение
материального ущерба по факторам пожаров
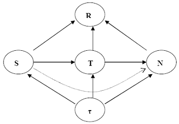
Таким образом, все основные
пожарные риски зависят, прежде всего, от природных, техногенных и социальных
факторов. Говоря иными словами, они являются и для отдельной страны, и для всей
планеты случайными функциями многих переменных, таких как уровни
энергопотребления, потребления алкоголя, табака, наркотиков, климатических и
других условий, национальных, культурно-исторических особенностей той или иной страны,
континента и пр.
(1.1)
где S - социальные
факторы и причины пожаров,
T - техногенные,
N - природные факторы и
причины пожаров.
Управление пожарными рисками
означает, что воздействуя на указанные факторы, необходимо понизить значения
рисков до приемлемых.
Зависимость пожарных рисков от
времени позволяет прослеживать их динамику, обусловленную, в частности,
управлением этими рисками (то есть оценивать эффективность управления рисками).
Риск как функция нескольких
переменных и его зависимость от времени:

Рисунок 1.5 Риск как функция
нескольких переменных
Где: R - пожарный риск;
S - социальные факторы;
T - техногенные факторы;
N - природные факторы;
τ - время.
По существу, все известные меры,
способы и методы обеспечения пожарной безопасности являются средствами
управления пожарными рисками, все достижения науки о пожаре, все
пожарно-технические разработки посвящены этому.
В XIX вв. и ранее люди нередко
страдали от пожаров, вызванных ударами молний или самовозгоранием веществ и материалов.
Риск возникновения таких пожаров был достаточно большим. Однако после того как
были созданы методы и системы молниезащиты, исследованы физические и химические
аспекты процессов, приводящих к самовозгоранию веществ и материалов, и выданы
соответствующие рекомендации по предотвращению возникновения и развития этих процессов,
число подобных пожаров стало заметно уменьшаться. Это и означает, что риски
пожаров от ударов молний или самовозгорания уменьшились.
Вместе с тем, как следует из
таблицы 1.1, в России 0,4% всех зарегистрированных пожаров от самовозгорания веществ
и материалов и 0,3% всех пожаров от ударов молнии.
На втором месте по числу пожаров
в России устойчиво находятся пожары, возникшие по причине нарушения правил
устройства и эксплуатации электрооборудования разных типов.
По этой причине произошло 20,6%
всех пожаров, при которых погибло 16,5% всех жертв пожаров, а ущерб от этих пожаров
составил почти 30%.
Подобное положение характерно и
для других стран.
Хотя эти пожары возникли в
технических системах и устройствах, но создавали, монтировали и эксплуатировали
их люди. Поэтому правильнее причины таких пожаров относить к социотехногенному
фактору.
Риски возникновения и развития
"электропожаров", безусловно, поддаются управлению. Целый комплекс
методов и устройств, включая специальные системы защиты от коротких замыканий (пожары
от которых составляют значительную часть всех "электропожаров"),
смогут существенно снизить значения пожарных рисков для всей этой группы пожаров.
Причем это произойдет в ближайшие десятилетия.
То же самое можно сказать про
все другие пожары, причины возникновения которых относятся к техногенному (точнее
говоря, социо-техногенному фактору). Все риски таких пожаров будут существенно уменьшены
в XXI веке благодаря научно-техническим достижениям цивилизации.
Значительно сложнее обстоят дела
с управлением пожарными рисками, обусловленными социальным фактором. Здесь, к
сожалению, перспективы успеха наименее очевидны (лучше сказать, наиболее
мрачные). Дело в том, что главным источником пожарной опасности на Земле является
Человек, само человечество, его морально-нравственное несовершенство. Парадокс
заключается в том, что большая часть человечества (численность которого быстро
растет) инициирует возникновение и реализацию пожарной опасности, а существенно
меньшая его часть пытается отражать эти угрозы, противостоять опасности возникновения
и развития пожаров.
Наиболее ярким примером здесь,
пожалуй, являются (кроме пожаров, вызванных неосторожным обращением с огнем) пожары,
связанные с умышленными поджогами. В России такие пожары составляют 7-8% от
всех пожаров (включая пожары, где поджог подозревается, но не был доказан), а в
Великобритании, Новой Зеландии, США подобные пожары составляют 25-30% от общего
числа пожаров. Сюда не входят лесные пожары, которые из-за ударов молний
возникают только в 1-2% всех случаев, а практически во всех остальных случаях
происходят по вине человека, причем поджоги все чаще становятся причиной
крупных лесных пожаров [33, с.32].
Что же касается огромного числа
пожаров, вызванных так называемым неосторожным обращением с огнем, то они
происходят не только по причине небрежного, легкомысленного, безграмотного
отношения людей к источникам воспламенения, горючим веществам и материалам, но
и связаны с курением, алкоголизмом, наркотиками и пр.
Управлять подобными пожарными
рисками чрезвычайно сложно. Здесь нужна целенаправленная деятельность широких
слоев общественности, педагогов, психологов, физиологов, социологов, работников
средств массовой информации и др., призванная сформировать у людей новую
культуру безопасной жизни на планете (включая вопросы пожарной безопасности).
Известно, что подобная работа,
например, уже много лет проводится американским специалистом Ф. Шинмэном (Philip
Schaenman) в рамках Международного Технического Комитета по предупреждению и тушению
пожаров (CTIF). Он создает с участием международной общественности разнообразные
программы по обучению всех слоев населения разных стран мира вопросам пожарной
безопасности. Эти программы рассылают всем заинтересованным организациям для практического
использования в детских садах, школах, высших образовательных учреждениях,
других общественных структурах. К сожалению, пока эффективность этих важнейших
мер обеспечения пожарной безопасности не слишком высока. Об этом говорит
мировая статистика пожаров [17].
В США, кроме этих способов
работы с общественностью, широко внедряют в жилых домах (где, как мы видели,
происходит большинство пожаров) дымовые датчики обнаружения пожаров,
спринклерные системы пожаротушения, что, конечно, является достаточно
эффективным способом управления пожарными рисками, но требует немалых
капиталовложений.
Для снижения последствий
пожаров, возникающих в жилых домах при засыпании курящего в постели человека, в
США даже выпускают негорючее белье (оно позволяет только выжечь небольшую дырку
около упавшей сигареты). Другими способами управления социальными пожарными рисками
является выпуск промышленностью пожаробезопасных детских игрушек, бытовых
приборов, мебели и т.д. Все это, конечно, дает определенный результат в борьбе
с "бытовыми" пожарами. Тем не менее, пожарными рисками, обусловленными
социальными факторами, управлять гораздо труднее, чем "природными" и
"техногенными" пожарами.
Существует еще много других
способов и средств управления пожарными рисками (строительные противопожарные нормы
и правила, системы пожарной автоматики, средства пожарной техники, пожарно-техническое
вооружение и др.) [39].
Постановлением Правительства
Российской Федерации от 31 марта 2009 г. № 272 "О порядке проведения
расчетов по оценке пожарного риска" утверждены "Правила проведения
расчетов по оценке пожарного риска" [2].
Согласно указанным правилам
расчеты по оценке пожарного риска проводятся путем сопоставления расчетных
величин пожарного риска с соответствующими нормативными значениями пожарных
рисков, установленными ФЗ №123-ФЗ.
При проведении расчета по оценке
социального пожарного риска учитывается степень опасности для группы людей в
результате воздействия опасных факторов пожара, ведущих к гибели 10 человек и более.
Определение расчетных величин
пожарного риска проводится по методикам, утверждаемым МЧС России [28, 29].
В Постановлении приведены
требования к порядку определения расчетных величин пожарного риска, а также к
оформлению отчета.
В настоящее время утверждены
приказами МЧС:
"Методика определения
расчетных величин пожарного риска в зданиях, сооружениях и строениях различных
классов функциональной пожарной опасности" (приказ МЧС от 30.06.2009 г
№382, зарегистрировано в Минюсте от 06.08.2009 г №14486);
"Методика определения
расчетных величин пожарного риска на производственных объектах" (приказ
МЧС от 10.07.2009 г №404, зарегистрировано в Минюсте от 17.08.2009 г №14541).
Документ "Методика
определения расчетных величин пожарного риска для производственных объектов"
разработан на основе:
ГОСТ 12.1 004-91 "Пожарная
безопасность. Общие требования";
ГОСТ Р 12.3 047-98 "Пожарная
безопасность технологических процессов. Общие требования. Методы контроля";
"Руководства по оценке
пожарного риска для промышленных предприятий";
РД 03-418-01 "Методические
указания по проведению анализа риска опасных производственных объектов";
РД 03-409-01 "Методика
оценки последствий аварийных взрывов топливно-воздушных смесей";
международных руководств по
оценке пожарного риска.
В общих чертах алгоритм
обеспечения пожарной безопасности любого объекта защиты можно сформулировать в
виде схемы, представленной на рисунке 6.

Рисунок 3. Алгоритм управления
пожарной безопасностью объекта защиты
Из рисунка 1.6 следует, что
проводя анализ пожарной опасности объекта защиты, нужно сначала определить и
проанализировать все пожарные риски, присущие данному объекту, затем оценить их
текущие значения, определить допустимые значения для всех пожарных рисков.
После этого нужно подобрать или
разработать методы и технологии управления каждым риском, использовать их и тем
самым обеспечить пожарную безопасность объекта защиты.
Эта общая схема может быть
детализирована в каждом своем этапе. Например, для определения пожарных рисков
специалисты предлагают использовать метод построения "дерева событий"
[42, с.45-51].
Согласно статье 94 ФЗ 123-ФЗ [1]
и Правилам проведения расчетов по оценке пожарного риска [4] оценка пожарного
риска включает следующие этапы:
1) анализ пожарной опасности
производственного объекта;
2) определение частоты
реализации пожароопасных ситуаций;
3) построение полей опасных
факторов пожара для различных сценариев его развития;
4) оценка последствий
воздействия опасных факторов пожара на людей для различных сценариев его
развития
5) анализ систем обеспечения
пожарной безопасности.
При оценке пожарного риска
допускается использовать методы оценки времени блокирования эвакуационных путей
и расчетного времени эвакуации, изложенные в методиках определения расчетных
величины пожарного риска, утвержденных в установленном порядке.
Расчет пожарных рисков для
общественных, административных и жилых зданий производится в соответствии с Методикой
определения расчетных величин пожарного риска в зданиях, сооружениях и
строениях различных классов функциональной пожарной опасности", утвержденной
приказом МЧС России № 382 от 30.06.2009 (регистрационный № 14486 от 06 августа
2009 г. в Минюсте РФ);
Расчет пожарных рисков для
производственных объектов производится в соответствии с Методикой определения
расчетных величин пожарного риска на производственных объектах", утвержденной
приказом МЧС России № 404 от 10.07.2009 (регистрационный № 14541 от 17.08.2009
г. в Минюсте РФ).
Индивидуальный пожарный риск в
зданиях, сооружениях и строениях не должен превышать значение одной миллионной
в год при размещении отдельного человека в наиболее удаленной от выхода из
здания, сооружения и строения точке. (ФЗ №123 от 22.07.2008 г., ст.79).
Величина индивидуального
пожарного риска в зданиях, сооружениях, строениях и на территориях
производственных объектов не должна превышать одну миллионную в год. (ФЗ №123
от 22.07.2008 г. , ст.93)
Для производственных объектов,
на которых обеспечение величины индивидуального пожарного риска одной
миллионной в год невозможно в связи со спецификой функционирования
технологических процессов, допускается увеличение индивидуального пожарного
риска до одной десятитысячной в год. При этом должны быть предусмотрены меры по
обучению персонала действиям при пожаре и по социальной защите работников,
компенсирующие их работу в условиях повышенного риска. (ФЗ №123 от 22.07.2008 г.,
ст.93)
Величина индивидуального
пожарного риска в результате воздействия опасных факторов пожара на
производственном объекте для людей, находящихся в селитебной зоне вблизи
объекта, не должна превышать одну стомиллионную в год. (ФЗ №123 от 22.07.2008 г.,
ст.93)
Величина социального пожарного
риска воздействия опасных факторов пожара на производственном объекте для
людей, находящихся в селитебной зоне вблизи объекта, не должна превышать одну
десятимиллионную в год. (ФЗ №123 от 22.07.2008 г., ст.93).
1.5 Основные
подходы к комплексу инженерно-технических и организационных мероприятий к
снижению пожарного риска в административных зданиях
В основе обеспечения пожарной
безопасности предприятия лежат, прежде всего, организационные мероприятия,
которые затем реализуются технически по четко разработанному плану
противопожарной защиты объекта (в соответствии с техническими заданиями,
приказами и инструкциями о мерах пожарной безопасности на предприятии).
Пожарная профилактика - комплекс
организационных и технических мероприятий, направленных на обеспечение
безопасности людей, на предотвращение пожара, ограничение его распространения,
а также создание условий для успешного тушения пожара (по ГОСТ 12.1 033-81).
Пожарно-профилактические
мероприятия направлены на обеспечение пожарной безопасности.
Объекты должны иметь системы
пожарной безопасности, направленные на предотвращение воздействия на людей
опасных факторов пожара, в том числе их вторичных проявлений на требуемом
уровне.
Требуемый уровень обеспечения
пожарной безопасности людей с помощью указанных систем должен быть не менее
0,999999 предотвращения воздействия опасных факторов в год в расчете на каждого
человека, а допустимый уровень пожарной опасности для людей должен быть не
более 10-6 воздействия опасных факторов пожара, превышающих предельно
допустимые значения, в год в расчете на каждого человека.
Правила пожарной безопасности - комплекс
положений, устанавливающих порядок соблюдения требований и норм пожарной
безопасности при строительстве и эксплуатации объекта (по ГОСТ 12.1 033-81).
Система предотвращения пожара - комплекс
организационных мероприятий и технических средств, направленных на исключение
условий возникновения пожара (по ГОСТ 12.1 033-81).
Система противопожарной защиты -
совокупность организационных мероприятий и технических средств, направленных на
предотвращение воздействия на людей опасных факторов пожара и ограничение
материального ущерба от него (по ГОСТ 12.1 033-81).
Организационные мероприятия
включают разработку мер (правил) пожарной безопасности на предприятии (приказов,
инструкции, положений и т.п.).
Прогнозирование опасных факторов
необходимо для оценки своевременности эвакуации и разработке мероприятий по ее
совершенствованию, при создании и совершенствовании систем сигнализации,
оповещения и тушения пожаров, при разработке планов пожаротушения (планирования
боевых действий пожарных подразделений при пожаре), для оценки фактических
пределов огнестойкости, проведении пожарно-технических экспертиз и других целей.
В развитии пожара в помещении
обычно выделяют три стадии:
начальная стадия - от
возникновения локального неконтролируемого очага горения до полного охвата
помещения пламенем; при этом средняя температура среды в помещении имеет не
высокие значения, но внутри и вокруг зоны горения температура такова, что
скорость тепловыделения выше скорости отвода тепла из зоны горения, что
обуславливает само ускорение процесса горения;
стадия полного развития пожара -
горят все горючие вещества и материалы, находящиеся в помещении; интенсивность
тепловыделения от горящих объектов достигает максимума, что приводит и к
быстрому нарастанию температуры среды помещения до максимальных значений;
стадия затухания пожара -
интенсивность процесса горения в помещении снижается из-за расходования
находящейся в нём массы горючих материалов или воздействия средств тушения
пожара.
Однако в любом случае, как
показывает уравнение "стандартного пожара", температура в очаге
пожара через 1,125 мин достигает значения 365оС. Поэтому очевидно,
что возможное время эвакуации людей из помещений не может превосходить
продолжительности начальной стадии пожара.
В начальной стадии развития
пожара опасными для человека факторами являются: пламя, высокая температура,
интенсивность теплового излучения, токсичные продукты горения, дым, снижение
содержания кислорода в воздухе, поскольку при достижении определённых уровней
они поражают его организм, особенно при синергическом воздействии.
Исследованиями отечественных и
зарубежных учёных установлено, что максимальная температура, кратковременно
переносимая человеком в сухой атмосфере, составляет 1490С, во
влажной атмосфере вторую степень ожога вызывало воздействие температуры 550С
в течение 20с и 700С при воздействии в течение 1с; а плотность
лучистых тепловых потоков 3500 вт/м2 вызывает практически мгновенно
ожоги дыхательных путей и открытых участков кожи; концентрации токсичных
веществ в воздухе приводят к летальному исходу:
окиси углерода (СО) в 1,0% за
2-3 мин,
двуокиси углерода (СО2) в 5% за
5 мин.,
цианистого водорода (HCN) в
0,005% практически мгновенно. [25, 37,38]
При концентрации хлористого
водорода (HCL) 0,01-0,015% останавливается дыхание, а при снижении концентрации
кислорода в воздухе с 23% до 16% ухудшаются двигательные функции организма, и
мускульная координация нарушается до такой степени, что самостоятельное
движение людей становится невозможным, а снижение концентрации кислорода до 9%
приводит к смерти через 5 минут [41].
Совместное действие некоторых
факторов усиливает их воздействие на организм человека (синергический эффект). Так
токсичность окиси углерода увеличивается при наличии дыма, влажности среды,
снижении концентрации кислорода и повышении температуры.
Синергетический эффект
обнаруживается и при совместном действии двуокиси азота и понижении
концентрации кислорода при повышенной температуре, а также при совместном
воздействии цианистого водорода и окиси углерода.
Особое воздействие на людей
оказывает дым. Дым представляет собой смесь несгоревших частиц углерода с
размерами частиц от 0,05 до 5,0 мкм. На этих частицах конденсируются токсичные
газы. Поэтому воздействие дыма на человека также имеет, по-видимому,
синергический эффект.
В действительности при пожаре
выделяется значительно больше токсинов, воздействие которых достаточно хорошо
изучено (таблица 1 и 2 Приложения 1) [35,36].
Максимально допустимый уровень
опасных (основных) факторов пожара, воздействие которого не приносит вреда
человеку (таблица 3 Приложение 1), нормирован.
Вырываясь из помещения, опасные
факторы пожара, прежде всего дым, стремительно распространяются по
коммуникационным путям здания [6,7].
Для прогнозирования опасных
факторов пожара в настоящее время используются интегральные (прогноз средних
значений параметров состояния среды в помещении для любого момента развития
пожара), зонные (прогноз размеров характерных пространственных зон, возникающих
при пожаре в помещении и средних значений параметров состояния среды в этих
зонах для любого момента развития пожара.
Примеры зон - припотолочная
область, восходящий на очагом горения поток нагретых газов и область
незадымленной холодной зоны) и полевые (дифференциальные) модели пожара (прогноз
пространственно-временного распределения температур и скоростей газовой среды в
помещении, концентраций компонентов среды, давлений и плотностей в любой точке
помещения).
Для проведения расчетов,
необходимо проанализировать следующие данные:
объемно-планировочных решений
объекта;
теплофизических характеристик
ограждающих конструкций и размещенного на объекте оборудования;
вида, количества и расположения
горючих материалов;
количества и вероятного
расположения людей в здании;
материальной и социальной
значимости объекта;
систем обнаружения и тушения
пожара, противодымной защиты и огнезащиты, системы обеспечения безопасности
людей [45].
При этом учитывается:
вероятность возникновения пожара;
возможная динамика развития
пожара;
наличие и характеристики систем
противопожарной защиты (СППЗ);
вероятность и возможные
последствия воздействия пожара на людей, конструкцию здания и материальные
ценности;
соответствие объекта и его СППЗ
требованиям противопожарных норм.
Комплексная система противопожарной защиты зданий и сооружений представлена на
рисунке 1.7.
Рисунок 4. Комплексная система
противопожарной защиты зданий и сооружений.
1) При разработке
профилактических мероприятий предварительно изучается противопожарное состояние
объекта. Система предотвращения пожара включает в себя:
предотвращение образования в
горючей среде источников зажигания;
исключение или ограничение
доступа окислителя;
подсистему контроля газовой
среды;
подсистема молниезащиты зданий и
сооружений.
2) Система пассивной
противопожарной защиты включает в себя:
противопожарные технические
решения по генеральному плану;
определение требуемой степени
огнестойкости;
противопожарные
объемно-планировочные решения;
технические решения по
противопожарным преградам;
противопожарные технические
решения по противовзрывной защите;
комплексную противодымную защиту;
противопожарные технические
решения по огнезащите;
конструктивные и планировочные
решения эвакуационных путей и выходов;
технические решения по наружному
водоснабжению для целей пожаротушения;
противопожарные технические
решения по энергоснабжению.
3) Система активной
противопожарной защиты включает в себя:
подсистему автоматического
обнаружения и извещения о пожаре;
подсистему телевизионного
наблюдения;
подсистему оповещения и
управления эвакуацией;
подсистему телефонной и
радиосвязи аварийно-спасательных служб;
подсистему управления
комплексной противодымной защитой;
подсистему водяного
пожаротушения;
подсистему пенного пожаротушения;
подсистему автоматического
газового пожаротушения технических помещений;
подсистему автоматического
порошкового пожаротушения;
подсистему аэрозольного
пожаротушения;
роботизированные установки
пожаротушения.
4) Система
организационно-технических мероприятий включает в себя:
подраздел проекта организации
строительства и производства работ;
программное обеспечение
автоматизации подсистем активной противопожарной защиты;
инструкции по эксплуатации
подсистем активной противопожарной защиты;
регламенты тестирования и
сервисного обслуживания подсистем активной противопожарной защиты;
приточную вентиляцию;
вытяжную вентиляцию;
инженерные системы
жизнеобеспечения, влияющие на развитие, локализацию, ликвидацию пожара;
инструкции о мерах пожарной
безопасности и поведения персонала;
создание пожарно-технических
комиссий и добровольных дружин;
распорядительные документы о
пожарной безопасности.
5) Система ликвидации ЧС и
пожара оперативными подразделениями включает в себя:
оперативный план пожаротушения;
план спасения людей;
технические решения и средства
обеспечения спасения людей;
технические решения для
обеспечения успешного тушения;
взаимодействие оперативных
подразделений ГПС с другими аварийными и оперативными службами согласно
оперативного плана пожаротушения (электронный учебник) [45].
Безусловно, разработка
технических условий корреспондируется с принимаемыми техническими регламентами
в области пожарной безопасности в свете Закона о техническом регулировании,
приоритет в которых - защита интересов личности от пожаров и его опасных
факторов. Имущественные интересы должны защищаться с использованием механизмов
страхования, как это и происходит в развитых зарубежных странах, где
противопожарные требования по применению тех или иных конструкций и материалов
регулируются не только государственными нормативными документами, которые
направлены в первую очередь за защиту людей от пожара, но также и страховыми
компаниями, деятельность которых направлена на обеспечение пожарной
безопасности зданий и сохранение материальных ценностей. Поэтому нормы этих
стран больше уделяют внимания формированию дифференциальной пожарной
классификации зданий, конструкций и материалов, а область их применения
ограничивается с целью обеспечения безопасности людей при пожаре. Такое
положение создает возможность применения сгораемых, в том числе полимерных
материалов и конструкций из них на основе так называемого "пожарного риска",
смысл которого заключается в следующем. Применение легких конструкций из
сгораемых материалов увеличивает эффективность первоначальных капитальных
вложений, так как сокращает сроки и стоимость строительства, а в случае пожара
компенсация, выплачиваемая компаниями, меньше, чем нанесенный ущерб [25].
Муниципальное дошкольного
образовательного учреждения детского сада комбинированного вида № 126 "Солнечный
зайчик" городского округа Тольятти (сокращенное наименование: МДОУ детский
сад № 126 "Солнечный зайчик".
Место нахождения объекта защиты:
г. о. Тольятти, Автозаводский район, 9 квартал, проспект Ст. Разина, 31.
Основной государственный
регистрационный номер записи о государственной регистрации юридического лица №
1036301056505.
Идентификационный номер
налогоплательщика № 6321073690.
Почтовый и электронный адреса, телефон,
факс юридического лица и объекта защиты: 445040, РФ, Самарская обл., г. о. Тольятти,
проспект Степана Разина, 31.
email: chgard126@edu. tgj.ru, тел.33-33-30, 33-33-31, факс 8 (8482) 66-71-70.
В настоящее время в детском саду
№ 126 "Солнечный зайчик" из 14 проектных, действует 12 групп,
количество детей снизилось по отношению к проектному - с 320 человек (без учета
персонала), до 250 человек (без учета персонала) в дневное время и 4 группы с
ночным пребыванием детей (максимальное количество детей 10), т.е. более чем
1,28 раза в дневное время, а ночью в 25 раз.
Общее количество педагогического
и обслуживающего персонала - 69 человек, из них: 1 по совместительству.
Работа в детском саду
организована в две смены: по 46 чел. в смену, в ночь дежурит обслуживающий
персонал в количестве 2-х человек.
Здание детского сада № 126
"Солнечный зайчик" построено по экспериментальному проекту "Детский
ясли-сад на 320 мест с группами универсального использования" шифр: 71-413,
разработанному и привязанному мастерской № 1 ЦНИИЭП учебных зданий г. Москва в
1971 г.
Проект подписан в производство
работ гл. инженером УКСа жилкультбыта Волжского автомобильного завода 20 июня
1972г.
Разрешение на производство работ
№ 82 от 23 апреля 1975г. выдано ГАСК, сроком по 31 декабря 1975г.
В строительстве детского сада,
строительный номер 13-ДС-2, принимали участие строительные организации: Строительное
управление "Жилстрой - 3", СУ-31, СУ-91, СУ-112.
Объект принят в эксплуатацию,
акт государственной приемочной комиссии о приемке законченного строительством
объекта в эксплуатацию № 54 от 31 декабря 1975г.
Решением Тольяттинского
горисполкома № 532/25 от 31.12.75г. утвержден акт государственной комиссии о
приемке в эксплуатацию объекта, законченного строительством.
Класс функциональной пожарной
опасности Ф1.1
В соответствии с Правилами пожарной
безопасности в Российской Федерации на объекте защиты имеется система пожарной
безопасности, направленная на предотвращение воздействия на людей опасных
факторов пожара, в том числе их вторичных проявлений.
По МДОУ детский сад № 126 "Солнечный
зайчик" для поддержания должного противопожарного режима изданы следующие
приказы:
1. Приказ № 2/1 от 11 января
2010г. "О противопожарном режиме в МДОУ № 126 "Солнечный зайчик":
п.1. - запрещено курение во всех
помещениях ДОУ.
п.2. - запрещено разведение
костров на территории двора ДОУ и на прилегающей к ней территории.
п.3. - о порядке обесточивания
электроустановок и бытовых электроприборов по окончании рабочего дня, за
исключением дежурного освещения, холодильных камер и другого электрооборудования,
предназначенного для круглосуточной работы.
п 4. - запрещено пользоваться
электроутюгами, электроплитами и другими электронагревательными приборами, не
имеющими устройств тепловой защиты, без подставок из негорючих
теплоизоляционных материалов, и вне специально выделенных помещений.
п 7. - вынужденные огневые и
другие пожароопасные работы проводить только после согласования с администрацией
ДОУ.
п 8. - запрещено хранение
лакокрасочных изделий в помещениях ДОУ.
Согласно п.9 указанного приказа
определены обязанности ответственного за пожарную безопасность в помещениях ДОУ,
а п.12 - обязанности лица, обнаружившего пожар или признаки горения.
2. Приказ № 50/2 от 01.09.2009г.
"О возложении ответственности за противопожарную безопасность в МДОУ № 126
по помещениям".
3. Приказ № 3/5 от 11.01.2010г.
"Об ответственных лицах за действия при возникновении пожара".
4. Приказ № 3/4 от 11.01.2010г.
"О назначении ответственных лиц за проведение инструктажей по ПБ:
а) вводный инструктаж -
инспектор по кадрам;
б) инструктаж с педагогическим
персоналом - заместитель заведующего по ВМР
в) инструктаж с обслуживающим
персоналом - заместитель заведующего по АХЧ.
Согласно приказу периодичность
проведения инструктажей - 2 раза в год.
5. Приказ № 50/12 от 01.09.2009г.
"О создании ДПД в ДОУ № 126" Подготовлен и утвержден план мероприятий
по противопожарной безопасности МОУ № 126 "Солнечный зайчик" на 2009/2010
учебный год.
Подготовлен и утвержден план
мероприятий по МДОУ № 126 при проведении массовых мероприятий на 2010 г. по
обеспечению антитеррористической и пожарной безопасности.
В детском саду разработана Инструкция
по мерам пожарной безопасности, согласованная с инспектором ОГПН Автозаводского
района.
В соответствии с п.16 ППБ 01-03 разработаны
и на видных местах вывешены схематические планы эвакуации людей в случае
пожара, а также выполнен монтаж системы оповещения людей о пожаре.
На объекте с массовым пребыванием
людей (50 и более человек) в дополнение к схематическому плану эвакуации людей
при пожаре разработана инструкция, определяющая действия персонала по
обеспечению безопасной и быстрой эвакуации людей, по которой не реже одного
раза в полугодие проводятся практические тренировки всех задействованных для
эвакуации работников.
Согласно приказу № 23 от 03.03.2009г.,
приказу № 79 от 09.12.2009г. а также во исполнение приказа № 645 от 12 декабря
2007 г., МЧС РФ от 12 декабря 2007 г., в детском саду проведены тренировки по
эвакуации детей и работающего персонала, результаты по отработке эвакуации
отражены в актах от 05 марта 2009 г. и от 10 декабря 2009г.
Ежедневно в установленное
Государственной противопожарной службой время, в пожарную часть, в районе выезда
которой находится объект, передается информация о количестве людей, находящихся
на объекте.
Противопожарные системы и
установки (средства пожарной автоматики, системы противопожарного
водоснабжения, противопожарные двери, клапаны, другие защитные устройства в
противопожарных стенах и перекрытиях и т.п.) помещений здания постоянно
содержатся в исправном рабочем состоянии. Устройства для самозакрывания дверей
находятся в исправном состоянии (п.34 ППБ 01-03).
В местах пересечения перекрытий
и ограждающих конструкций различными инженерными и технологическими
коммуникациями образовавшиеся отверстия и зазоры во время ремонтов заделаны
строительным раствором или другими негорючими материалами, обеспечивающими
требуемый предел огнестойкости и дымогазонепроницаемость (мероприятия по
обеспечению пожарной безопасности в детском саду № 126).
Наружные пожарные лестницы
здания содержатся в исправном состоянии, сохранена целостность перил и
устойчивость ступеней.
Комиссией в составе: председателя
профкома, заведующей МДОУ № 126, инспектора по ТБ и заместителя заведующей по
АХЧ, проведены испытания пожарных лестниц на эвакуационных выходах, по
результатам испытаний составлен АКТ от 04.09.2009 г.
При эксплуатации эвакуационных
путей и выходов из здания обеспечено соблюдение проектных решений и требований
нормативных документов по пожарной безопасности (в том числе по освещенности,
количеству, размерам и объемно-планировочным решениям эвакуационных путей и
выходов, а также по наличию на путях эвакуации знаков пожарной безопасности). Двери
на путях эвакуации открываются свободно и по направлению выхода из здания, за
исключением дверей, открывание которых не нормируется требованиями нормативных
документов по пожарной безопасности.
В здании с массовым пребыванием
людей на случай отключения электроэнергии обслуживающий персонал обеспечен
электрическими фонарями. Количество фонарей - 2шт. определено исходя из
особенностей объекта, наличия дежурного персонала, количества людей в здании,
но не менее одного на каждого работника дежурного персонала.
Объемные самосветящиеся знаки
пожарной безопасности с автономным питанием, используемые на путях эвакуации (в
том числе световые указатели "Эвакуационный (запасный) выход", "Дверь
эвакуационного выхода"), постоянно находятся в исправном и включенном
состоянии.
В соответствии с п.78 ППБ 01-03 воздуховоды
периодически очищаются от горючих отходов в сроки, определенные приказом и в
соответствии с договором. Техническое обслуживание, ремонт, а также
периодическая очистка воздуховодов вентиляционных систем в здании детского сада
осуществляется в соответствии с договором № 13 от 01.01.2010 г. с ООО "Тасей-Сервис".
Периодичность осмотров,
обслуживание, ремонт, а также периодическая очистка воздуховодов вентиляционных
систем устанавливается графиком и по заявкам. Результаты выполненной работы
отражаются в журнале регистрации очистки приточно-вытяжной вентиляции. Предыдущая
запись чистки воздуховодов 04.02.2010 г. отмечена в журнале и составлен акт.
Сети противопожарного
водопровода находятся в исправном состоянии и обеспечивают требуемый по нормам
расход воды на нужды пожаротушения. Проверка их работоспособности
осуществляется не реже двух раз в год (весной и осенью). На стенах здания
установлен плоский указатель ближайшего пожарного гидранта. На нем нанесены
цифры, указывающие расстояние до ближайшего водоисточника.
Пожарные краны внутреннего
противопожарного водопровода укомплектованы рукавами и стволами. Пожарные
рукава присоединены к кранам и стволам.
Не реже одного раза в год,
силами членов ДПД, производится перекатка рукавов на новую скатку. Два раза в
год комиссия, состоящая из членов ДПД, проводит проверки работоспособности
пожарных кранов с пуском воды, по результатам проверки составляются акты,
последняя проверка проведена 04 сентября 2009г. Пожарные гидранты № 32 и № 26,
расположенные около детского сада, исправны (суточный акт проверки пожарных
гидрантов от 17.04.2009 г).
Регламентные работы по
техническому обслуживанию и планово-предупредительному ремонту (ТО и ППР) автоматических
установок пожарной сигнализации, оповещения людей о пожаре и управления
эвакуацией осуществляются в соответствии с годовым планом-графиком,
составляемым с учетом технической документации заводов-изготовителей, и сроками
проведения ремонтных работ. ТО и ППР выполняет специализированная организация,
имеющая лицензию, по договору.
В 2003 году фирмой ООО "Радиус-Т"
по проекту шифр: 027.2003-ПС-РП выполнен монтаж автоматической пожарной
сигнализации и оповещения. Акт приемки АПС и оповещения от 01.12.2003г,
зарегистрирован в СО ГПС № АПС 03/31 - 498 от 15.12.03г.
СОУЭ в здании детского сада
выполнена III-го типа - речевое оповещение персонала,
фирмой ООО "Астрея" по проекту шифр 014.2006-РО-РП.
Акт приемки в эксплуатацию
средств речевого оповещения, смонтированных в детском саду, от 08.02.2007г.
Для ремонта и обслуживания
установок пожарной сигнализации и оповещения заключен договор № 2 - 015 от 01.01.2010г.
с ООО "ТАЙМЕР". Специалистами ООО "ТАЙМЕР" не реже 2-х раз в
месяц производится техническое обслуживание систем АПС и СОУЭ.
Заведен на объекте журнал
регистрации работ по ТО и ППР систем пожарной автоматики. Записи о проведенном
ТО - 24.12.2009г., 21.01.2010г., 10.02.2010 г., 17.02.2010 г.
Объект ДС № 126 "Солнечный
зайчик" подключен к системе раннего обнаружения на ЦППС г. о. Тольятти, по
проекту № 2009-72/5-ЦП, акт №1-2009-72/5-ЦП (о проведении входного контроля ООО
"ОКТА-Электроникс"), акт №2-2009-72/5-ЦП от 01 июня 2009г. (об
окончании монтажных работ ООО "ОКТА-Электроникс"), акт
№3-2009-72/5-ЦП от 01 июня 2009г. (о технической готовности систем пожарной
сигнализации и оповещения ООО "ОКТА-Электроникс"), акт замера
сопротивления изоляции № 208/10-2009 от 01 июня 2009г., акт № 171 от 22.09.2009г.
опробования и приема объекта по системе раннего обнаружения пожара на ЦППС г. Тольятти.
Заключен договор № ОБ-40-09 от
01.06.2009г. с ООО "ОКТА - Электроникс сервис" и заведен журнал для
учета работ по техническому обслуживанию оконечных приемных устройств на ЦППС.
Обслуживание проведено: 22.10 2009г.,
19.11.2009г., 02.12.2009г., 01.01.2010г., 17.02.2010г.
В соответствии с п.108 ППБ 01-03
помещения здания детского сада обеспечены первичными средствами пожаротушения -
огнетушителями, в соответствии с приложением № 3.
Первичные средства пожаротушения
содержатся в соответствии с паспортными данными на них и с учетом положений,
изложенных в приложении № 3.
Всего детским садом приобретено
37 огнетушителей, из них:
9шт. типа ОП-3,4шт. типа ОП-2
23 типа ОП-5,один огнетушитель
типа ОП-4.
Срок перезарядки трех
огнетушителей истекает в 2010 г. Все средства пожаротушения имеют
соответствующие сертификаты.
Обслуживающий персонал в
количестве 2 человек, здания детского сада, в котором имеются группы 72, 23, 32
и 33 с ночным пребыванием детей, обеспечен индивидуальными средствами
фильтрующего действия для защиты органов дыхания, которые хранятся
непосредственно на рабочем месте обслуживающего персонала, что соответствует п.129
ППБ 01-03:
Капюшон защитный КЗУМ - 2шт.
Капюшон защитный "Феникс"
- 10шт.
В детском саду организовано
круглосуточное дежурство обслуживающего персонала. Дежурный имеет при себе
комплект ключей от всех замков на дверях эвакуационных выходов. Второй комплект
ключей хранится в помещении дежурного. Каждый ключ в обоих комплектах имеет
надпись о его принадлежности к соответствующему замку.
Ночные дежурные находятся в
помещениях, в которых установлен телефон, и обеспечены ручными электрическими
фонарями.
За время эксплуатации детского
сада № 126 "Солнечный зайчик" с января 1976 года изменение
функционального назначения здания не производилось.
1) Все основные строительные
конструкции, примененные при возведении здания являются несгораемыми. Фактически
здание детского сада имеет II степень огнестойкости, так как:
фундамент выполнен - из сборных
бетонных блоков;
стены наружные - из железобетонных
плит;
перекрытия и покрытия - из
сборных ж/б плит;
крыша (кровля) - из рубероида по
железобетонной плите;
перегородки - из кирпича и
гипсовых плит (СНиП 21-01-97).
Облицовка поверхностей
конструкций в коридорах, лестничных клетках и тамбурах здания детского сада
выполнена из негорючих отделочных материалов, или из материалов, сертификация
которых не является обязательной (СНиП 21-01-97).
Лестничные площадки, косоуры,
ступени, балки и марши лестничных клеток выполнены несгораемыми с пределом
огнестойкости не менее 1ч. (СНиП 21-01-97).
Техподполье здания не
используется под склады для хранения сгораемых материалов (СНиП 21-01-97).
На случай возникновения пожара
обеспечена возможность безопасной эвакуации людей, находящихся в здании, через
эвакуационные выходы с первого этажа наружу непосредственно или через коридор,
вестибюль, лестничную клетку, со второго этажа здания в коридор или проход,
ведущий к лестничной клетке, или в лестничную клетку, имеющую выход
непосредственно наружу или через вестибюль, отделенный от коридоров
перегородками с дверями, а также на любом этаже из помещения в соседние
помещения на том же этаже, обеспеченные выходами, указанными выше (СНиП
21-01-97).
Суммарная ширина маршей
лестничных клеток в зависимости от числа людей, находящихся на наиболее
населенном этаже, кроме первого, а также ширина дверей, коридоров или проходов
на путях эвакуации во всех этажах выполнена из расчета не менее 0,6м на 100
человек (СНиП 21-01-97).
В здании отсутствуют винтовые
лестницы и забежные ступени на путях эвакуации (СНиП 21-01-97).
Число эвакуационных выходов из
здания выполнено более двух, с первого этажа - 6, со второго - 6.
Эвакуационные выходы в здании
детского сада расположены рассредоточено.
Выходы в количестве: - 4-х из
технического подполья площадью - 1247,5м2, выполнены в осях 7-8/Е-И,
6-7/Е-И, 15-16/Т-Ф и 16-17/Т-Ф (проект шифр 71-413 альбом I л. л. АСН-2, АС-1 и
АС-2).
Техническое подполье имеет
высоту - 1,68м, общий объем подполья под зданием детского сада № 126 составляет
- 2514,6м3 (СНиП 21-01-97).
Двери на путях эвакуации
открываются по направлению выхода из здания, за исключением дверей:
на балконы и площадки, предназначенные
для эвакуации,
из помещений с одновременным
пребыванием не более 15 человек,
из кладовых площадью не более
200м2,из санитарных узлов.
Все указанные выше двери
допускается открывать внутрь помещений (СНиП 21-01-97).
Все четыре лестничные клетки обеспечены
естественным освещением через световые проемы в наружных стенах.
В лестничных клетках отсутствуют
складские и иного назначения помещения, промышленные газопроводы, трубопроводы
с легковоспламеняющимися и горючими жидкостями, открыто проложенные кабели, а
также оборудование, выступающее из плоскости стен на высоте до 2м от
поверхностей проступей и площадок лестниц.
В проемах внутренних стен
лестничных клеток установлены двери. Двери из помещений и коридоров в
лестничные клетки в открытом положении не уменьшают расчетную ширину
эвакуационных проходов (СНиП 21-01-97).
Наружные пожарные лестницы,
предназначенные для эвакуации людей со второго этажа здания, сообщаются с
помещениями через площадки (балконы), устроенные на уровне эвакуационных
выходов, и имеют ограждения высотой не менее 0,8м (фактически - 0,9м).
Угол уклона наружных пожарных
лестниц выполнен 1: 1, ширина наружных пожарных лестниц - 1,17м (АС-10) (СНиП
21-01-97).
В соответствии со СНиП 21-01-97
"Пожарная безопасность зданий и сооружений" обеспечены
противопожарные разрывы от здания детского сада № 126 "Солнечный зайчик"
до ближайших зданий, строений:
жилые 5-ти этажные дома с
северной стороны, восточной и южной, по адресам Ст. Разина, 27, 29 и 35
соответственно - 35м, 49м и 64м;
жилой 15-ти этажный дом с
пристроем по Ст. Разина, 33 с западной стороны - 45м (СНиП 21-01-97).
Территория, не занятая
застройкой, проездами, тротуарами, хозяйственными площадками, благоустроена и
озеленена (СНиП 21-01-97).
Здание детского сада № 126
"Солнечный зайчик" размещено на обособленном участке с отступом от
красных линий не менее 25м.
Разрывы от границ участка
детского сада до стен административных зданий со входами обеспечены не менее
10м, а без входов - 5м (СНиП 21-01-97).
Фактически на территорию
детского сада для проезда пожарных машин выполнено два въезда:
один с западной стороны из
кармана вдоль проспекта Ст. Разина;
второй с южной стороны вдоль
жилого дома по проспекту Ст. Разина, 35 (СНиП 21-01-97).
В соответствии с проектом (шифр
71-413), территория детского сада имеет металлическую ограду из сетки "рабица"
по металлическим столбам.
Подъезд к зданию детского сада
выполнен по дорогам с асфальтобетонным покрытием.
Пожарные гидранты расположены
вдоль проспекта Ст. Разина на расстоянии не более 150м друг от друга и не менее
5м от стен зданий.
Фактические расстояния до
ближайших 2-х пожарных гидрантов: ПГ32 и ПГ26 составляют соответственно 60м и
90м.
На стенах здания детского сада №
126 "Солнечный зайчик" установлены указатели привязки указанных
гидрантов (СНиП 21-01-97).
2.5 Особенностей
водоснабжения и электроснабжения объекта защиты
В здании детского сада выполнен
монтаж внутреннего противопожарного водопровода и установлены пожарные краны в
количестве 9шт.
Для целей наружного
пожаротушения здания детского сада на магистральных сетях водопровода
установлены пожарные гидранты № 32 и 26 вдоль проспекта Ст. Разина, на
расстоянии 60м и 90м от стен объекта.
В соответствии с Правилами
устройства электроустановок (издание 6) конструктивные элементы здания,
замкнутые каналы и пустоты которого использованы для прокладки проводов и
кабелей, являются несгораемыми.
Соединения, ответвления и
оконцевания жил проводов и кабелей произведены при помощи опрессовки, сварки,
пайки или сжимов (винтовых, болтовых и т.п.) в соответствии с действующими
инструкциями, утвержденными в установленном порядке (п.2.1 21 ПУЭ).
Соединения и ответвления
проводов и кабелей, выполнены в соединительных и ответвительных коробках, в
специальных нишах строительных конструкций, внутри корпусов электроустановочных
изделий (п.2.1 26 ПУЭ).
В местах прохода проводов и
кабелей через стены, междуэтажные перекрытия или выхода их наружу обеспечена
возможность смены электропроводки.
Для этого проходы выполнены в
трубах. С целью предотвращения проникновения и скопления воды и распространения
пожара в местах прохода через стены, перекрытия или выхода наружу, зазоры между
проводами, кабелями и трубой, а также резервные трубы, заделаны легко удаляемой
массой из несгораемого материала.
Заделка допускает замену,
дополнительную прокладку новых проводов и кабелей и обеспечивает предел
огнестойкости проема не менее предела огнестойкости стены (перекрытия) (п.2.1 58
ПУЭ издание 6)
Светильники эвакуационного
освещения в здании (независимо от наличия или отсутствия в них естественного
освещения) присоединены к сети, не зависящей от сети рабочего освещения,
начиная от щита подстанции (распределительного пункта освещения), или при
наличии только одного ввода в здание, начиная от этого ввода.
Световые указатели эвакуационных
или запасных выходов в здании, снабжены резервными источниками питания (п.6.1.12
ПУЭ).
Вводно-распределительное
устройство размещено в электрощитовом помещении, расположенном в техподполье
здания, выгороженном противопожарными перегородками 1-го типа, дверь входа в
электрощитовую установлена противопожарная сертифицированная (п.7.1.22 ПУЭ)
Дверь электрощитового помещения
открывается наружу (п.7.1.24 ПУЭ).
Помещение, в которых
установлено, ВРУ и щитки, имеет естественную вентиляцию и электрическое
освещение, а также отопление, обеспечивающее температуру в помещении не ниже +5
° С (п.7.1.25 ПУЭ).
Над каждым основным входом в
здание установлен светильник (п.7.1.41 ПУЭ, издание 6).
В соответствии Правилами
устройства электроустановок (издание 7) штепсельные розетки установлены:
В административно-конторских и
других помещениях на высоте, удобной для присоединения к ним электрических
приборов, в зависимости от назначения помещений и оформления интерьера, но не
выше 1м, или на специально приспособленных для этого плинтусах, выполненных из
негорючих материалов.2. в помещениях для пребывания детей на высоте 1,8м (п.6.6.30
ПУЭ)
Выключатели для светильников
общего освещения установлены на высоте от 0,8 до 1,7м от пола, а в помещениях
для пребывания детей - на высоте 1,8м от пола (п.6.6.31 ПУЭ, издание 7).
В 2009г. электротехнической
лабораторией ООО "ТольяттиСтройСнаб" были произведены проверки измерения
электроустановок, силовых и осветительных проводов и кабелей.
По окончанию работы подготовлен
технический отчет от 2009г. При проведении работы произведены:
измерение сопротивления
заземляющего устройства - протокол № 215 от 08 июня 2009.,
измерение сопротивления цепи
между заземлителями и заземляющими элементами - протокол № 216 от 08 июня 2009г.,
измерение сопротивления изоляции
проводов, кабелей и аппаратуры напряжением ниже 1000В, о чем свидетельствует
протокол № 216 от 08 июня 2009г.,
проверка цепи фаза-нуль с
глухозаземленной нейтралью - протокол № 216 08 июня 2009г.
Проведенные испытания
подтвердили соответствие электрических проводов (кабелей) основного и
аварийного освещения, требованиям нормативных документов (ПУЭ изд.7. п. п.1.8 37,
табл.1.8 34, 1.8 39, 1.8 39.2, 1.8 39.4, 1.7 126. табл.1.7 5, 1.7 127, ПТЭЭП
Приложение 3 п. п.26.1, 26.4., 28.4., табл.36, п.6.2 табл.37).
Таким образом, требуемый уровень
обеспечения пожарной безопасности людей с помощью указанной системы обеспечен,
и составляет не менее 0,999999 предотвращения воздействия опасных факторов в
год в расчете на каждого человека, а допустимый уровень пожарной опасности для
людей не более 10-6 воздействия опасных факторов пожара, превышающих
предельно допустимые значения в год в расчете на одного человека.
Обоснования выполнены по
утвержденным в установленном порядке методикам [2, 29, 28].
В соответствии с п.2 Правил
проведения расчетов по оценке пожарного риска, утвержденных Постановлением
Правительства Российской Федерации от 31 марта 2009 г. № 272 "О порядке
проведения расчетов по оценке пожарного риска" расчеты проводятся путем
сопоставления расчетных величин пожарного риска с соответствующими нормативными
значениями пожарных рисков, установленными Федеральным законом "Технический
регламент о требованиях пожарной безопасности".
Величина допустимого
индивидуального риска регламентирована статьей 79 Федерального Закона от 22
июля 2008 года № 123-ФЗ "Технический регламент о требованиях пожарной
безопасности", в соответствии с которой индивидуальный пожарный риск в
зданиях, сооружениях и строениях не должен превышать значение одной миллионной
в год при размещении отдельного человека в наиболее удаленной от выхода из
здания, сооружения и строения точке.
Таким образом, законом
установлено, что индивидуальный пожарный риск отвечает требуемому, если:
,
(1)
где
-
нормативное значение индивидуального пожарного риска,
= 10-6
год-1 [1, ст.79] ;
QВ - расчетная
величина индивидуального пожарного риска.
Статистические данные о частоте
возникновения пожара в здании берутся для детских дошкольных учреждений (детский
сад, ясли, дом ребенка) и принимается равной 9,72·10-5 в расчете на
одного учащегося.
Учитывая, что максимально возможное
количество детей в здании равно 245 и обслуживающего персонала 69 (всего 314
человек), то частота возникновения пожара равна:
9,72·10-5 ∙314=3,1·10-2
[2, п.8, прил.1].
Для прогнозирования опасных
факторов пожара в настоящее время используются интегральные (прогноз средних
значений параметров состояния среды в помещении для любого момента развития
пожара), зонные (прогноз размеров характерных пространственных зон, возникающих
при пожаре в помещении и средних значений параметров состояния среды в этих
зонах для любого момента развития пожара.
Примеры зон - припотолочная
область, восходящий на очагом горения поток нагретых газов и область
незадымленной холодной зоны) и полевые (дифференциальные) модели пожара (прогноз
пространственно-временного распределения температур и скоростей газовой среды в
помещении, концентраций компонентов среды, давлений и плотностей в любой точке
помещения).
Для проведения расчетов,
необходимо проанализировать следующие данные:
объемно-планировочных решений
объекта;
теплофизических характеристик
ограждающих конструкций и размещенного на объекте оборудования;
вида, количества и расположения
горючих материалов;
количества и вероятного
расположения людей в здании;
материальной и социальной
значимости объекта;
систем обнаружения и тушения
пожара, противодымной защиты и огнезащиты, системы обеспечения безопасности
людей.
При этом учитывается:
вероятность возникновения пожара;
возможная динамика развития
пожара;
наличие и характеристики систем
противопожарной защиты (СППЗ);
вероятность и возможные
последствия воздействия пожара на людей, конструкцию здания и материальные
ценности;
соответствие объекта и его СППЗ
требованиям противопожарных норм.
Далее необходимо обосновать
сценарий развития пожара. Формулировка сценария развития пожара включает в себя
следующие этапы:
выбор места расположения
первоначального очага пожара и закономерностей его развития;
задание расчетной области (выбор
рассматриваемой при расчете системы помещений, определение учитываемых при
расчете элементов внутренней структуры помещений, задание состояния проемов);
задание параметров окружающей
среды и начальных значений параметров внутри помещений.
1) Интегральная модель пожара
Интегральная математическая
модель пожара описывает в самом общем виде процесс изменения во времени
состояния газовой среды в помещении.
С позиций термодинамики газовая
среда, заполняющая помещение с проемами (окна, двери и т.п.), как объект
исследования есть открытая термодинамическая система. Ограждающие конструкции (пол,
потолок, стены) и наружный воздух (атмосфера) является внешней средой по
отношению в этой термодинамической системе. Эта система взаимодействует с
внешней средой путем тепло - и массообмена. В процессе развития пожара через
одни проемы выталкивается из помещения нагретые газы, а через другие поступает
холодных воздух. Количество вещества, т.е. масса газа в рассматриваемой
термодинамической системе, в течении времени изменяется.
Поступление холодного воздуха
обусловлено работой проталкивания, которую совершает внешняя среда. Термогазодинамическая
система в свою очередь совершает работу, выталкивая нагретые газы во внешнюю
атмосферу. Эта термодинамическая система взаимодействует также с ограждающими
конструкциями путем теплообмена. Кроме того, в эту систему с поверхности
горящего материала (т.е. из пламенной зоны) поступает вещество в виде
газообразных продуктов горения.
Состояние рассматриваемой термодинамической
системы изменяется в результате взаимодействия с окружающей средой. В
интегральном методе описания состояния термодинамической системы, коей является
газовая среда в помещении, используются "интегральные" параметры
состояния - такие, как масса всей газовой среды и ее внутренняя тепловая
энергия. Отношение этих двух интегральных параметров позволяет оценивать в
среднем степень нагретости газовой среды.
В процесс развития пожара,
значения указанных интегральных параметров состояния изменяются.
Математический аппарат модели
изложен в научно-методических пособиях [2].
2) Зонная модель пожара
Зонный метод расчета динамики
ОФП основан на фундаментальных законах природы - законах сохранения массы,
импульса и энергии.
Газовая среда помещений является
открытой термодинамической системой, обменивающейся массой и энергией с
окружающей средой через открытые проемы в ограждающих конструкциях помещения.
Газовая среда является
многофазной, т.к состоит из смеси газов (кислород, азот, продукты горения и
газификация горючего материала, газообразное огнетушащие вещество) и
мелкодисперсных частиц (твердых или жидких) дыма и огнетушащих веществ.
В зонной математической модели
газовый объем помещения разбивается на характерных зоны, в которых для описания
тепломассобмена используются соответствующие уравнения законов сохранения.
Размеры и количество зон
выбирается таким образом, что бы в пределах каждой из них неоднородность
температурных и других полей параметров газовой среды были возможно
минимальными, или из каких-то других предположений, определяемых задачами
исследования и расположением горючего материала.
Наиболее распространенной
является трехзонная модель, в которой объем помещения разбит на следующие зоны:
конвективная колонка, припотолочный слой и зона холодного воздуха, рисунке 3.1.

Рисунок 3.1 Трехзонная модель
пожара
В результате расчета по зонной
модели находятся зависимости от времени следующих параметров тепломассообмена:
среднеобъемных значений
температуры, давления, массовых концентраций кислорода, азота, огнетушащего
газа и продуктов горения, а также оптической плотности дыма и дальности
видимости в нагретом задымленном припотолочном слое в помещении;
нижнюю границу нагретого задымленного
припотолочного слоя;
распределение по высоте колонки
массового расхода, осредненных по поперечному сечению колонки величин
температуры и эффективной степени черноты газовой смеси;
массовых расходов истечения
газов наружу и притока наружного воздуха внутрь через открытые проемы;
тепловых потоков, отводящих в
потолок, стены и пол, а также излучаемых через проемы;
температуры (температурных полей)
ограждающих конструкций.
Математический аппарат модели
изложен в научно-методических пособиях [2, 28, 29].
3) Полевой (дифференциальный) метод
расчета
Полевой метод является наиболее
универсальным из существующих детерминистических методов, поскольку он основан
на решении уравнений в частных производных, выражающих фундаментальные законы
сохранения в каждой точке расчетной области.
С его помощью можно рассчитать
температуру, скорость, концентрации компонентов смеси и т.п. в каждой точки
расчетной области (рисунок 3.2).

Рисунок 3.2 Расчеты с помощью
полевой модели
В связи с этим полевой метод
может использоваться:
для проведения научных
исследований в целях выявления закономерностей развития пожара;
для проведения сравнительных
расчетов в целях апробации и совершенствования менее универсальных и зональных
и интегральных моделей, проверки обоснованности и их применения;
Выбора рационального варианта
противопожарной защиты конкретных объектов: моделирования распространения
пожара в помещениях высотой более 6м.
В своей основе полевой метод не
содержит никаких априорных допущений о структуре течения, и связи с этим
принципиально применим для рассмотрения любого сценарий развития пожара.
Вместе с тем, следует отметить,
что его использование требует значительных вычислительных ресурсов. Это
накладывает ряд ограничений на размеры рассматриваемой системы и снижает
возможность проведения многовариантных расчетов. Поэтому, интегральный и
зональный методы моделирования также являются важным инструментами в оценке
пожарной опасности объектов в тех случаях, когда они обладают достаточной
информативностью и сделанные при их формулировке допущения не противоречат
картине развития пожара.
Однако, на основе проведенных
исследований, можно утверждать, что поскольку априорные допущения зонных
моделей могут приводить к существенным ошибкам при оценке пожарной опасности
объекта, предпочтительно использовать полевой метод моделирования в следующих
случаях:
для помещений сложной
геометрической конфигурации, а также для помещений с большим количеством
внутренних преград;
помещений, в которых один из
геометрических размеров гораздо больше остальных;
помещений, где существует
вероятность образования рециркуляционных течений без формирования верхнего
прогретого слоя (что является основным допущением классических зонных моделей);
в иных случаях, когда зонные и
интегральные модели являются недостаточно информативными для решения
поставленных задач, либо есть основании считать, что развитие пожара может
существенно отличаться от априорных допущений зональных и интегральных моделей
пожара.
Математический аппарат модели
изложен в научно-методических пособиях [2, 28, 29].
Выбор конкретной модели расчета
времени блокирования путей эвакуации следует осуществлять исходя из следующих
предпосылок:
1) интегральный метод:
для зданий и сооружений,
содержащих- развитую систему помещений
малого объема простой геометрической конфигурации проведении имитационного
моделирования для случаев, когда учет-
стохастического характера пожара является более важным, чем точное и детальное
прогнозирование его характеристик;
для помещений, где характерный
размер- очага пожара соизмерим с
характерным размером помещения;
2) зональный метод:
для помещений и систем помещений
простой геометрической- конфигурации,
линейные размеры которых соизмеримы между собой;
для помещений большого объема,
когда размер очага пожара существенно меньше размеров помещения;
для рабочих зон, расположенных
на разных уровнях в пределах- одного
помещения (наклонный зрительный зал кинотеатра, антресоли и т.д.);
3) полевой метод:
для помещений сложной
геометрической конфигурации, а также помещений с большим количеством внутренних
преград (атриумы с системой галерей и примыкающих коридоров,
многофункциональные центры со сложной системой вертикальных и горизонтальных
связей и т.д.);
для помещений, в которых один из
геометрических размеров гораздо больше (меньше) остальных (тоннели, закрытые
автостоянки большой площади и. т.д.);
для иных случаев, когда
применимость или информативность зонных и интегральных моделей вызывает
сомнение (уникальные сооружения, распространение пожара по фасаду здания,
необходимость учета работы систем противопожарной защиты, способных качественно
изменить картину пожара, и т.д.).
В нашем случае используем
зональную модель. Выбор расчетной модели базируется на анализе
объемно-планировочных решений объекта и особенностях сценария.
Учитывая следующие особенности:
объект представляет собой
систему помещений простой геометрической конфигурации, линейные размеры которых
соизмеримы между собой (линейные размеры помещения отличаются не более чем в 5
раз);
размер источника пожара
достаточен для формирования дымового слоя и при этом меньше размеров объекта [2,
приложение 6].

Рисунок 3.3 Зонная модель
Зонная модель предполагает
выделение в помещении нескольких зон: дымовой слой, незадымленный слой,
конвективная колонка - в которых термодинамические параметры можно считать
однородными.
В расчете принимаются следующие
допущения:
1. Пожар регулируется нагрузкой,
т.е. снижение количества кислорода в помещении пожара не учитывается.
2. Пожар начинается в центре
нагрузки и распространяется радиально с постоянной скоростью.
1) Расчет времени блокирования. Расчет
произведен в соответствии с [2, приложение 2].
Сценарий 1. Расчет
проводился при условии блокирования основных лестничных клеток 1 типа.
Этаж 01. Помещение 10.
Поверхность горения 01
| Параметр |
Ед. изм. |
Значение |
| Площадь возгорания |
м |
1 |
| Типовая горючая нагрузка |
|
Здания I-II ст. огнест.; мебель+бытовые изделия |
| - Коэффициент полноты горения |
|
0,97 |
| Q - Низшая теплота сгорания |
МДж/кг |
13,8 |
| F-Удельная
массовая скорость выгорания |
кг/ (м·с) |
0,0145 |
| v - Линейная скорость распространения пламени |
м/с |
0,0108 |
| LO2 - Удельный
расход кислорода |
кг/кг |
1,03 |
| Dm - Дымообразующая способность горящего материала |
Нп·м/кг |
270 |
| Макс. выход CO2 |
кг/кг |
0.203 |
| Макс. выход CO |
кг/кг |
0.0022 |
| Макс. выход HCl |
кг/кг |
0.014 |
| Критерий возгорания |
|
Время |
| Параметр |
Ед. изм. |
Значение |
| Время моделирования |
с. |
600 |
| Начальная температура |
°С |
20 |

Рисунок
3.4. Вид модели для сценария 1
Таблица 4.1. Таблица результатов
| Имя |
B |
T |
V |
O2
|
CO2
|
CO |
HCl |
AT |
| рт_02 |
99 |
Не опасно |
99 |
397 |
Не опасно |
Не опасно |
123 |
Не опасно |
| рт_01 |
141 |
Не опасно |
141 |
Не опасно |
Не опасно |
Не опасно |
172 |
Не опасно |
| рт_04 |
74 |
Не опасно |
74 |
126 |
Не опасно |
Не опасно |
81 |
Не опасно |
| рт_03 |
37 |
Не опасно |
37 |
62 |
Не опасно |
Не опасно |
53 |
Не опасно |
Где: B - Время блокирования; T -
по повышенной температуре; V - по потере видимости; O2 - по
пониженному содержанию кислорода; CO2 - по CO2; CO - по CO; HCl - по HCL; AT - По тепловому потоку.

Рисунок 3.4 График процесса для
точки РТ 02

Рисунок 3.5 График процесса для
точки РТ 01

Рисунок 3.6. График процесса для
точки РТ 04

Рисунок 3.7. График процесса для
точки РТ 03
Анализ графиков позволяет
сделать вывод:
Время блокирования - 0,61 мин
Вывод по сценарию №1. Место
возникновения пожара - медпункт.
Сценарий №2. Расчет
проводился при условии блокирования лестничных клеток 3 типа (Рисунок 3.8).
Этаж 01. Помещение 02. Поверхность
горения 01
| Параметр |
Ед. изм. |
Значение |
| Площадь возгорания |
м |
1 |
| Типовая горючая нагрузка |
|
Здания I-II ст. огнест.; мебель+бытовые изделия |
| - Коэффициент полноты горения |
|
0,97 |
| Q - Низшая теплота сгорания |
МДж/кг |
13,8 |
| F -
Удельная массовая скорость выгорания |
кг/ (м·с) |
0,0145 |
| v - Линейная скорость распространения пламени |
м/с |
0,0108 |
| LO2 - Удельный
расход кислорода |
кг/кг |
1,03 |
| Dm - Дымообразующая способность горящего материала |
Нп·м/кг |
270 |
| Макс. выход CO2 |
кг/кг |
0.203 |
| Макс. выход CO |
кг/кг |
0.0022 |
| Макс. выход HCl |
кг/кг |
0.014 |
| Критерий возгорания |
|
Время |
| Величина критерия возгорания |
с. |
0 |
| Параметр |
Ед. изм. |
Значение |
| Время моделирования |
с. |
600 |
| Начальная температура |
°С |
20 |

Рисунок 3.8. Вид модели для
сценария 2
Результаты расчетов представлены
в таблице 4.2
Таблица 4.2 Таблица результатов
| Имя |
B |
T |
V |
O2 |
CO2 |
CO |
HCl |
AT |
| рт_05 |
201 |
Не опасно |
201 |
Не опасно |
Не опасно |
Не опасно |
320 |
Не опасно |
| рт_06 |
137 |
Не опасно |
137 |
329 |
Не опасно |
Не опасно |
169 |
Не опасно |
Графики развития ОФП
представлены ниже.

Рисунок 3.9. График процесса для
точки РТ 05

Рисунок 3.10. График процесса
для точки РТ 06
Время блокирования - 2,28 мин
Сценарий №2. Место возникновения
пожара - спальня на первом этаже.
В соответствии с методикой
определения расчетных величин пожарного риска в зданиях, сооружениях и
строениях различных классов функциональной пожарной опасности, утвержденной Приказом
МЧС от 30 июня 2009 г. N 382, расчетная величина индивидуального пожарного
риска Qв в каждом здании рассчитывается по формуле:
Qв=Qп× (1-Rап)
×Pпp× (1-Рэ) × (1-Pпз),
где Qп - частота
возникновения пожара в здании в течение года;
Rап
- вероятность эффективного срабатывания установок автоматического
пожаротушения (далее - АУПТ).
Значение параметра Rап определяется технической надежностью элементов
АУПТ, приводимых в технической документации. АУПТ в здании не предусмотрены.
Рпр - вероятность
присутствия людей в здании, определяемая из соотношения Рпр= tфункц/24, где tфункц
- время нахождения людей в здании в часах. Принято Рпр= tфункц/24=12/24=0,5 (12 часовой учебный (воспитательный)
день) [2, п.8] ;
Рэ - вероятность
эвакуации людей;
Вероятность эвакуации Рэ
рассчитывают по формуле:

где tр - расчетное
время эвакуации людей, мин.
tнэ
- время начала эвакуации (интервал времени от возникновения пожара до начала
эвакуации людей), мин.
В здании функционирует система
оповещения III типа, принято tнэ=
4 мин [2, прил. №5] ;
tбл
- время от начала пожара до блокирования эвакуационных путей в результате
распространения на них ОФП, имеющих предельно допустимые для людей значения (время
блокирования путей эвакуации), мин;
tск
- время существования скоплений людей на участках пути (плотность людского
потока на путях эвакуации превышает значение 0,5);
Рпз - вероятность
эффективной работы системы противопожарной защиты, направленной на обеспечение
безопасной эвакуации людей при пожаре, рассчитывается по формуле:
Рпз = 1 - (1 - Rобн RСОУЭ)
(1 - Rобн RПДЗ),
где Rобн
- вероятность эффективного срабатывания системы пожарной сигнализации;
RСОУЭ - условная
вероятность эффективного срабатывания системы оповещения людей о пожаре и
управления эвакуацией людей в случае эффективного срабатывания системы пожарной
сигнализации.
RПДЗ - условная
вероятность эффективного срабатывания системы противодымной защиты в случае
эффективного срабатывания системы пожарной сигнализации.
В здании отсутствуют системы
противодымной защиты.
Результаты расчета для сценария
1:
tбл=0,61
мин (прил.1)
tр=1,58 мин (прил.3) наихудший
вариант движения
tнэ=4
мин [2, прил. №5]
tск=0,37
мин (прил.3)
Рэ = 0
т.к 1,58>0,8·0,61 → 1,58>0,448
| Qп |
0,031 |
частота возникновения пожара в течение года |
| Rап |
0 |
вероятность эффективного срабатывания АУПТ |
| t функ |
12 |
время нахождения людей в здании в часах |
| Рпр |
0,5 |
вероятность присутствия людей в здании |
| Рэ |
0 |
вероятность эвакуации людей |
| Rобн |
0,98 |
вероятность эффективного срабатывания АПС |
| Rcoуэ |
0,98 |
условная вероятность эффективного срабатывания СОУЭ |
| Rпдз |
0 |
условная вероятность эффективного срабатывания системы
противодымной защиты |
| Рп. з |
0,9604 |
вероятность эффективной работы системы противопожарной защиты |
| Qв |
6,1·10-4
|
расчетная величина индивидуального пожарного риска |
6,1·10-4 >10-6
Вывод: Индивидуальный пожарный
риск превышает допустимое значение [1, ст.79].
Согласно [2, п. 20], если
пожарный риск превышает допустимое значение необходимо разработать
дополнительные противопожарные мероприятия.
На объекте необходимо установить
противопожарные двери и двери, обеспечивающие газодымонепроницаемость с
устройствами для самозакрывания. (см. план-схему 1,2)
Тогда:
Рэ = 0,999 - отсутствует
воздействие опасных факторов пожара на людей.
| Qп |
0,031 |
частота возникновения пожара в течение года |
| Rап |
0 |
вероятность эффективного срабатывания АУПТ |
| t функ |
12 |
время нахождения людей в здании в часах |
| Рпр |
0,5 |
вероятность присутствия людей в здании |
| Рэ |
0,999 |
вероятность эвакуации людей |
| Rобн |
0,98 |
вероятность эффективного срабатывания АПС |
| Rcoуэ |
0,98 |
условная вероятность эффективного срабатывания СОУЭ |
| Rпдз |
0 |
условная вероятность эффективного срабатывания системы
противодымной защиты |
| Рп. з |
0,9604 |
вероятность эффективной работы системы противопожарной защиты |
| Qв |
0,61·10-7
|
расчетная величина индивидуального пожарного риска |
0,61·10-7 < 10-6
Индивидуальный пожарный риск
соответствует допустимому значению [1, ст.79].
Результаты расчета для сценария
2:
tбл=2,28
мин
tр=2,22 мин наихудший
вариант движения
tнэ=4
мин [2, приложение №5]
tск=1,48
мин (прил.4)
Рэ = 0
т.к 2,22> 0,8·2,28 → 2,22>1,824
| Qп |
0,031 |
частота возникновения пожара в течение года |
| Rап |
0 |
вероятность эффективного срабатывания АУПТ |
| t функ |
12 |
время нахождения людей в здании в часах |
| Рпр |
0,5 |
вероятность присутствия людей в здании |
| Рэ |
0 |
вероятность эвакуации людей |
| Rобн |
0,98 |
вероятность эффективного срабатывания АПС |
| Rcoуэ |
0,98 |
условная вероятность эффективного срабатывания СОУЭ |
| Rпдз |
0 |
условная вероятность эффективного срабатывания системы
противодымной защиты |
| Рп. з |
0,9604 |
вероятность эффективной работы системы противопожарной защиты |
| Qв |
6,1·10-4
|
расчетная величина индивидуального пожарного риска |
6,1∙10-4> 10-6
Индивидуальный пожарный риск
превышает допустимое значение [1, ст.79].
Согласно [2, п. 20], если
пожарный риск превышает допустимое значение необходимо разработать
дополнительные противопожарные мероприятия.
На объекте необходимо установить
противопожарные двери и двери, обеспечивающие газодымонепроницаемость с
устройствами для самозакрывания.
Тогда:
Рэ = 0,999 - отсутствует
воздействие опасных факторов пожара на людей в здании.
| Qп |
0,031 |
частота возникновения пожара в течение года |
| Rап |
0 |
вероятность эффективного срабатывания АУПТ |
| t функ |
12 |
время нахождения людей в здании в часах |
| Рпр |
0,5 |
вероятность присутствия людей в здании |
| Рэ |
0,999 |
вероятность эвакуации людей |
| Rобн |
0,98 |
вероятность эффективного срабатывания АПС |
| Rcoуэ |
0,98 |
условная вероятность эффективного срабатывания СОУЭ |
| Rпдз |
0 |
условная вероятность эффективного срабатывания системы
противодымной защиты |
| Рп. з |
0,9604 |
вероятность эффективной работы системы противопожарной защиты |
| Qв |
0,61·10-7
|
расчетная величина индивидуального пожарного риска |
0,61·10-7< 10-6
Индивидуальный пожарный риск
отвечает требуемому [1, ст.79]
В настоящее время требования
пожарной безопасности содержатся в более 2000 нормативных документах. При этом
многие из них полностью или частично посвящены вопросам пожарной безопасности.
Так, практически каждое второе
требование в нормах проектирования производственных, складских, жилых и
общественных зданий является противопожарным, на 100 процентов строительные
нормы и правила проектирования складов нефти и нефтепродуктов и целого ряда
других объектов состоят из вопросов пожарной безопасности.
Вследствие недостаточной
проработки вопросов пожарной безопасности, без анализа положения дел с пожарами
и недостаточного учета зарубежного опыта в нормах проектирования и использования
тех или иных материалов и строительных конструкций из них, накопился ряд
существенных недостатков, повышающих пожарные риски.
Известно, что в нормальных
условиях эксплуатации совмещенные покрытия с основой из стального
профилированного листа толщиной 0,8-1,0 мм, легким утеплителем из
пенополистирольных (1111С) плит толщиной не менее 50 мм и рубероидной кровлей
на битумной мастике имеют некоторые преимущества в сравнении с традиционно
используемыми покрытиями по сборным железобетонным плитам.
Применение пенополистирольных
плит (ПСБ, ПСБ-С и их модификаций) в покрытиях обуславливается их малой
плотностью и водопоглощением, технологичностью, высокими теплоизоляционными и
прочностными свойствами.
Такие конструкции имеют в
несколько раз меньшую массу, что позволяет снизить расход стали на основные
несущие элементы (колонны, балки, фермы, прогоны и т.п.) и уменьшить общую
стоимость строительства. Кроме того, применение облегченных покрытий давало
возможность сократить сроки возведения, например, промышленных зданий, за счет
использования блочных и конвейерных методов сборки непосредственно на
строительной площадке.
Массовое строительство
общественных зданий и сооружений, объектов энергетики (атомных и тепловых
электростанций), металлургии, машиностроения, в покрытиях которых
использовались пенополистирольные плиты, началось фактически с введением в
действие СНиП П-А.5-70 "Противопожарные нормы проектирования зданий и
сооружений".
Уже на стадии согласования этих
норм между представителями Госстроя и специалистами пожарной охраны (ГУПО и
ВНИИПО) возникли существенные разногласия по вопросу применения в строительстве
утеплителей из полимерных материалов и, в частности, ПСБ-С. Специалисты
пожарной охраны настаивали на исключении из приложения 1 проекта указанного
СНиПа пенопласта ПСБ-С, классифицированного как трудносгораемый материал, и
предлагали считать конструкции с этим утеплителем и тонкими металлическими
обшивками сгораемыми.
Однако предложения ГУПО и ВНИИПО
при составлении окончательной редакции СНиП П-А.5-70 учтены не были.
По этим нормам
пенополистирольный утеплитель ПСБ-С был классифицирован как трудносгораемый
материал, а конструкции с его применением, и, в частности, совмещенные покрытия
по стальному профнастилу, отнесены к трудносгораемым с пределом огнестойкости
0,25 ч, что фактически разрешило массовое строительство производственных и
других зданий с такими конструкциями независимо от их размеров, высоты, степени
огнестойкости и категории размещаемых в них производств.
За счет широкого использования
сгораемых полимерных утеплителей в ограждениях был снижен ряд требований по
противопожарной защите зданий и сооружений. Единственным аргументом Госстроя,
как основного разработчика этих противопожарных норм, по вопросу более широкого
использования полимерных утеплителей в конструкциях являлась лишь стоимость
строительства, а условия безопасности людей, производства и материальных
ценностей во внимание не принимались.
Плиты ПСБ (без добавки
антипирена) и ПСБ-С (так называемый "самозатухающий"), имеющий в
своем составе антипирен - тетрабромпараксилол (4-5% к весу самого полистирола),
освоены производством в начале 60-х годов. В соответствии с ГОСТ 15588 плиты
предназначены для тепловой изоляции строительных конструкций и промышленного
оборудования при температуре изолируемых поверхностей не выше + 70 °С и имеют
следующие физико-механические характеристики:
толщина выпускаемых плит от 20
до 100 мм;
плотность от 20 до 40 кг/м3,
причем плиты марки 20 выпускаются без антипиреновой добавки;
температура плавления полистирола
около 200 °С;
температура воспламенения
полистирола 310 °С;
коэффициент теплопроводности в
сухом состоянии при 20 °С 0,035 Вт/мхград;
предел прочности при статическом
изгибе и сжатии соответственно около 0,7 и 0,8 МПа;
низшая теплота сгорания около
39,8 МДж/кг (9500 ккал/кг).
Проведенные во ВНИИПО в середине
60-х годов исследования, показали что, ППС плиты марок ПСБ и ПСБ-С обладают
повышенной пожароопасностью. Было установлено, что при плотности около 20 кг/м3
они относятся к сгораемым легковоспламеняемым материалам, при плотности более
20 кг/м к сгораемым. При действии пламени газовой горелки (метод огневой трубы)
эти материалы легко загораются, плавятся, плав в свою очередь загорается и,
растекаясь, вызывает интенсивное распространение огня по испытываемым образцам.
К тому же при своем горении плиты ПСБ, ПСБ-С и другие обладают высокими
дымообразующей способностью и токсичностью продуктов горения.
Одновременно с исследованиями
пожароопасных свойств самих материалов из ППС, во ВНИИПО в конце 60-х годов проводилась
серия стандартных испытаний образцов наружных ограждений (покрытий по
штампованному профлисту, а также фрагментов стен из трехслойных панелей со
стальными, алюминиевыми, асбестоцементными обшивками и утеплителем из ПСБ-С
плотностью 30-35 кг/м3) с целью определения их пожарно-технических
характеристик.
Испытаниями фрагментов стен с
различными типами обшивок и утеплителем из ПСБ-С было установлено, что такой
утеплитель воспламеняется, как правило, уже через 3-4 мин от начала
одностороннего теплового воздействия по режиму "стандартного" пожара,
после чего имеет место скрытое распространение огня по утеплителю внутри
конструкций. Горение и разложение полистирола в панелях стен сопровождалось
образованием плава, обильным выделением дыма и токсичных продуктов горения и
продолжалось практически до полного выгорания утеплителя даже при удалении
источника теплового воздействия на конструкции.
По результатам проведенных
исследований навесные стены с обшивками из тонких стальных, алюминиевых или
асбестоцементных листов при толщине соответственно 0,8 мм и 10 мм и утеплителем
из ПСБ-С независимо от его толщины отнесены к группе сгораемых
конструкций с пределом огнестойкости 0,1-0,2 ч.
Испытанные образцы покрытий с
утеплителем из ПСБ-С по штампованному профнастилу (при толщине листа 0,8-1,0 мм)
также обладают высокой пожароопасностью. Конструкция совмещенного покрытия (несущий
элемент - штампованный профнастил толщиной 0,8 мм; пароизоляция один слой
рубероида на битумной мастике, утеплитель плиты из ПСБ-С толщиной 50 мм; кровля
2-3 слоя рубероида на битумной мастике) отнесена к группе сгораемых, предел
огнестойкости такого покрытия под нагрузкой 100 кг/м2 составляет 0,2-0,25 ч.
Наличие незаполненных пустот в
гофрах несущего профнастила, а также ненормируемый расход битумной мастики для
крепления элементов конструкции между собой, существенно повышает способность
ПСБ-С к скрытому распространению огня по таким покрытиям. Этот процесс также
сопровождается образованием и вытеканием горящего плава полистирола и битума через
стыки между деформированными листами профнастила в условиях одностороннего
нагрева.
Использование ПСБ-С и других
подобных полимерных материалов в покрытиях по штампованному профнастилу без
надлежащей огнезащиты со стороны возможного теплового воздействия привело на
отдельных объектах к катастрофическим последствиям.
С начала 70-х годов и в
последующем произошли крупные пожары на Бухарском хлопчато-бумажном комбинате,
Капчагайском фарфоровом заводе, Чернобыльской АЭС, а также пожары в городах
Житомире, Челябинске, Надыме, Жлобине, Ленинграде.
Эти пожары в отдельных случаях
явились следствием неосторожного обращения с огнем при проведении газосварочных
работ, халатности обслуживающего персонала, нарушений технологического
процесса, неисправности электрооборудования и других причин, и
характеризовались:
быстрым распространением огня по
покрытиям на значительные площади (до 100-150 тыс. м2);
значительными деформациями
настилов покрытий и основных несущих элементов (стальных ферм, балок, прогонов
и т.п.), что приводило к их преждевременному обрушению уже на 12-18 мин от
начала развитой стадии пожара;
образованием горящего плава ППС
и битумных материалов, стекающих внутрь горящих помещений, что существенно
увеличивало пожарную нагрузку;
значительной продолжительностью
(2 ч и более) и сложностью тушения, малой эффективностью применяемых средств
пожаротушения вследствие скрытого распространения огня по утеплителю;
выделением большого количества
дыма и токсичных продуктов термического разложения и горения полимерных
материалов.
Обрушение несущих элементов
покрытий и профнастила довершали уничтожение технологического оборудования и
материальных ценностей, находящихся в зданиях на момент возникновения пожаров.
Так как характер развития
указанных пожаров в зданиях и размер ущерба от них, в основном, определялись
поведением облегченных конструкций покрытий, возникла необходимость путем
экспериментов в условиях, максимально приближенных к натурным, произвести
дополнительную проверку огнестойкости и горючести покрытий со стальным
профнастилом и сгораемыми изоляционными слоями (пароизоляцией, полимерным
утеплителем, 3-4-х слойной кровлей из рулонных материалов с использованием
битумных связующих), а также разработать мероприятия по повышению огнестойкости
и снижению пожарной опасности таких конструкций.
Натурные огневые испытания
различных вариантов покрытий проводились при участии ВНИИПО, ГУПО и организаций
Госстроя СССР на фрагментах зданий размерами:
6*12 м и высотой 3 м (2
фрагмента, ТЭЦ-25 Мосэнерго, г. Москва, 1973 г);
24*24 м и высотой 6 м (1
фрагмент со световым фонарем, КамАЗ, г. Набережные Челны, 1974 г);
24*18 м и высотой 6 м до низа
несущих ферм (2 фрагмента, каждый из двух блоков размером по 12*18 м, ЖБК г. Бухара,
1974 г);
12*12 м и высотой 6 м (2
фрагмента, АвтоВАЗ, г. Тольятти, 1989-90 г. г).
В процессе натурных огневых
испытаний покрытий проверялись различные виды теплоизоляционных материалов (утеплителей),
конструктивных решений фрагментов покрытия, а также противопожарных преград и
дополнительной изоляции со стороны возможного теплового воздействия на
конструкции (наличие гравийной посыпки толщиной 20-25 мм на кровле, или
использование дополнительной негорючей изоляции, уложенной непосредственно на
профнастил, а также устройство подвесного потолка).
Натурными испытаниями покрытия
площадью 576 м2, проведенными на КамАЗе (г. Набережные Челны) в июле
1974 г., было установлено следующее:
1. При возникновении пожара на
кровле предложенные дополнительные мероприятия (посыпка из гравия при толщине
слоя 15-20 мм, заполнение пустот гофр несущего профнастила негорючей
минеральной ватой с торцев на длину 250 мм), независимо от типа и марки
полимерного утеплителя, практически исключили возможность распространения
горения по кровле по всем вариантам конструкций покрытия даже при наличии ветра
скоростью до 10 м/с и температуре окружающего воздуха + 25 °С.
2. При пожаре внутри помещения
температура на стальном профнастиле достигала 250-300 °С (при которой возможно
воспламенение ПСБ-С) к 12-й минуте эксперимента.
В результате продолжающегося
горения изобутилового спирта в противнях (использованного в качестве горючей
нагрузки) температура на профнастиле, изоляционных слоях и незащищенных несущих
стальных конструкциях к 18-й минуте эксперимента превысила в некоторых точках
900°С [43].
На 19-й минуте опыта обрушились
основные несущие элементы фрагмента, что вызвало обрушение самого покрытия на
всей его площади.
Таким образом, при локальном
пожаре внутри помещения и площади горения, составляющей около 10% общей площади
испытываемого фрагмента, обрушение всех незащищенных металлических конструкций
происходит через 0,3 ч от начала огневого воздействия, а зона горения и
повреждения огнем изоляционных слоев покрытия распространилась на площадь,
значительно превышающую площадь локального пожара.
В целом, с учетом результатов
проведенных натурных испытаний, для снижения пожарной опасности эксплуатируемых
покрытий с утеплителем из ПСБ-С были рекомендованы следующие основные
мероприятия:
замена ПСБ-С на негорючий
утеплитель;
обязательное наличие гравийной
посыпки толщиной не менее 20 мм на кровле или устройство цементной стяжки;
нормируемый расход битумных
материалов в изоляционных слоях конструкций;
устройство противопожарных
поясов в покрытиях путем замены в этих поясах горючего материала на негорючий;
забивка пустот гофр профнастила
по всей площади покрытия негорючим материалом;
дополнительная защита сгораемых
теплоизоляционных слоев со стороны профнастила негорючими листовыми и плитными
материалами (комбинированное покрытие);
устройство огнезащитных
подвесных потолков в межферменном пространстве.
Однако эти рекомендации были
реализованы на объектах с покрытиями из ПСБ-С не в полном объеме.
В соответствии с требованиями
СНиП 21-01-97* строительные материалы, в т. ч. утеплители конструкций, характеризуются
только пожарной опасностью.
Пожарная опасность строительных
материалов определяется следующими пожарно-техническими характеристиками: горючестью,
воспламеняемостью, распространением пламени по поверхности, дымообразующей
способностью и токсичностью продуктов горения.
По горючести строительные
материалы подразделяются на негорючие (НГ) и горючие (Г).
Горючие строительные материалы
подразделяются на:
слабогорючие (Г1),
умеренногорючие (Г2),
нормальногорючие (ГЗ),
сильногорючие (Г4).
Горючесть строительных
материалов устанавливают по ГОСТ 30244.
Горючие строительные материалы
по воспламеняемости подразделяются на три группы:
В1 (трудновоспламеняемые);
В2 (умеренновоспламеняемые);
ВЗ (легковоспламеняемые).
Группы строительных материалов
по воспламеняемости устанавливают по ГОСТ 30402.
По дымообразующей способности
горючие строительные материалы подразделяются на три группы:
Д1 (с малой дымообразующей
способностью);
Д2 (с умеренной дымообразующей
способностью);
ДЗ (с высокой дымообразующей
способностью).
Группы строительных материалов
по дымообразующей способности устанавливают по 2.14.2 и 4.18 ГОСТ 12.1 044.
По токсичности продуктов горения
горючие строительные материалы подразделяются на четыре группы:
Т1 (малоопасные);
Т2 (умеренноопасные);
ТЗ (высокоопасные);
Т4 (чрезвычайноопасные).
Группы строительных материалов
по токсичности продуктов горения устанавливаются по 2.16.2 и 4.20 ГОСТ 12.1 044.
Утеплители конструкций подлежат
сертификации в области пожарной безопасности. Согласно НПБ 244 определяются для
утеплителей определяются следующие показатели пожарной опасности: группа
горючести по ГОСТ 30244, группа воспламеняемости по ГОСТ 30402 и группа
дымообразующей способности по ГОСТ 12.1 044 (п.4.18).
Пределы огнестойкости
строительных конструкций устанавливаются по ГОСТ 30247, а классы пожарной
опасности по ГОСТ 30403.
По пожарной опасности
строительные конструкции подразделяются на четыре класса:
непожароопасные (КО),
малопожароопасные (К1),
умереннопожароопасные (К2),
пожароопасные (КЗ).
Минимальные значения пределов
огнестойкости для основных строительных конструкций зданий (сооружений),
которыми определяется их степень огнестойкости, приведены в таблице 4*СНиП
21-01-97*.
Для бесчердачных покрытий (настилов,
в т. ч. с утеплителем) зданий II-IV степеней огнестойкости предел огнестойкости
должен составлять не менее RE 15 [43].
В этом случае в качестве несущих
допускается применять незащищенные от огня стальные конструкции независимо от
их фактического предела огнестойкости, за исключением случаев, когда предел
огнестойкости несущих элементов по результатам испытаний составляет менее R 8
см. п.5.18* СНиП 21-01-97*.
Для покрытий зданий I степени
огнестойкости минимальный предел огнестойкости должен составлять RE 30 и в этом
случае все несущие элементы подлежат дополнительной огнезащите, обеспечивающей
указанный показатель.
Степень участия строительных
конструкций в развитии пожара и образовании его опасных факторов определяет
класс конструктивной пожарной опасности здания (сооружения).
Для зданий класса СО класс
пожарной опасности бесчердачных покрытий должен быть не ниже КО; для зданий
класса С1 - не ниже К1; для зданий класса С2 не ниже К2; для зданий класса СЗ
не нормируется (табл.5* СНиП 21-01-97*).
В соответствии с требованиями
ГОСТ 30403 пожарную опасность конструкций (в т. ч. покрытий) характеризуют:
наличием теплового эффекта (но
не его величиной) от горения материалов испытываемого образца;
наличием пламенного горения
газов, выделяющихся при термическом разложении материалов образца,
продолжительностью более 5 с;
наличием горящего расплава при
продолжительности его горения более 5 с;
размером повреждения образца в
контрольной зоне;
пожарной опасностью материалов,
из которых выполнена конструкция.
При оценке результатов испытаний
повреждение (обугливание, оплавление и выгорание) слоев пароизоляции толщиной
не более 2,0 мм не учитывается.
В настоящее время, наряду с
утеплителем из ГШС в качестве утеплителей в совмещенных покрытиях зданий
различного функционального назначения предполагается использование плит
полистирольных вспененных экструзионных (ЭГШС), представленных на Российском
рынке марками STYROFOAM, URSA, ПЕНОПЛЭКС и т.п., выпускаемых различными
производителями.
Результаты проведенных
исследований пожароопасных свойств различных типов пенополистирольных плит
приведены в таблице 1. Приложения 5.
Анализ результатов оценки
горючести и теплоты сгорания пенополисторолов позволяет сделать вывод о том,
что все они относятся к горючим материалам, имеют высокую теплоту сгорания (>39
МДж/кг) и низкое значение кислородного индекса (<20%).
При испытании по методу ГОСТ 12.1
044-89 (п.4.3) они практически теряют 100% массы (Am), имеют высокую
температуру газообразных продуктов горения и сравнительно небольшое значение
времени ее достижения Образцы пенополистиролов.
В таблице 2 (Приложение 5) сведены
критерии отнесения к группам горючести по результатам стандартных испытаний.
В таблице 3 (Приложение 5) представлены
численные результаты исследований характеристик пожарной опасности некоторых
марок пенополистиролов, проведенных ФГУ ВНИИПО МЧС России.
По данным исследований этих
материалов можно описать общее поведение образцов из пенополистирола при
определении их группы горючести по методу ГОСТ 30244 (метод 2).
Во время испытания материалов из
экструдированного полистирола при воздействии пламенем горелки на поверхность
материала, образуется расплав, горящие капли которого можно наблюдать в течение
10-15 секунд на 1-2 минуте эксперимента.
Несмотря на то, что остальные
значения контролируемых в ходе эксперимента параметров горючести могут
соответствовать значениям параметров, установленных для группы Г1 (вследствие
высокой ползучести материала под воздействием пламени), наличие горящих капель
расплава однозначно относит такой материал к группе Г4 (сильногорючие материалы
по СНиП 21-01-97* "Пожарная безопасность зданий и сооружений").
При испытаниях
пенополистирольных плит некоторых марок, в ряде случаев не наблюдалось наличие
горящих капель расплава, однако, по остальным фиксируемым в ходе эксперимента
параметрам, эти материалы относятся к группам горючести ГЗ или Г4 (таблица 1 и
таблица 2 Приложения 2).
Одновременно во ВНИИПО были
проведены исследования процессов термодеструкции и термоокисления
термоаналитическими методами различных марок материала ППС, позволившие
получить информацию о температурных диапазонах и скоростях терморазложения
материала, о динамике тепловыделения или поглощения тепла (в процессах
термоокисления, пиролиза, плавления и других), определить характерные
температурные точки тепловых процессов.
Анализ характеристик
термодеструкции, полученных по кривым термического анализа, позволяет
проследить, что все материалы ППС обладают величиной коксового остатка 2-5%,
высокой скоростью терморазложения (до 45%/мин) в интервале температур 350-500°С
и высокими скоростями тепловыделения. Температуры начала интенсивного
разложения составляет 320 °С [16, 24, 43].
Эти данные свидетельствует о
том, что эти материалы имеют одинаковую потенциальную пожарную опасность.
При анализе данных Федерального
реестра сертифицированной в области пожарной безопасности продукции выявляется
информация о том, что некоторыми испытательными лабораториями получены данные о
принадлежности пенополистирольных плит к слабогорючим и умеренногорючим
материалам (группа горючести Г1-Г2 по ГОСТ 30244-94).
Разночтения результатов при
определении групп горючести плавящихся теплоизоляционных материалов большей частью
могут быть вызваны некорректным проведением экспериментов.
При классификации подобных
полимерных строительных материалов весьма полезен опыт стран Евросоюза.
В соответствии с действующей
Европейской классификацией при отнесении строительных материалов к тому или
иному классу (Al, A2, B,C,D,E,F) необходимо учитывать
результаты испытаний по методам EN ISO 1182 (негорючесть), EN ISO 1716 (теплотворная
способность), EN 13823 (SBI, пожарная опасность), EN ISO 11925-2 (определение
группы сильногорючих материалов).
Результаты испытаний
рассматриваемых материалов по указанным международным методам также
свидетельствуют об их повышенной пожарной опасности и никак не могут быть
отнесены к классу А2 (предполагаемому аналогу группы Г1).
В результате испытаний полистирольных
утеплителей по методу EN ISO 11925-2 отмечается наличие горящего расплава, что
относит такие материалы к классу "Е" Европейской классификации (предполагаемый
аналог Г4).
Как и в случае применения в
покрытиях ПСБ и ПСБ-С, необоснованное отнесение плит из экструзионного
полистирола к слабогорючим материалам (группе горючести Г1 по ГОСТ 30244) значительно
расширяет возможность его использования в строительстве при оценке класса
пожарной опасности конструкций и решении вопроса об устройстве гравийной
засыпки (приложение 8 СНиП П-26-76), и может привести при пожарах в зданиях к
непредсказуемым последствиям.
Поэтому следует считать, что
практически все известные типы плит из пенопласта полистирольного (ПСБ, ПСБ-С,
ПСБ-С-25 Ф, ПСБ-С-35 Ф различной плотности), в т. ч. из пенопластов, получаемых
методом экструзии, а также плиты из пенополистирола зарубежного производства,
могут быть отнесены при испытаниях по ГОСТ 30244 только к группам горючести
ГЗ-Г4.
Все без исключения типы
пенополистирольных пенопластов при испытаниях по ГОСТ 12.1 044 отнесены к
материалам с высокой дымообразующей способностью (ДЗ), а по воспламеняемости (ГОСТ
30402) к группам В2 или ВЗ.
Продукты термического разложения
этих пенопластов при наличии источника зажигания активно поддерживают горение,
а по токсичности продуктов горения относятся, в большинстве своем, к классу ТЗ
(высокоопасные по СНиП 21-01-97*).
В отличие от результатов,
полученных лабораторными испытаниями, поведение утеплителей из пенополистиролов
различных марок в покрытиях (в условиях испытаний конструкций по стандартному
температурному режиму) существенно не отличаются друг от друга.
В целом совмещенные покрытия с
основой из стального профлиста и утеплителями из плит пенополистирольных
известных марок (без дополнительной огнезащиты со стороны возможного теплового
воздействия) классический пример пожароопасной конструкции.
Использование таких покрытий при
проектировании и строительстве объектов различного функционального назначения
должно осуществляться в строгом соответствии с требованиями действующих СНиП
21-01-97* и других частей СНиП на отдельные типы зданий и сооружений.
Область применения испытанного
типа совмещенного покрытия здания и сооружения V степени огнестойкости с
классом конструктивной пожарной опасности СЗ, поэтому применять их в зданиях Ф 1.1
нельзя.
Для совмещенных покрытий с
требуемым пределом огнестойкости RE 15 и классом пожарной опасности КО (15) рекомендуется
выполнить следующие основные мероприятия:
а) толщина стального
профилированного листа для устройства настила должна составлять не менее 0,8 мм;
шаг расположения незащищенных от огня стальных прогонов, на которые
укладывается настил не более 2,4 м;
б) в качестве пароизоляции
допускается применение полиэтиленовой пленки, рубероида и других горючих
материалов толщиной не более 2,0 мм, при этом необходима забивка с торцев
пустот гофр в профнастиле материалами (минеральной ватой) группы горючести ИГ
на глубину не менее 250 мм;
в) полная замена утеплителей из
горючих пенополистиролов на негорючие материалы, например, плиты минераловатные
на синтетическом связующем теплоизоляционные определенной плотности (как один
из вариантов);
г) допускается применение
комбинированных покрытий пенополистирольные плиты (верхний слой) с подложкой из
негорючих материалов определенной толщины (нижний слой) и негорючая подложка (нижний
слой), пенополистирольная плита (средний слой) и негорючая минераловатная плита
жесткая или повышенной жесткости толщиной не менее 50 мм (верхний слой);
д) подложка в комбинированном
покрытии выполняется из минераловатных плит плотностью не ниже 110 кг/м3
при толщине не менее 50 мм; группа горючести НГ по ГОСТ 30244 всех материалов,
используемых в качестве подложки, должна подтверждаться соответствующими
сертификатами пожарной безопасности;
е) в качестве кровли (независимо
от вида утеплителя) могут быть использованы рулонные и мастичные материалы
групп горючести Г1-Г4; в комбинированном покрытии с пенополистиролом (верхний
слой) наличие гравийной посыпки толщиной не менее 20 мм обязательно (устанавливается
в соответствии с приложением 8 к СНиП П-26-76);
ж) допускается не проводить
гравийную засыпку покрытий при соблюдении требований к материалам утеплителя и
кровли в соответствии с приложением 8 к СНиП П-26-76;
з) при применении
комбинированных покрытий с пенополистиролом (верхний слой) необходимо
предусмотреть устройство противопожарных поясов из негорючих материалов,
например, из минераловатных плит жестких или повышенной жесткости; ширина таких
поясов должна быть не менее 6 м, пояса должны пересекать основание под кровлю и
слой из пенополистирола на всю его толщину;
и) противопожарные пояса могут
не устраиваться, если в качестве верхнего и нижнего слоев трехслойного
утеплителя использованы минераловатные плиты группы горючести НГ;
к) контролировать расход
битумных материалов и мастик для крепления (фиксации) изоляционных слоев в
покрытиях между собой; расход битумных материалов и мастик устанавливается с
учетом результатов стандартных испытаний.
Для совмещенных покрытий с
требуемым пределом огнестойкости RE 15 и классами пожарной опасности К1 (15) или
К2 (15) рекомендуется выполнить мероприятия по п. п.7.1 а, б, г, е, ж, з, и, к.
Кроме того возможно:
а) использовать в качестве
подложки, наряду с минеральной ватой, гипсокартонные и гипсоволокнистые листы
толщиной не менее 12,5 мм, при этом необходима забивка с торцев пустот гофр в
профнастиле материалами (минеральной ватой) группы горючести НГ на глубину не
менее 250 мм;
б) применять в качестве верхнего
слоя в комбинированном покрытии плиты из пенополистиролов группы горючести не
выше ГЗ по ГОСТ 30244.
Для совмещенных покрытий с
требуемым пределом огнестойкости RE 30 и классом пожарной опасности КО (30) рекомендуется
выполнить мероприятия по п.7.1 а, б, в, е (в части использования материалов
кровли). Кроме того необходимо:
устройство в межферменном
пространстве теплоогнезащитных материалов или подвесных потолков из негорючих
материалов, или нанесение на нижнюю поверхность профнастила и стальные прогоны
огнезащитных вспучивающихся покрытий.
Анализ и оценка рисков,
представленные во втором и третьем разделе дипломного проекта, а также
патентные исследования, представленные в четвертом разделе, позволяют
определить основные направления снижения пожарных риском для МДОУ № 126 "Солнечный
зайчик".
Для обеспечения допустимого
значения уровня пожарного риска (не более одной миллионной в год) необходимо
выполнение следующего комплекса инженерно-технических и организационных
мероприятий:
1) одновременное нахождение в
здании не более 314 человек (дети и сотрудники);
2) устройство системы оповещения
и управления эвакуацией людей III типа;
3) устройство автоматической
пожарной сигнализации;
4) обеспечение технической
надежности элементов пожарной сигнализации, при которой вероятность
эффективного срабатывания системы пожарной сигнализации Rобн
= 0,98;
5) обеспечение технической
надежности элементов системы оповещения людей о пожаре и управлением эвакуации
людей, при которой вероятность эффективного срабатывания системы СОУЭ RСОУЭ=
0,98;
6) обеспечение свободного
открывания дверей на путях эвакуации и по направлению выхода из здания, наличие
запоров на дверях эвакуационных выходов, которые обеспечивают людям,
находящимся внутри здания, возможность свободного открывания запоров изнутри
без ключа;
7) сохранение ширины
эвакуационных путей и выходов;
8) не превышение установленной
пожарной нагрузки для помещений;
9) устройство противопожарных и
газодымонепроницаемых дверей с устройствами для самозакрывания согласно
план-схемы №1,2, представленной в Приложении 2.
По результатам анализа пожарного
риска объекта защиты (МДОУ № 126 "Солнечный зайчик" городского округа
Тольятти) разработана Декларация пожарной защиты (Приложение 3).
Неисполнение рекомендаций по
снижению уровня пожарного риска может привести администрацию к существенным
штрафным санкциям.
С января 2009 года вступили в
силу изменения в Федеральный закон "О пожарной безопасности", которые
устанавливают требования пожарной безопасности, обязательные для применения и
исполнения органами государственной власти, органами местного самоуправления,
организациями, независимо от их организационно-правовых форм и форм
собственности, их должностными лицами, предпринимателями без образования
юридического лица, гражданами Российской Федерации (а также иностранными
гражданами и лицами без гражданства) в целях защиты жизни или здоровья граждан,
имущества физических или юридических лиц, государственного или муниципального
имущества, охраны окружающей среды.
В сказанном четко
просматривается тесная связь организационно-технических и правовых вопросов
противопожарной защиты.
Обязанности по обеспечению
пожарной безопасности несут, как правило, должностные лица.
Признание должностных лиц
субъектами анализируемого преступления основано на том, что в их обязанности
входит организация производственной деятельности таким образом, чтобы исключить
опасность пожара.
Для этого они наделены властными
организационно-распорядительными и административно-хозяйственными полномочиями,
имеют в своем распоряжении необходимые ресурсы.
С принятием Федерального закона
"Технический регламент о требованиях пожарной безопасности" [1],
составление Декларации о пожарной безопасности объектов стало обязательным,
таким образом, стали обязательными и рекомендации, содержащиеся в ней.
Несоблюдение рекомендаций может
повлечь применение норм КоАП к руководителю учреждения.
Таблица 5.1
Размеры штрафных санкций за
несоблюдения законодательства о пожарной безопасности
| Нарушение |
Статья КоАП РФ |
Санкция |
| Нарушение правил пожарной безопасности |
20.4 |
Штраф для организации от 10000 до 20000 руб., должностных лиц от
1000 до 2000 руб. |
| За невыполнение законных требований пожарного инспектора |
Часть 1 ст. 19.4 |
Предупреждение или штраф должностных лиц от 1000 до 2000 руб. |
| За невыполнение предписаний пожарного инспектора |
Часть 1 ст. 19.5 |
Штраф для организации от 5000 до 10000 руб. |
| Организация не устранила причины нарушения |
19.8 |
штраф должностных лиц от 300 до 500 руб. |
| За непредставление документов пожарному инспектору |
19.7 |
штраф должностных лиц от 300 до 500 руб., для организации от 3000
до 5000 руб. |
Увеличение штрафных санкций за
нарушение требований пожарной безопасности связано с тем, что действующие в
настоящее время размеры административных штрафов не позволяют достичь основной
цели административного наказания - предупреждение новых правонарушений в
области пожарной безопасности, а также не позволяют эффективно решать вопросы
обеспечения пожарной безопасности.
Проект федерального закона
"О внесении изменений в Кодекс Российской Федерации об административных
правонарушениях" разрабатывается во исполнение поручений Президента
Российской Федерации от 5 февраля 2009 г. № Пр-241, от 7 февраля 2009 г. №
Пр-255, Правительства Российской Федерации от 13 февраля 2009 г. № ИШ-П4-777,
от 23 марта 2009 г. № ВП-П12-1538, от 27 марта 2009 г. № П12-10072, пункта 1.5
протокола расширенного заседания Правительственной комиссии по предупреждению и
ликвидации чрезвычайных ситуаций и обеспечению пожарной безопасности от 26
августа 2009 г. № 6.
Законопроект предусматривает
увеличение размеров сумм административных штрафов, предусмотренных статьей 20.4
Кодекса Российской Федерации об административных правонарушениях, для граждан,
должностных и юридических лиц, а также для лиц, осуществляющих
предпринимательскую деятельность без образования юридического лица, расширяет
перечень составов административных правонарушений в области пожарной
безопасности, влекущих назначение наказания в виде административного
приостановления деятельности.
Увеличение штрафных санкций за
нарушение требований пожарной безопасности связано с тем, что действующие в
настоящее время размеры административных штрафов не позволяют достичь основной
цели административного наказания - предупреждение новых правонарушений в
области пожарной безопасности, а также не позволяют эффективно решать вопросы
обеспечения пожарной безопасности.
Увеличение размера
административного штрафа за нарушение требований пожарной безопасности в
отношении должностных и юридических лиц, а также лиц, осуществляющих
предпринимательскую деятельность без образования юридического лица, позволит
целенаправленно использовать полученные средства для повышения уровня пожарной
безопасности в Российской Федерации.
Ожидается, что 2011 году нарушение
требований пожарной безопасности к противопожарному водоснабжению,
электроустановкам зданий, сооружений и строений, электротехнической продукции,
обеспечению первичными средствами пожаротушения зданий, сооружений и строений,
а также к первичным средствам пожаротушения повлечет наложение
административного штрафа на:
граждан в размере трех тысяч
рублей;
на должностных лиц - шести тысяч
рублей;
на лиц, осуществляющих
предпринимательскую деятельность без образования юридического лица - тридцати
тысяч рублей или административное приостановление деятельности на срок до
пятнадцати суток;
на юридических лиц - ста тысяч
рублей или административное приостановление деятельности на срок до сорока пяти
суток.
Нарушение требований пожарной
безопасности к устройству и содержанию путей эвакуации, систем обнаружения
пожара, оповещения и управления эвакуацией людей при пожаре, а также
противодымной защиты, повлечет наложение административного штрафа на:
граждан в размере четырех тысяч
рублей;
на должностных лиц - двадцати
тысяч;
на лиц, осуществляющих
предпринимательскую деятельность без образования юридического лица,
сорока тысяч рублей или
административное приостановление деятельности на срок до двадцати суток;
на юридических лиц - двухсот
тысяч рублей или административное приостановление деятельности на срок до
девяноста суток.
Нарушение требований пожарной
безопасности к проходам, проездам и подъездам к зданиям, сооружениям и строениям
повлечет наложение административного штрафа на:
граждан в размере двух тысяч
рублей;
на должностных лиц - десяти
тысяч рублей;
на юридических лиц - ста
пятидесяти тысяч рублей".
Таблица 5.2
Прогнозируемые размеры штрафных
санкций за несоблюдения законодательства о пожарной безопасности в 2011 году
| Нарушение |
Статья КоАП РФ |
Санкция |
| Нарушение правил пожарной безопасности |
20.4. |
Штраф для организации до 100000 руб., должностных лиц до 6000 руб. |
| Нарушение требований пожарной безопасности к устройству и
содержанию путей эвакуации, систем обнаружения пожара, оповещения и
управления эвакуацией людей при пожаре, а также противодымной защиты. |
Часть 1 ст. 20.6 |
Штраф для организации до 200000 руб., должностных лиц до 20000
руб. |
| Нарушение требований пожарной безопасности к проходам, проездам и
подъездам к зданиям, сооружениям и строениям |
Часть 1 ст. 20.7 |
Штраф для организации до 150000 руб., до должностных лиц до 10000
руб. |
Для оценки экономической
эффективности необходимо рассчитать затраты руководства МДОУ "Солнечный
зайчик" на рекомендованные в пожарной Декларации мероприятия по снижению
пожарного риска:
1) устройство системы оповещения
и управления эвакуацией людей III типа;
2) устройство автоматической
пожарной сигнализации.
Маркетинговые исследования рынка
производителей и продавцов устройства систем оповещения и управления эвакуацией
людей III типа позволил определить среднюю цену на него
- 21999 руб.
Изучение рынка производителей и
продавцов устройства противодымных дверей и устройств самозакрывания показало,
что средняя цена комплект одной двери колеблется в пределах - 5555 руб.
Комплектующие:
1) устройство для самозакрывания;
2) противодымная дверь.
Затраты на 9 комплектов дверей -
49999 руб.
Всего затраты составят: 71998
руб.
Несоблюдение рекомендаций по
снижению пожарного риска может повлечь применение норм Кодекса об
административных правонарушениях к организации (МДОУ № 126) и ее руководителю
штрафные санкции в размере:
1) к руководителю учреждения в
соответствии со ст. ст. 20.4 и 20.6 - 20000 руб.
2) к организации - в
соответствии со ст. ст. 20.4 и 20.6 - 200000 руб.
Всего: 220000 руб.
Становится очевидным, что исполнение
рекомендаций по снижению пожарного риска для руководителя и всей организации
только по двум пунктам экономически выгодно:
Э = 220000 руб. - 71998 руб. = +
148 002 руб.
Таким образом, пожарный риск - мера
возможности реализации пожарной опасности объекта защиты и ее последствий для
людей и материальных ценностей.
В соответствии с Федеральным
законом ФЗ №123 "Технический регламент о требованиях пожарной безопасности",
в понятие пожарный риск включают:
Допустимый пожарный риск - пожарный
риск, уровень которого допустим и обоснован исходя из социально-экономических
условий.
Социальный пожарный риск - степень
опасности, ведущей к гибели группы людей в результате воздействия опасных
факторов пожара;
Индивидуальный пожарный риск - пожарный
риск, который может привести к гибели человека в результате воздействия опасных
факторов пожара.
Объект защиты - продукция, в том
числе имущество граждан или юридических лиц, государственное или муниципальное
имущество (включая объекты, расположенные на территориях поселений, а также
здания, сооружения, строения, транспортные средства, технологические установки,
оборудование, агрегаты, изделия и иное имущество), к которой установлены или
должны быть установлены требования пожарной безопасности для предотвращения
пожара и защиты людей при пожаре.
Расчетные величины пожарного
риска являются количественной мерой возможности реализации пожарной опасности
объекта и ее последствий для людей.
Расчеты по оценке пожарного
риска проводятся путем сопоставления расчетных величин пожарного риска с
соответствующими нормативными значениями пожарных рисков, установленными ФЗ №
123-ФЗ.
Количественной мерой возможности
реализации пожарной опасности объекта является риск гибели людей в результате
воздействия опасных факторов пожара, в том числе:
риск гибели работника объекта;
риск гибели людей, находящихся в
селитебной зоне вблизи объекта.
Риск гибели людей в результате
воздействия опасных факторов пожара на объекте характеризуется числовыми
значениями индивидуального и социального пожарных рисков.
В качестве объекта пожарной
безопасности было исследовано муниципальное дошкольное образовательное
учреждение МДОУ № 126 "Солнечный зайчик" городского округа Тольятти.
Объект защиты относится к классу
функциональной назначения Ф.1.1
За время эксплуатации детского
сада № 126 "Солнечный зайчик" с января 1976 года изменение
функционального назначения здания не производилось.
Исследование организации
пожарной безопасности на объекте защиты показало, что требуемый уровень
обеспечения пожарной безопасности людей с помощью системы мероприятий
обеспечен, и составляет не менее 0,999999 предотвращения воздействия опасных
факторов в год в расчете на каждого человека, а допустимый уровень пожарной опасности
для людей не более 10-6 воздействия опасных факторов пожара,
превышающих предельно допустимые значения в год в расчете на одного человека.
Анализ пожарного риска
проводился по двум сценариям, он выявил, что по первому сценарию место
возникновения пожара - медпункт. По Сценарию №2 место возникновения пожара - спальня
на первом этаже.
Расчет индивидуального риска
показал, индивидуальный пожарный риск превышает допустимое значение.
В четвертом разделе дипломного
проекта были проведены патентные исследования области утеплителей на основе
полиуретановых полимеров. За счет широкого использования сгораемых полимерных
утеплителей в ограждениях был снижен ряд требований по противопожарной защите
зданий и сооружений, по которым был снижен ряд требований по противопожарной
защите зданий и сооружений.
Исследования показали, что
утеплители и конструктивные материалы на основе полиуретана необходимо отнести
к более высокому классу пожароопасности. Их область применения необходимо
изменить (на V степень огнестойкости с классом конструктивной пожарной
опасности СЗ), поэтому применять в зданиях Ф 1.1 нельзя.
Анализ и оценка рисков, а также
патентные исследования, представленные в четвертом разделе, позволили
определить основные направления снижения пожарных рисков для МДОУ № 126 "Солнечный
зайчик".
Для обеспечения допустимого
значения уровня пожарного риска (не более одной миллионной в год) необходимо
выполнение следующего комплекса инженерно-технических и организационных
мероприятий:
1) одновременное нахождение в
здании не более 314 человек (дети и сотрудники);
2) устройство системы оповещения
и управления эвакуацией людей III типа;
3) устройство автоматической
пожарной сигнализации;
4) обеспечение технической
надежности элементов пожарной сигнализации, при которой вероятность
эффективного срабатывания системы пожарной сигнализации Rобн
= 0,98;
5) обеспечение технической
надежности элементов системы оповещения людей о пожаре и управлением эвакуации
людей, при которой вероятность эффективного срабатывания системы СОУЭ RСОУЭ=
0,98;
6) обеспечение свободного
открывания дверей на путях эвакуации и по направлению выхода из здания, наличие
запоров на дверях эвакуационных выходов, которые обеспечивают людям,
находящимся внутри здания, возможность свободного открывания запоров изнутри
без ключа;
7) сохранение ширины
эвакуационных путей и выходов;
8) не превышение установленной
пожарной нагрузки для помещений;
9) устройство противопожарных и
газодымонепроницаемых дверей с устройствами для самозакрывания.
Для оценки экономической эффективности,
предложенных мероприятий по снижению пожарного риска была проведена оценка их
ожидаемой эффективности.
Были рассчитаны затраты
руководства МДОУ "Солнечный зайчик" на устройство системы оповещения
и управления эвакуацией людей III типа и оснащение
объекта защиты противодымными дверями с устройствами самозакрывания, которые
позволят снизить индивидуальный пожарный риск.
Расчеты показали, что исполнение
рекомендаций по снижению пожарного риска как для руководителя МДОУ № 126
городского округа Тольятти, так и всей организации только по двум пунктам
экономически выгодно и составляют 148 002 руб.
Законы и нормативные документы
1. Федеральный закон РФ от 22 июля 2008 г. № 123-ФЗ "Технический
регламент о требованиях пожарной безопасности" - СПС Гарант, 2010.
2. Постановление Правительства Российской Федерации от 31 марта
2009 г. № 272 "О порядке проведения расчетов по оценке пожарного риска"
- СПС Гарант, 2010.
3. Приказ МЧС от 10.07.2009 г №404 "Методика определения
расчетных величин пожарного риска на производственных объектах" - СПС
Гарант, 2010.
4. Приказ МЧС от 30.06.2009 г №382 "Методика определения
расчетных величин пожарного риска в зданиях, сооружениях и строениях различных
классов функциональной пожарной опасности" - СПС Гарант, 2010.
5. ГОСТ 30403-96 Конструкции строительные. Метод определения
пожарной опасности. - СПС Гарант, 2010.
6. ГОСТ Р 12.3 047-98 "Пожарная безопасность технологических
процессов. Общие требования. Методы контроля" - СПС Гарант, 2010.
7. ГОСТ 12.1 004-91 Пожарная безопасность. Общие требования. - СПС
Гарант, 2010.
8. ГОСТ 12.1 033-81 Пожарная безопасность. Термины и определения. -
СПС Гарант, 2010.
9. ППБ 01-03 Правила пожарной безопасности в Российской Федерации.
- СПС Гарант, 2010.
10. СНиП 21-01-97 Пожарная безопасность зданий и сооружений. - СПС
Гарант, 2010.
11. МДС 21-1.98 Предотвращение распространения пожара (Пособие к
СНиП 21-01-97) - СПС Гарант, 2010.
12. СНиП 21-01-97 Пожарная безопасность зданий и сооружений. - СПС
Гарант, 2010.
13. РД 03-418-01 "Методические указания по проведению анализа
риска опасных производственных объектов" - СПС Гарант, 2010.
14. РД 03-409-01 "Методика оценки последствий аварийных
взрывов топливно-воздушных смесей" - СПС Гарант, 2010.
Научная литература
15. Акимов, В.А. Основы анализа и управления риском в природной и
техногенной сферах: Учебное пособие / В.А. Акимов, В.В. Лесных, Н.Н. Радаев. -
М.: Деловой экспресс, 2004.
16. Баратов, А.Н. Пожарная опасность строительных материалов. / А.Н.
Баратов - М.: Стройиздат., 1988.
17. Мировая пожарная статистика/ Н.Н. Брушлинский, П. Вагнер, С.В. Соколов,
Д. Холл- М.: Академия ГПС МЧС России, 2004. - 126 с.
18. Брушлинский, Н.Н. К вопросу о вычислении рисков / Н.Н. Брушлинский,
Клепко Е.А. // Проблемы безопасности и чрезвычайных ситуаций. - М.: ВИНИТИ. -2004,
вып.1.
19. Брушлинский Н.Н. О понятии пожарного риска и связанных с ним
понятиях // Пожарная безопасность. - 1999, № 3.
20. Брушлинский Н.Н. Моделирование оперативной деятельности
пожарной службы - М.: Стройиздат, 1981. - 96 с.
21. Брушлинский, Н.Н. Оценка рисков пожаров и катастроф / Н.Н. Брушлинский,
Глуховенко Ю.М. // Проблемы безопасности при чрезвычайных ситуациях. - М.: ВИНИТИ.
- 1992, вып.1 - С.13-39.
22. Брушлинский, Н.Н. Снова о рисках и управлении безопасностью
систем // Проблемы безопасности при чрезвычайных ситуациях. - М.: ВИНИТИ. -
2002, вып.4.
23. Гражданская защита. Понятийно-терминологический словарь / Под
общ. ред. Ю.Л. Воробьева. - М.: Издательство "Флайст", Инф. - изд. Центр
"Геополитика", 2001.
24. Демехин, В.Н. Здания, сооружения и их устойчивость при пожаре/
В.Н. Демехин, И.Л. Мосалков, Г.Ф. Плюснина, Б.Б. Серков, А.Ю. Фролов, Е.Т. Шурин
- М.: Академия ГПС МЧС России, 2003.
25. Еремина, Т.Ю. Эффективные решения в обеспечении пожарной
безопасности зданий и сооружений в Российской Федерации/ Т.Ю. Еремина - 2008.
26. Ковалевич, О.М. К вопросу об определении "степени риска"/
О.М. Ковалевич // Проблемы безопасности при чрезвычайных ситуациях. - М.: ВИНИТИ.
- 2004, вып.1.
27. Кошмаров, Ю.А. Прогнозирование опасных факторов пожара в
помещении: Учеб. пособие / Ю.А. Кошмаров - М.: Академия ГПС МВД РФ, 2000.
28. Методика оценки пожарного риска для объектов общественного
назначения (проект). - М.: ВНИИПО МЧС России, 2008. - 105с.
29. Методика оценки пожарного риска для объектов производственного
назначения (проект). - М.: ВНИИПО МЧС России, 2008. - 105с.
30. Пожарные риски: основные понятия/под ред.Н. Н. Брушлинского - М.:
Национальная академия наук пожарной безопасности, 2004.
31. Пожарные риски. Вып.2. Динамика пожарных рисков/ Под ред.Н. Н. Брушлинского.
- М.: ФГУ ВНИИПО МЧС России, 2005. - 82 с.
32. Пожарные риски. Вып.4. Управление пожарными рисками / Под ред.Н.
Н. Брушлинского, Ю.Н. Шебеко. - М.: ФГУ ВНИИПО МЧС России, 2006.
33. Пожарные риски: основные понятия/под ред.Н. Н. Брушлинского - М.:
Национальная академия наук пожарной безопасности, 2008.
34. Применение полевого метода математического моделирования
пожаров в помещениях. Методические рекомендации. - ФГУ ВНИИПО МЧС России, 2003.
35. Пузач, С.В. Методы расчета тепломассообмена при пожаре в
помещении и их применение при решении практических задач пожаровзрыво - безопасности:
Монография/ С.В. Пузач - М.: Академия ГПС МЧС России, 2005. - 336 с.
36. Пузач, С.В. Новые представления о расчете необходимого времени
эвакуации людей и об эффективности использования портативных фильтрующих
самоспасателей при эвакуации на пожарах: Монография / С.В. Пузач, А.В. Смагин,
О.С. Лебедченко, Е.С. Абакумов - М.: Академия ГПС МЧС России, 2007.222 с.
37. Рекомендации "Огнестойкость и пожарная опасность
совмещенных покрытий с основой из стального профилированного листа и
утеплителями из пенополистирола". М: ФГУ ВНИИПО, 2008.16 с.
38. Собурь, С.В. Пожарная безопасность предприятия/ С.В. Собурь - М.:
Пожкнига, 2004.
39. Собурь С.В. Пожарная безопасность общественных и жилых зданий/
С.В. Собурь - М.: Академия ГПС МЧС России, 2003.
40. Теребнев, В.В., Основы пожарного дела/ В.В. Теребнев, Н.С. Артемьев,
К.В. Шадрин - М.: Центр Пропаганды, 2006.
41. Требование пожарной безопасности строительных норм и правил: Сборник
нормативных документов. - Вып.13. Ч.5. Документы Государственной
противопожарной службы МЧС России. - М.: ФГУ ВНИИПО МЧС России, 2004.
42. Холщевников, В.В. Эвакуация и поведение людей при пожарах: Учеб.
пособие / В.В. Холщевников, Д.А. Самошин. - М.: Академия ГПС МЧС России, 2009.
- 212 с.
43. Шебеко, Ю.Н. Оценка пожарного риска для берегового
перевалочного комплекса аммиака / Ю.Н. Шебеко, И.А. Болодьян, В.П. Молчанов и
др. // Пожарная безопасность. - 2004, № 3.
Интернет-ресурсы
44. Огнестойкость и пожарная опасность совмещенных покрытий с
основой из стального профилированного листа и утеплителя из пенополистирола: Центр
обеспечения пожарной безопасности - http://www.pogaranet.ru/
45. Официальный сайт МЧС: Статистика - www.mchs.gov.ru/stats/
46. Пожарная безопасность: Учебник - http://www.firedata.ru/literatuta
Приложение 1


Приложение 2
Таблица 1

Таблица 2

Таблица 3
