Центральная Научная Библиотека  
Главная
 
Новости
 
Разделы
 
Работы
 
Контакты
 
E-mail
 
  Главная    

 

  Поиск:  

Меню 

· Главная
· Биржевое дело
· Военное дело и   гражданская оборона
· Геодезия
· Естествознание
· Искусство и культура
· Краеведение и   этнография
· Культурология
· Международное   публичное право
· Менеджмент и трудовые   отношения
· Оккультизм и уфология
· Религия и мифология
· Теория государства и   права
· Транспорт
· Экономика и   экономическая теория
· Военная кафедра
· Авиация и космонавтика
· Административное право
· Арбитражный процесс
· Архитектура
· Астрономия
· Банковское дело
· Безопасность   жизнедеятельности
· Биржевое дело
· Ботаника и сельское   хозяйство
· Бухгалтерский учет и   аудит
· Валютные отношения
· Ветеринария




Дипломная работа: Оценка заболеваемости корневыми гнилями зерновых культур в лесостепной зоне Челябинской области

Дипломная работа: Оценка заболеваемости корневыми гнилями зерновых культур в лесостепной зоне Челябинской области

Введение

В последние годы вопросы защиты сельскохозяйственных растений в системе возделывания культур выдвигаются на передний план и являются особенно актуальными, так как уровень развития патогенной микрофлоры в почве и на семенном материале достиг критического значения. В семенном фонде большинства хозяйств, практически отсутствует здоровый материал, почти каждая партия семян в той или иной мере заражена различными патогенными микроорганизмами. Данная ситуация усугубляется из года в год, так как не соблюдаются основные элементы технологии возделывания культур [1].

Ежегодно только от болезней растений Россия теряет от 8,5 до 25 млн. т зерна, среднегодовое значение потерь за последние годы составляет 18,3 млн. т [2]. Известно, что через семена передается более половины всех болезней растений. Именно семена являются источником опасных и вредоносных заболеваний, наносящих существенный вред товарному производству. Поэтому во многих странах предпосевная обработка семян средствами защиты растений является не только необходимым, но и законодательно обязательным приемом защиты основных сельскохозяйственных культур от вредных организмов.

Сегодня практически нет незараженных семян и, в зависимости от погодных условий, в период вегетации семена могут быть заражены до 70%. Так, на ячмене преобладают Bipolaris sorokiniana (Sacc.) Shoemaker, виды родов Altemaria, Fusarium. Во влажные годы в общем комплексе грибов на семенах ячменя встречаемость Bipolaris sorokiniana может достигать 47,6%, видов р. А1-ternaria – 31,7%, p. Fusarium – 17,5%; на озимой пшенице – видов p. Alternaria – 51,7%, p. Fusarium – до 15%. Пораженность семян различных сортов яровой пшеницы находится в пределах 47,5 – 62,3%, из них p. Fusarium – 23 – 37,5%, р. Altemaria – 10 – 34,4% [3].

В повышении урожайности зерновых культур важное место принадлежит защите их от болезней, которые приводят не только к значительному снижению сбора зерна, но и к ухудшению его качества, а иногда и к гибели посевов [4].

Пшеница, ячмень, рожь и овес являются основными продовольственными и фуражными культурами нашей страны. Наиболее важной из них является пшеница, это основная продовольственная культура России. Посевы пшеницы занимают более 25 млн. га, ее ежегодные валовые сборы – 40 – 50 млн. т, в том числе товарного зерна – около 20 млн. т [5]. Выращивание этой культуры, в основном, сосредоточено в степной и лесостепной зонах страны с умеренным климатом.

Сдерживающим фактором повышения урожайности пшеницы являются паразитарные заболевания, среди которых особо вредоносны головневые, ржавчинные грибы, корневые гнили и мучнистая роса. В ряде районов с повышенной влажностью отмечается сильное развитие септориоза, фузариоза колоса и оливковой плесени. Нередко большой вред наносят бактериальные, вирусные и микоплазменные болезни. В отдельные годы пшеница страдает от непаразитарных заболеваний, являющихся следствием недостаточной засухоустойчивости и зимостойкости, а также от выпревания и вымокания. Причинами заболевания пшеницы могут также быть избыточная и недостаточная обеспеченность растений элементами питания, низкий уровень агротехники [4].

В нашей стране, в основном, распространены яровые сорта ячменя, поскольку они успевают созревать за короткое лето, хотя урожай ярового ячменя ниже, чем озимого, и составляет в разные годы от 1,2 до 1,8 т/га против 2, – 8 4,5 т/га – у озимого. В России озимый ячмень возделывают только на юге – в предгорьях Кавказа [5]. В 90-х годах прошлого столетия наиболее актуальное значение среди болезней ярового ячменя приобрели гельминтоспориозы, включающие в себя целый комплекс болезней, в частности, темно-бурую и сетчатую пятнистости, корневую гниль, «черный зародыш» зерна, а также ринхоспориоз, фузариоз. Прямые потери зерна ячменя, вызываемые этим патогенным комплексом, оцениваются в 20 – 50% и более [6].

Важным звеном в борьбе с болезнями сельскохозяйственных культур является внедрение в производство иммунных сортов. Однако эта работа в хозяйствах ведется крайне неудовлетворительно и новые сорта часто остаются неиспользованными.

Также неудовлетворительно ведутся работы по подготовке семенного материала. Зачастую посев проводится некондиционными семенами с низкими посевными качествами. Такие семена, попав в почву, очень долго не прорастают и являются источником питания для многих групп патогенов. Сформированный урожай имеет высокий процент обсеменения не только наружной, но и внутренней инфекции. Из-за финансовых затруднений до минимума снижены затраты на обработку семян химическими и биологическими препаратами [1].

Согласно утвержденному в России государственному стандарту, оригинальные и элитные семена не должны содержать головневую инфекцию. Однако из-за отсутствия должного контроля в виде фитоэкспертизы семян нередки случаи, когда даже элитные посевы все же содержат опасную инфекцию. Служба защиты растений осуществляет фитоэкспертизу семян с целью выявления реальной картины поражения семян и необходимости их протравливания. Однако уровень инфицированности семян грибами Bipolaris sorokiniana и Fusarium spp. и особенности их развития таковы, что не позволяют вводить какие-то пороги или ограничения при решении вопроса о целесообразности протравливания – все семена должны подвергаться обеззараживанию [7].

В контексте сказанного, мы, в условиях Челябинской области попытались выявить отдельные аспекты влияния черноты зародышей на хозяйственно – ценные признаки зерновых культур, а также эффективность применения некоторых препаратов.


1. Обзор литературы

 

1.1 Корневые гнили

Корневые гнили зерновых культур в настоящее время получили повсеместно широкое распространение. Поражаются как озимые, так и яровые культуры в течение всего вегетационного периода [8]. Видовой состав возбудителей корневых гнилей, как правило, приурочен к определенным эколого-географическим районам и чаще носит смешанный характер. Так, фузариозно-гельминтоспориозная корневая гниль с преобладанием видов p. Fusarium встречается в районах возделывания озимой пшеницы (Центрально – Черноземный район, Краснодарский и Ставропольский края, Ростовская область), а гельмин-тоспориозно-фузариозная с преобладанием гриба Bipolaris sorokiniana – на яровых культурах (пшеница, ячмень) – в Нечерноземной зоне (Северо-Западный, Центральный, Волго-Вятский районы) и в зоне преимущественного выращивания яровой пшеницы от Поволжья до Приморского края [3]. Усиление болезни наблюдается в условиях орошаемого земледелия.

Корневые гнили – это группа болезней пшеницы, ржи и ячменя со сходными признаками [9]. К ним относятся поражения всех подземных частей растений и гниль корневой шейки (узла кущения) до первого междоузлия стебля. Возникают они при неблагоприятных условиях для роста и развития растений.

Корневая гниль яровой пшеницы вызывается главным образом различными видами грибов из рода Fusarium и грибом Helminthosporium sativum. На пораженных корнях и корневой шейке встречаются также другие, преимущественно сапрофитные грибы (альтернария, пенициллиум, триходерма, мукоровые и др.), которые следует рассматривать как вторичных спутников болезненного процесса гнили корней. По основным возбудителям эти заболевания называют фузариозно-гельминтоспориозной корневой гнилью [10]. Для этого вида заболеваний характерно неравномерное распространение болезни по отдельным полям, причем сильно зараженные посевы могут граничить с относительно здоровыми. Основной источник инфекции – почва. Однако в годы с обильными осадками или в районах с влажным климатом возможна массовая передача инфекции через семена (гельминтоспориоз и фузариоз). Эпифитотиям корневых гнилей обычно предшествует длительный предэпифитотийный период, в течение которого происходит накопление инфекции в почве. Предпосылкой обычно служит перенасыщение севооборотов зерновыми культурами, восприимчивыми к заболеванию, а также погодные условия, способствующие сохранению почвенной инфекции. В таких условиях эпифитотии могут принимать хронический характер и повторяться ежегодно без существенных колебаний в распространении [9].

Болезнь внешне проявляется в виде побурения корней, подземного междоузлия, узла кущения, основания стебля. Корневые гнили могут вызывать гибель всходов, отставание растений в росте, щуплость колоса или полное отмирание продуктивных стеблей. Как правило, поражение и гибель проростков вызывает семенная инфекция, а отмирание продуктивных стеблей – почвенная [3].

Исследованиями К.Г. Кривовой и А.Н. Нестерова установлено, что основным возбудителем корневой гнили яровой пшеницы и ячменя в Северном Казахстане является гриб Helminthosporium sativum P.K. et. B. [11, 8].

Позднее было установлено, что на пшенице, ржи и ячмене развивается три вида возбудителей гельминтоспориозов – Bipolaris sorokiniana Shoemaker, Drechslera graminea Jto, Drechslera teres Jto (приложение А). Первый вид вызывает корневые гнили, щуплость и почернение зародыша (черный зародыш) всех перечисленных культур. Последующие два вида поражают ячмень, вызывая полосатую и сетчатую пятнистости. Все виды развиваются на семенах и резко снижают их посевные качества [12].

На ячмене это заболевание проявляется в течение всей вегетации. Патогены могут поражать проростки, которые буреют, деформируются и часто гибнут еще под землей. Сильно пораженное зерно теряет всхожесть. У больных растений наблюдается побурение колеоптиля, корневой шейки, первого влагалищного листа. Молодые растения с незначительными поражениями при благоприятных условиях справляются с инфекцией и впоследствии нормально развиваются, а при неблагоприятных условиях и сильном поражении растения могут погибнуть. В фазе трубки возбудители поражают подземное, первое надземное междоузлие и первый узел. В этой фазе вегетации болезнь наиболее опасна в связи с тем, что происходит нарушение взаимосвязи подземной (корни) и надземной части растений. При этом замедляются рост и развитие растений, что приводит к снижению веса зерна в колосе, отмиранию стеблей и белоколосости. По К.Г. Кривовой потери урожая от корневых гнилей в Северном Казахстане, в среднем, составляют 14–15%, что превышает потери от всех болезней, вместе взятых. Порог вредоносности корневой гнили на хлебных злаках составляет 5% в начале вегетации и 30% развития гельминтоспориозной гнили ячменя во время цветения [11, 13].

В ряде районов Алтая и Западной Сибири потери урожая составляют не менее 15%, при этом масса 1000 зерен снижается на 32 – 35%. В среднем вред от заболевания на яровой пшенице оценивается в 1,1 – 1,6% на каждый процент развития болезни после превышения порога вредоносности. На 40% может снижаться всхожесть семян [5].

Многочисленные литературные источники указывают на достаточно широкий спектр возбудителей корневой гнили пшеницы. Ранее в их числе называли представителей рода Helminthosporium, Fusarium, Ophiobolus, Cercosporella [14].

Для условий недостаточного увлажнения К.Г. Кривова и А.Н. Нестерова на пшенице выделили полупаразитарный гриб Helminthosporium sativum и некоторые виды рода Fusarium. Ряд авторов под руководством известного фитопатолога С.М. Тупеневича гриб Helminthosporium sativum называют основным возбудителем корневой гнили пшеницы. В руководстве для полевого определения болезней пшеницы, изданном по линии СИММИТ (2002) возбудителями болезни называют кроме Helminthosporium sativum и Fusarium также гриб Phytium [8, 11, 14].

В отношении ячменя указывается, что в Кустанайской области корневые гнили вызываются грибами родов Bipolaris и Drechslera [15]. По данным В.В. Постовалова в патогенном комплексе болезни ячменя в Курганской области превалируют виды родов Fusarium и Bipolaris sorokiniana. Исследования М.Н. Ткаченко показали еще более широкий состав возбудителей и сопутствующей микрофлоры корневой гнили ячменя в той же Курганской области – виды родов Fusarium, Helminthosporium, Altemaria, Penicillium, Rhizopus, Aspergillus, Tricho-thecium, но основными возбудителями признаются два возбудителя – Bipolaris sorokiniana и грибы рода Fusarium [16, 17].

Как уже отмечалось выше, Челябинская станция защиты растений в 2006 г. находит, что в комплексе патогенов, вызывающих корневые гнили в целом для зерновых культур преобладали грибы родов Alternaria, Helminthosporium, Fusarium, (Приложение А). С учетом этого обстоятельства мы обратили свое внимание на указанные объекты.

Патогенные свойства возбудителей обыкновенной корневой гнили обусловлены их способностью, вырабатывать гидролитические ферменты и токсины, например, Bipolaris sorokiniana – гельминтоспорол, гельминтоспорал, вик-токсин, цитокинин. При этом установлено, что метаболиты грибов оказывают токсическое воздействие на проростки и всходы в период активного роста мицелия при пониженной температуре (10–15 °С) и слабой концентрацией Сахаров в питательной среде (1 – 2%). Токсины Bipolaris sorokiniana можно отнести к регуляторам роста с высокой активностью [18].

Bipolaris sorokiniana развивается при температуре от 5–6 до 35–37 °С, оптимум 20 – 22 °С [14]. А максимальное заражение растений – происходит при температуре 15 °С и относительной влажности воздуха 95 – 98%. [4]. Интенсивное образование конидий начинается при относительной влажности воздуха 90% и температуре 22 – 28 °С.

Конидии при 22 – 24 °С образуются на четвертые сутки, а при 12 – 16 °С – на десятые. В ризосфере растений-хозяев под влиянием их корневых выделений температурные границы для прорастания конидий расширяются. Через 24 ч. 95% конидий проросло при температуре 3 – 5 °С. Конидии не теряют жизнеспособности в течение нескольких месяцев при минус 32 – 43 °С и даже при минус 50 °С поэтому хорошо переносят суровые сибирские зимы [18].

Мицелий и конидии являются основными формами размножения, распространения и перезимовки гриба. Весной мицелий трогается в рост и образует конидии. Заражение происходит внедрением мицелия и ростков прорастающих конидий в ткани корней и стеблей растения, где гриб образует эндогенный мицелий. Влажная погода способствует развитию конидиального спороношения в виде бархатистого налета на корнях, растительных остатках культуры и сорняков. Конидии аэрогенно или с каплями дождя разносятся на другие растения и в том числе, на формирующиеся колосья. Температура оптимум 19 – 26 °С обеспечивает грибу преимущественно более теплые зоны страны и большую вредоносность гриба в случаях более поздних сроков посева яровой пшеницы. Гриб хорошо развивается в почвах с реакцией от слабощелочной до нейтральной при влажности 60 – 80% от полной влагоемкости. Гельминтоспориоз наиболее активен на ослабленных растениях, которые гриб заражает в период прорастания семян и развития всходов. Распространяясь вверх по стеблю, гриб преимущественно локализуется в основании стебля и первом междоузлии. Патоген поражает пшеницу в течение всей вегетации пшеницы, а осенью и весной спороносит на стерне. Зимует гриб в сапрофитном состоянии на растительных остатках в почве. Сохраняется гриб также в виде конидий и хламидоспор в почве. При условии отсутствия минерализации растительных остатков, мицелий гриба способен сохранять свою жизнеспособность в течение 2–3 лет. Если в почве созданы условия для активных микробиологических процессов, то в течение вегетационного периода мицелий гельминтоспориоза почти полностью вытесняется из растительных остатков. Это фунгистатическое действие почвы сдерживает прорастание конидий патогена. Однако это фунгистатическое действие может сниматься воздействием корневых выделений вегетирующих растений, и тогда конидии гельминтоспориоза активно прорастают. Вот почему необходимо соблюдать правильный севооборот для очищения почвы от инфекции [14]. На перезимовавших пораженных остатках растений гриб может образовывать псевдотеции с сумками и сумкоспорами. В этой стадии его называют Cochliobolus sativum Drechsl. Болезнь вызывает нарушение физиолого-биологических функций растений – снижение содержания в листьях хлорофилла, изменение состава аминокислот, длительное содержание роста растений, ослабление минерального питания. Эти нарушения являются причиной снижения зерновой продуктивности растений и ухудшения качества зерна [4]. Helminthosporium sativum – паразит с широкой специализацией. Он поражает более 65 видов растений семейства злаковых, (мятликовых), особенно ячмень, твердые пшеницы, затем мягкую пшеницу. Очень слабо гриб поражает овес и практически не поражает кукурузу, просо, гречиху, подсолнечник, горох, люцерну и эспарцет. Заметим здесь, что в первые годы почвы целины были практически свободны от патогена [14].

В связи с тем, что на одном и том же поле различные растения могут быть поражены с одной стороны конкретными патогенами, а с другой – их комплексом, то и болезнь часто не имеет ярко выраженных симптомов, присущих лишь одному из патогенов. Поэтому симптомы проявления болезни часто даются под общим названием «обыкновенная корневая гниль».

Согласно международной ассоциации селекционных учреждений (СИМ-МИТ 2002 г.) при поражении гельминтоспориозом и фузариозом основание стебля, узловые корни темнеют и становятся коричневыми. Заболевание может выразиться белоколосостью, заметной еще до наступления зрелости зерна. Отдельные пораженные растения полегают. Поражение до или после всходов (раннее поражение) вызывает гибель всходов. В целом полевая идентификация болезни затруднена, так как разные грибы могут поражать различные части растений.

Согласно атласу проявления болезней [15] корневая гниль злаков проявляется в виде слабого кущения, увядания листьев отмирания стеблей. Зерно щуплое. Болезнь развивается очагами. Однако наиболее полно симптоматика поражения яровой пшеницы корневой гнилью описана в более раннем источнике [16]. Так, семенная инфекция поражает проростки, которые приобретают бурую окраску и на 5 – 6-й день могут погибать, не выходя на поверхность почвы. Если же инфекция находится на поверхности семян или гриб перезимовал на растительных остатках в почве, то болезнь всходов проявляется на 15 – 20 день и часто с незначительным поражением первичных (зародышевых) корней и колеоптиле. Один из признаков поражения – изменение окраски узла кущения и основания стебля – в коричневый цвет. Растение может погибнуть. Наиболее опасно, когда болезнь поражает подземное, первое надземное междоузлие и первый узел. В этом случае у растений нарушается связь надземной части с корневой системой. В результате наблюдается невыколашивание, отмирание отдельных стеблей, белоколосица, образование мелкого колоса без зерна. В благоприятных условиях Helmin-thosporium sativum поражает листья (бурая пятнистость) и зерно нового урожая.

Сообщения о крупных эпифитотиях указанных возбудителей отсутствуют. Однако многие источники указывают на значительные потери в результате изреженности стеблестоя, снижения продуктивной кустистости, озерненности колоса и массы зерна. Так, у СМ. Тупеневича мы находим, что коэффициент корреляции между развитием корневой гнили и снижением продуктивной кустистости равен +0,60.

Недобор зерна по разным предшественникам от поражения яровой пшеницы корневой гнилью составлял 4,8 – 6,6%. В 60-х годах прошлого столетия недобор зерна по разным источниками составлял 14,7 – 29,6% от контроля. При сильном развитии базального бактериоза недобор урожая может достигать 20% и более [4, 15].

Часть основных и боковых корней под влиянием B. sorokiniana погибает [17], вследствие чего обеспеченность растений корнями снижалась на 15 -85%.

При поражении эпикоптиля болезнью в слабой степени зерновая продуктивность растений уменьшалась на 11 – 25%, а в средней – на 42 – 67%. Значит, обыкновенная гниль эпикоптиля – самое уязвимое звено в системе растения как организма, существенно снижающее зерновую продуктивность яровой пшеницы. При поражении основания стебля обыкновенной гнилью зерновая продуктивность яровой пшеницы снижалась на 15,2%.

Для яровой пшеницы порог вредоносности варьирует в среднем от 2,5 до 6%, а для ячменя – от 2 до 5, т.е. примерно в тех же пределах [17].

 

1.2 Грибы рода Alternaria – как одна из причин чернозародышевости семян

Зерно пшеницы часто поражается грибами рода Alternaria, которые вызывают так называемую «черноту зародыша», такие семена имеют темно-коричневую окраску зародыша. Иногда эта темная полоса тянется вдоль нижней стороны на бороздке семени до его вершины. Внешне это вполне здоровые семена – хорошо выполнены, гладкие, блестящие. Исследованиями установлено, что грибы этого рода заражают нормально выполненное крупное зерно, часто с высокой массой. Семенные качества такого зерна не снижаются или снижаются незначительно. И далее дается достаточно определенное заключение, что грибы рода Alternaria на зерне пшеницы как фактор развития коневой гнили практически значения не имеют. Здесь же мы находим что побурение зародыша может вызывать также Helminthosporium sativum.

По СМ. Тупеневичу Alternaria наравне с Penicillium и Aspergillus лишь сопутствует основным возбудителям корневой гнили пшеницы, а в патогенезе болезни самостоятельного значения не имеет [15].

Однако данные Челябинской станции защиты растений (СТАЗР) говорят об обратном. Альтернариоз на посевах пшеницы проявляется в период цветения растений и молочной спелости зерна в виде темных пятен на колосковых чешуйках. Позже, во время дозревания зерна, наблюдается почернение зародыша («черный зародыш») [18].

Возбудителем является Alternaria alternata (Fr.) Keissl.

Syn.: Altemaria tenuis Fr., Altemaria botryospora, Altemaria state of Pleo-spora infectoria F., Altemaria grossulariae Jacz., Altemaria lini Dey.

Грибы рода Altemaria образуют на семенах паутинистый мицелий, придающий им темно-серый цвет. Часто на зародышевой части развивается темно-оливковый налет, состоящий из конидиеносцев и конидий. Конидии оливковые или черно-бурые, обратно-булавовидные, а в цепочках, с 3 – 6 поперечными перегородками и с одной или несколькими продольными перегородками, длиной 30–50 мкм и шириной 14–18 мкм, неодинаковой формы, чаще цилиндрические или овальные. Гриб отмечен на семенах всех культур повсеместно [19].

Возбудитель – несовершенный гриб Altemaria tenuis Fr. проникает внутрь семян, а его грибница скапливается преимущественно в плодовой оболочке и только иногда достигает эндосперма. Пораженное зерно, как правило, крупное, хорошо выполненное, чем отличается от пораженного гельминтоспориозом.

Значительной распространение альтернариоза бывает в годы с высокой температурой (выше 24 °С) и влажностью воздуха в период цветения пшеницы и молочной спелости зерна. Семена, пораженные альтернариозом, физиологически недоразвиты. Они имеют низкую энергию прорастания и всхожесть. Растения, выращенные из таких семян, отстают в росте и развитии, вследствие чего понижается урожайность.

Мука из зерна с «черным зародышем» имеет темноватый цвет и низкие хлебопекарные качества [20]. Поэтому вредоносность черноты зародыша может заключаться не только в снижении всхожести семян, но и в снижении закупочных цен на такое зерно.

Кривова К.Г. установила зависимость всхожести семян от степени изменения окраски их зародыша. Семена пшеницы и ячменя она разделила на три фракции:

I   – зародыш и зародышевые углубления зерна полностью окрашены – всхожесть снижается на 37%;

II – окрашены половина зародыша и часть зерна за его пределами – всхожесть снижается на 63%;

III – чернота по всему зерну – всхожесть снижается на 84% [11].

СИММИТ (2002 г.) указывает, что черный зародыш зерна сможет быть вызван всеми тремя родами грибов – Alternaria, Helminthosporium sativum, Fusarium. В этом случае симптомы поражения выражены в виде окрашивания околоплодника (перикарпия) созревающего зерна в зародышевой части зерна. При этом, если зерно поражено грибом Alternaria, то темнеет только перикарпий зародыша, а при заражении грибами Helminthosporium и Fusarium погибает весь зародыш.

Причиной черного зародыша могут быть другие патогены. Так, И. Станчева указывает на базальный бактериоз пшеницы, как на причину черного зародыша. Сильно пораженные семена не всходят, при прорастании из них выделяется беловатый экссудат. Возбудителем является бактерия Pseudomonas syringae pv. afrofaciens. Патоген чаще всего сохраняется в семенах, реже в растительных остатках. Во время вегетации растения бактерия переносится каплями воды, насекомыми или контактно между растениями. Развитие их происходит при температуре от 2 до 37 °С (оптимум 25–38 °С), но при 48 – 49 °С они погибают в течении 10 минут. При сильном развитии болезни наблюдаются карликовость стеблей, сухая гниль оберточного листа, побурение колеоптиле, сплошные почернения чешуек колосков, зерна чернеют у основания, а остальная часть их краснеет [20, 21].

Возбудителем может быть комплекс грибов Alternaria alternata Nees et Fr., Alternaria tenuis Nees et Fr., Bipolaris sorokiniana Shoem., Drechslera teres Jto. Наиболее опасно поражение грибами Bipolaris sorokiniana и Drechslera teres.

При поражении колосковых чешуи и главным образом зерновок грибами Bipolaris sorokiniana и Drechslera teres появляются темные, почти черные пятна с темно-оливковым налетом. Зерна в пораженных колосьях щуплые, с потемневшим зародышем. Споры крупные продолговатые, цилиндрические или вере-теновидные, с несколькими поперечными перегородками. Размер их у Bipolaris sorokiniana (50 – 110) х (15 – 31), у Drechslera teres (30 – 175) х (15 – 22) мкм [22]. Грибница Bipolaris sorokiniana проникает в перикарпий, эндосперм и часто в зародыш.

Споры гриба Alternaria alternata темно-оливковые или коричневатые, обратно-булавовидные, расположенные в цепочках, с поперечными (1 – 9) и продольными (0 – 6) перегородками. Размер спор (300 – 50) х (14 – 18) мкм. Кони-диеносцы темно-оливковые или буроватые, прямые, ветвистые или простые, коленчатые [4].

Грибы рода Alternaria зимуют на растительных остатках и в почве в виде мицелия и конидий, массово передаются с семенами. Развитие начинается при температуре 6 °С, максимальное заражение наблюдается при 15 °С. После заражения гриб образует интерцеллюлярный мицелий, на поверхности тканей хозяина формируется конидиальное спороношение, которое служит для распространения патогена в течение вегетации ветром и (реже) с капельной влагой. Иногда на перезимовавших растительных остатках могут формироваться псевдотеции с сумками.

Грибы не требовательны к условиям увлажнения, предпочитают почвы с нейтральной реакцией.

Болезнь вызывает нарушения многих функций растения – фотосинтез, минеральное питание, синтез аминокислот, сдерживает рост и развитие. Потери урожая колеблются от 5 до 15% [23].

 

1.3 Фузариозная корневая гниль – грибы p. Fusarium

Распространена, в основном, на Северо-Западе России, в Центральном, Волго-Вятском регионах и на Северном Кавказе. В отдельные годы в зависимости от зоны и погодных условий урожай зерновых может снижаться на 20% [5].

Возбудители-виды p. Fusarium (F. culmorum, F. avenaceum, F. oxysporum, F. eguiseti, F. graminearum, F. heterosporum, F. solani и др.) [24]. При проращивании семян в рулонах развивается очень тонкий, нежный, пушистый быстро разрастающийся мицелий вначале снежно-белого или ярко-малинового с прожилками цвета. Нередко семена окрашиваются в розовый или малиновый цвет и на них проявляются коростинки из спороношения гриба. Грибы этого рода характеризуются образованием микроконидий и макроконидий. Микроконидии одноклеточные, реже с 1- 2 перегородками, овальные яйцевидные. Макроконидии с 3 – 9 перегородками, разной формы, кривизны, изогнутости и размеров.

Их развитию благоприятствуют относительно прохладная и влажная погода с пониженной солнечной радиацией, достаточно высокая концентрация углекислоты и низкая – кислорода, а также слабокислая среда. В спороножках этих грибов образуется конидиальное спороношение.

У большинства грибов образуются бесцветные или желто-бурые одноклеточные хламидоспоры и желтые, коричневые или синие склероции [4].

Патогенные свойства возбудителя обыкновенной гнили обусловлены его способностью, вырабатывать гидролитические ферменты и токсины, а виды рода Fusarium – фузариевую кислоту, изомартицин, зеараленон, диацетоксис-цирпенол, ниваленол и др.

Являясь факультативными анаэробами, виды рода Fusarium лучше приспособлены к паразитированию во влажных условиях зон достаточного и умеренного увлажнения (тайга, подтайга), а также в прохладные увлажненные годы в других зонах [15].

Грибы рода Fusarium могут развиваться при температуре от 0 до 35 °С, оптимум роста находится в пределах 18 – 24 – 28 °С. С понижением температуры до 10 °С рост мицелия почти прекращается. Оптимальными для Fusarium avenaceum считаются 12–18 °С и выше (до 24 °С). При более высокой температуре (43–45 °С) развиваются лишь Fusarium oxysporum, Fusarium sporotrichiella.

Реакция среды не оказывает существенного влияния на рост грибов этого рода. Патогенные виды этого рода могут развиваться сапрофитно на корнях пшеницы, а при ослаблении растения эти грибы переходят к паразитическому существовании – разрушают корневую систему, заселяют узел кущения и основание стеблей. В теплую влажную погоду на пораженных растениях может быть заметен беловато-розовый пушистый мицелий и спороношение грибов. Конидии разносятся воздушными потоками. Попадая на колос, поражают его.

Зерно становится щуплым, а в более выполненном зерне сохраняется мицелий [15]. При сильном развитии заболевания поражаются хлорофиллоносная паренхима, луб и древесная паренхима, чем и объясняется возникновение пустоколосости. Недобор урожая от фузориоза может достигать 5–30%.

Поражая зерно, гриб Fusarium graminearum вызывает разложение белковых веществ с выделением аммиака и других токсических соединений. Хлеб, выпеченный из такой муки, несъедобен [21].

Кроме пшеницы грибы рода Fusarium поражают ячмень, рожь, овес и большое число диких злаков. Источником инфекции являются зараженные семена, растительные остатки и инфицированная почва [5].

1.4 Базальный бактериоз

Возбудители – Pseudomonas ramonicum Schn. et Iluchina и Ervinia caroto-vora Hoi. – грамотрицательные палочки. Болезнь обнаружена во многих районах страны, преимущественно на пшенице, реже на других злаках. Это подвижные, полиморфные грамотрицательные палочки с полярными жгутиками. Бактерии растут при температуре от 2 до 37 °С (оптимум 25 – 30 °С), но при 48 °С погибают в течение 10 минут. [4]. Поражают колос и зерно, листья и стебли. На колосе чернеют основания колосковых чешуи. Черные пятна появляются сбоку колосковой чешуи, может чернеть вся колосковая чешуя. На зерновке часто чернеет зародыш. На листьях появляются водянистые, постепенно темнеющие пятна [22]. При сильном развитии болезни наблюдается карликовость стеблей, сухая гниль оберточного листа, побурение колеоптиля, сплошные почернения колосковых чешуи, зерна чернеют у основания с покраснением остальной части.

Наибольшая вредоносность базального бактериоза отмечается в годы с пониженной температурой и повышенной влажностью в летний период. При сильном его развитии растения преждевременно теряют часть листьев, а зерна делаются щуплыми, всхожесть их снижается [4]. В этих случаях недобор урожая может достигать 20% и более [21]. В связи с изложенным мы сочли целесообразным выявить вредоносность черноты зародышей зерновых культур в условиях северной лесостепи и эффективность некоторых препаратов, обычно рекомендуемых для подавления возбудителей корневых гнилей в условиях умеренно-засушливой степи Челябинской области.


2. Природно-климатическая характеристика Челябинской области

 

2.1 Агроклиматические условия Челябинской области

Территория Челябинской области занимает 88,3 тысяч квадратных километров. Она разделена на 24 административных района.

Северо-западная часть территории гористая, расположена на Среднем и Южном Урале. Средний Урал в пределах территории представлен невысокими грядами и холмистыми возвышенностями. Южная половина территории расположена на Зауральском наклонном плато высотой от 400 м на западе и до 200 м над уровнем моря на востоке.

В горных районах преобладают елово-пихтовые и сосновые леса, и широколиственные породы – береза, липа, дуб.

Северная лесостепь характеризуется преобладанием березы и осины. Отдельные луговые и ковыльно-разнотравные степные участки чередуются с березовыми колками.

В лесостепной зоне области распространены черноземы выщелоченные, оподзоленные, обыкновенные. На приречных участках развиты оподзоленные, реже выщелоченные черноземы, серые и темно-серые почвы. На плоских междуречьях отсутствие дренажа в сочетании с тяжелым механическим составом пород приводит к заболачиванию почв, а на южных междуречьях развиваются процессы засоления.

В южной части области преобладают обыкновенные и южные черноземы.

Южные и юго-восточные районы области представляют собой безлесную и типчаково-ковыльно-разнотравную степь. Редко встречаются отдельные колки низкорослой березы и осины.

В южных степях травяной покров разрежен, рано созревает и выгорает, возрождаясь только в случае выпадения летних обильных осадков.

Климат Челябинской области континентальный. Основная особенность климата это холодная и продолжительная зима с частыми метелями, сухое и жаркое лето с периодически повторяющимися засушливыми периодами. На равнинной территории годовые суммы осадков 500–550 мм, в горах 600–700 мм, на юго-востоке области 300 – 350 мм.

В годовом ходе осадков наименьшее их количество наблюдается в феврале, наибольшее – в июле. Снежный покров появляется в третьей декаде октября. Устойчивый снежный покров образуется в середине ноября. Сходит снег в середине апреля.

Период активной вегетации сельскохозяйственных культур со среднесуточными температурами выше 10 °С продолжается 105–135 дней. На территории области благоприятны погодные условия для выращивания озимой ржи, яровой пшеницы, овса, ячменя, гречихи, гороха, ранне- и среднеспелых сортов картофеля.

 

2.2 Характеристика погодных условии 2007–2008 года

Среднемесячная температура января -6–7 °С, что на 9–10 °С теплее нормы. Практически весь январь не было снега и только, в третьей декаде выпало 1,5 месячной нормы осадков. Высота снежного покрова составила 10 см.

Такая же погода сохранялась и в первой декаде февраля. С конца, второй декады отмечались сильные ветры, метели, температуры снизились до -30 °С, но снежный покров в этот период был достаточно высоким. За февраль выпало 1–4 месячные нормы осадков. В г. Магнитогорске за 24–25 февраля выпало 4 месячные нормы осадков. Средняя температура февраля составила -13,8–15,5 °С, что на 1,4–2 °С холоднее прошлого года.

Вег – а началась рано. В первой половине карта большие перепады ночных и дневных температур (от -30 °С до +1 °С днем). Снег растаял быстро. Среднемесячная температура марта составила -3,6–9,7 °С (норма -8,4–9,9 °С).

Осадков выпало 14,3 мм, при норме 17 мм. Средняя относительная влажность воздуха составила 78%.

В южной половине области – 28 марта, в северной половине – 12 апреля завершилась зима, т.е. средняя суточная температура воздуха перешла через 0 °С (в сторону повышения).

Апрель характеризовался неустойчивой погодой. Холодные пасмурные дни (ночью до -5 °С, днем около 0 °С) сменялись солнечными теплыми (ночью до +5 °С, днем до +19 °С). Среднемесячная температура апреля +4+5,7 °С, что на 1,8–3 °С теплее нормы. Осадков за месяц выпало 77,4 мм (норма 20 мм), т.е. почти 4 месячных нормы.

В первой декаде апреля зацвела мать-и-мачеха, активизировались мышевидные.

Во второй декаде апреля хорошо прогревалась и оттаивала почва, начался подъем проволочников в верхние слои. В третьей декаде апреля началась активизация блошек, клубеньковых долгоносиков, зарегистрирован лет бабочек белянок, крапивниц.

Среднемесячная температура мая составила +12,5+14,5 °С, что на 1,1–2,4 °С выше нормы.

В первой декаде мая – прохладная погода, частые дожди, холодный северный (северо-западный) шквалистый ветер. В отдельные дни на почве отмечены заморозки.

С 10 мая наступило резкое потепление (ночью +10, днем +17+20 С), дожди, грозы, сильный ветер. 16 мая почти по всей области шел снег, местами установился снежный покров высотой до 5 см. Низкие температуры первой декады мая сдерживали начало отрождения саранчовых (на 10 дней позже прошлого года). Осадки мешали проведению обследований и весенне-полевых работ.

Во второй декаде мая началось заселение всходов блошками, отмечено начало лета шведской, луковой, капустных мух, капустной моли, репной белянки, выход колорадского жука с мест зимовки.

Среднемесячная температура в июне составила +13,5+16,5 °С (норма 16,7–16,9 °С), что на 1,2–0,4 °С холоднее нормы.

Жара первого дня лета (днем +28+30 °С, ночью +20 °С) сменилась резким похолоданием, которое удерживалось всю первую половину июня. Ночные температуры от -3 °С до +6 °С, дневные +6+10 °С и только в отдельные дни +16 °С. Частые дожди, а 3–4 июня – снег. Во многих районах области заморозками повреждены плодовые, ягодные кустарники, теплолюбивые овощные культуры, всходы картофеля и кукурузы, некоторые цветочные культуры и даже сорные растения (крапива). Последний заморозок на почве отмечался в ночь на 14 июня (до -5 оС). Из-за холодной погоды первой половины июня и позднего сева яровых зерновых культур снизилась вредоносность таких вредителей, как саранчовых, хлебной полосатой блохи, хлебной пьявицы, клопа вредной черепашки.

С 14 числа и до конца июня установилась теплая погода с отдельными жаркими днями. Ночные температуры от +10 до +22 °С, дневные от +18 до +35 °С. На большей части территории области, особенно в горно-заводской, северной, центральных зонах шли практически ежедневно дожди. Только за 23 июня выпало 0,5 месячной нормы осадков. 22 и 23 июня в некоторых районах области (Аргаяшский, Красноармейский, Троицкий) и в г. Челябинске бушевал ураган (сильный ветер, гроза, ливни, град). Градом повреждены многие растения (капуста, кабачки, помидоры, огурцы и др.)

Теплая солнечная, с периодическими дождями, погода второй половины июня была благоприятна для прохождения дополнительного питания многоядных совок, зерновой совки, для развития колорадского жука, для проявления фитофтороза на картофеле. Хозяйства в области проводили профилактические обработки картофеля от болезней.

Среднемесячная температура июля составила +19,4+19,7 °С, выше cреднемноголетних температур на 0,8–1,6 °С, и на 2,1–2,3 oС выше прошлого года.

Первая декада июля характеризовалась теплой, даже жаркой погодой (ночью +15+20 °С, днем +23+34 °С) с периодическими дождями, ливнями. Погодные условия благоприятны для роста и развития растений. В Красноармейском районе 9 июля – град.

Некоторое понижение температуры (ночью +15+18 °С, днем +18+22 °С) отмечалось с 11 по 14 июля на большей части области. Жара с 16 по 21 июля (ночью 15+20 °С, днем +25+32 °С) с 22 июля сменилась холодными днями (ночью +7+10 °С, днем 13+15 °С). С 26 июля опять установилась теплая погода (ночные +12+16 °С, днем +20+25 °С). Частые дожди практически на всей территории области. В Кизильском районе весь июль было очень сухо и жарко, небольшие дожди прошли только 3 и 9 июля.

Часто повторяющиеся дожди на большей части территории области были неблагоприятны для лета бабочек и откладки яиц капустной моли, белянок, для заселения посадок тлями. Но эти дожди, чередовавшиеся во второй декаде июля с сильными росами в утренние часы, способствовали проявлению большинства болезней сельскохозяйственных культур. В конце июля, в преимуществе, была сухая солнечная погода.

Среднемесячная температура августа +19,3+27 °С, что на 3,3–4,2 °С выше нормы.

Теплая, а в отдельные дни жаркая погода первых восьми дней августа (ночью +14+20 °С, днем +21+30 °С) с 9 августа сменилась прохладной и даже холодной (ночью +7+11 °С, днем +14+19 °С). В редкие дни – дожди.

Вся вторая половина августа – теплая, много жарких солнечных дней (ночью +16+20 oС, днем +24+30 °С). Дожди имели очаговый характер. Сухой, жаркий август способствовал быстрому созреванию яровых зерновых культур. Нехватка влаги в период налива зерна и роста клубней картофеля отрицательно повлияла на урожайность культур.

Погодные условия августа приостановили распространение и развитие болезней, но были благоприятны для развития саранчовых, при наличии осадков – для лугового мотылька, многоядных совок, колорадского жука и других вредителей.

В первой декаде сентября – сухая, теплая солнечная погода, в отдельные дни – жарко (ночью +10+18 °С, днем +16+26 °С, в южных районах до 30 °С). С 12 сентября – понижение температуры (ночью 0+5 °С, днем +11+16 °С). Во второй половине сентября установилась, в основном, теплая погода (ночью +3+10 С, днем +10+20 °С); 14 сентября отмечались ночные заморозки до -2–4 С, 21–22 сентября ночные температуры составляют 0+3 °С.

Среднемесячная температура сентября +12,6+12,9 °С, что на 2,4–2,3 °С теплее нормы. Осадков выпало 48,2 м (норма 30 мм). Средняя относительная влажность воздуха составила 68%.

Частые осадки в сентябре были в большинстве случаев в виде небольших моросящих дождей, в утренние часы – сильные туманы. Практически на всей территории области дожди замедлили темпы уборки.

Теплая погода сентября способствовала нормальной подготовке к перезимовке большинства вредителей сельскохозяйственных культур.

В течение сентября 2007 года преобладала тёплая и сравнительно сухая погода. Средняя месячная температура воздуха на 1–2 °С превышала норму и составляла 11–13 °С. По-летнему жарко было 9–10 сентября, в дневные часы воздух прогревался до 27–33 °С. 13–14 числа похолодало, и повсеместно были отмечены заморозки интенсивностью минус 1–5 °С. На большей части территории области сроки наступления осенних заморозков оказались близкими к средним многолетним.

Осадки по территории области распределялись очень неравномерно. Наименьшее количество осадков, 25–30 мм (40–70% нормы), выпало в северо-восточных районах. Наибольшее количество осадков, 85–88 мм (в 2,5 раза больше нормы), отметили метеостанции Варна и Карталы. На остальной территории области количество осадков оказалось близким к норме и равнялось 40–60 мм. Основные дожди прошли в течение 2–3 суток. Погодные условия сентября были благоприятными для уборки урожая сельскохозяйственных культур.

В октябре стояла тёплая, сухая и малооблачная погода. В большинстве дней средние суточные температуры на 3–7 °С превышали норму. Очень тепло было 3–10, 15–16 и 19–21 октября, максимальная температура воздуха в эти дни достигала плюс 15–20, а в крайних южных районах 21–22 °С. В ночные часы воздух и поверхность почвы значительно выхолаживались и, как правило, температуры были отрицательными, от 1–3 до 5–8 градусов мороза. Наиболее низкие температуры пришлись на вторую половину месяца. Уборка урожая к этому времени была завершена, поэтому ущерба они не принесли. В целом средняя месячная температура воздуха оказалась на 2–4 °С выше нормы и составила 4–6 °С тепла. 22–24 октября средняя суточная температура воздуха перешла через 5 °С, то есть на 2–3 недели позднее обычного завершилась активная вегетация всех зимующих культур.

Осадков было мало. На большей части территории области суммарное количество осадков колебалось от 2–6 до 8–12 мм, 10–30% месячной нормы. И только местами, в горных районах (метеостанции Верхний Уфалей, Златоуст, Нязепетровск), выпало 23–33 мм, 35–60% нормы. В этих районах 23–26 октября устанавливался временный снежный покров высотой до 1 см.

Сухая осенняя (сентябрь-октябрь) погода отрицательно сказалась на предзимней влагозарядке почвы. В большинстве районов запасы влаги в почве оказались меньше средних многолетних.

Однако, продолжительная и, в основном, теплая осень 2007 года оказалась благоприятной для мышевидных грызунов. Погодные условия и достаточная кормовая база позволили вредителям хорошо напитаться.

В ноябре преобладала неустойчивая погода. В начале месяца в дневные часы воздух прогревался до 10–14 °С тепла, а в середине и в конце ноября в ночные часы минимальная температура воздуха достигала 17–21 °С мороза. В среднем за месяц температура воздуха оказалась близкой к норме, в северной, половине области на 1 °С превысила ее и равнялась минус 6–8 °С. 5–7 ноября, на 2–3 недели позднее обычного, наступила зима, то есть средняя суточная температура воздуха перешла чрез 0 °С (в сторону понижения). Почти одновременно с этим установился снежный покров. Высота снега небольшая. По состоянию на 30 ноября она колебалась от 1–4 см до 5–11 см., в среднем это на 4–10 см меньше средних многолетних и прошлогодних величин. Снежный покров залегал неравномерно, местами встречались оголенные места.

Осадков на большей части территории области выпало 50–80% нормы. В юго-восточных районах и в горах их месячное количество колебалось от 20 до 35 мм. На остальной территории сумма осадков не превысила 10–14 мм.

Низкие температуры в середине и конце ноября, небольшой снежный покров способствовали значительному промерзанию почвы. К 30 ноября почва промерзла до 40–70 см, в горных районах – до 20–25 см, что на 15–17 см больше прошлогоднего. Минимальная температура на узле кущения большинства зимующих культур ниже 5–10 °С мороза не опускалась. Условия зимовки культур были удовлетворительные.

В декабре стояла умеренно морозная и малоснежная погода. На территории области средняя месячная температура воздуха равнялась минус 14–16 °С, что на 1–2 °С ниже нормы. Абсолютный максимум температуры воздуха, 0-минус 2 °С, отмечен в начале месяца. Наиболее значительные морозы, минус 27–32 °С, пришлись на 25 декабря.

Осадков выпало мало, от 15 до 25 мм (50–80% месячной нормы). По состоянию на 31 декабря средняя по области высота снега составила 14 см (на 5 см меньше нормы), запасы воды в снеге 24 мм (на 15 мм меньше нормы).

Пониженный температурный режим, небольшой снежный покров способствовали значительному промерзанию почвы. К концу декабря средняя глубина промерзания почвы равнялась 75 см, это на 10 см больше нормы и на 30 см больше, чем в прошлом году. Условия зимовки культур были малоблагоприятными, особенно для нерайонированных сортов плодово-ягодных культур.

В январе 2008 года преобладала очень неустойчивая погода. Периоды потеплений сменялись похолоданиями, и в большинстве случаев низкие температуры сопровождались усилением ветра. При этом следует отметить, что в северной половине области было несколько теплее, чем в южной. Наиболее холодная погода наблюдалась в период с 9 по 17 января, в отдельные ночи и предутренние часы мороз достигал 30–35 °С, в окрестностях метеостанции Верхнеуральск – минус 40 °С. Очень тепло было 1, 2, 6, 7 января и в последних числах месяца. Максимальная температура колебалась от минус 1 до минус 7 °С. В целом за месяц температура воздуха составила в северной половине области минус 14–16 °С (в пределах или на Г выше нормы), в южной половине – минус 17–19 °С (в пределах или на 1 °С ниже нормы).

Осадков выпало мало, 10–15 мм, в горах и юго-западных районах – 18–23 мм (50–90% нормы). Снега на полях недостаточно. Средняя по области высота снежного покрова равнялась 25 см, на 3–4 см меньше нормы и прошлого года. Запас воды в снеге не большой, 43 мм (70% нормы и от прошлого года).

Февраль был очень теплым. Средняя за месяц температура воздуха оказалась на 4–6 °С выше нормы и составила минус 10–12 °С. В последней пятидневке месяца ежедневно наблюдались оттепели, максимальная температура воздуха достигала 3–7 °С тепла. Самые холодные дни отмечены 8–9 числа, в ночные и утренние часы мороз достигал 28–35 °С.

Осадки в большинстве дней месяца были незначительные. И лишь 20–21 февраля, при вторжении южного циклона, по всей территории области прошли интенсивные снегопады, местами дождь со снегом. На всей территории области выпало от 15–20 мм до 70–140 мм осадков (1,5–3,7 месячных нормы). Местами в западных горных районах отмечен сход снежных лавин, которые создали трудности в движении автомобильного и железнодорожного транспорта. Частые метели и позёмки вызвали значительный перенос снега и привели к образованию сугробов. Высота снежного покрова составила 31 см, что в пределах нормы, но на 40 мм меньше прошлогоднего.

К концу февраля почва промерзла до 100–150 см, что на 9 см больше нормы и на 42 см больше прошлогоднего. Условия зимовки сельскохозяйственных культур были удовлетворительные.

Март был исключительно тёплым. За все годы метеорологических наблюдений аналогичная температура отмечалась только в 1995 и 2002 годах. Средняя за месяц температура воздуха оказалась на 8–10° выше нормы и равнялась минус 1–3 °С. Очень часто наблюдались оттепели, максимальная температура достигала 10–15 °С, в Бредах и Карталах -17–19° тепла. Сильных морозов в марте не было, минимальная температура воздуха ниже 15–20 °С не опускалась. 25 марта, на 2–3 недели раньше обычного, завершился холодный период, то есть средняя суточная температура воздуха перешла через 0 °С в сторону повышения.

Сумма осадков за месяц в 1,5–3 раза превысила норму. На большей части территории области выпало 30–40 мм, в окрестностях метеостанций Варна, Карталы и Катав-Ивановск -50–65 мм. По состоянию на 20 марта снежный покров равномерно залегал на всей территории области, и средняя высота его равнялась 29 см. Очень теплая и солнечная погода в третьей декаде марта вызвала интенсивное разрушение снежного покрова, и к 31 числу снега на открытых маршрутах в южных районах нет. На остальной территории области высота снежного покрова уменьшилась на 20–35 см и составила 2–10 см. Снежный покров высотой 20–45 см залегал только на защищенных маршрутах в северо-западных районах.

С 20 марта началось медленное оттаивание почвы.

Неблагоприятные погодные условия в зимний период 2007–2008 гг. (долгое отсутствие постоянного снежного покрова; периоды с очень низкой температурой практически без снега; значительное промерзание почвы; уплотнение снега, образование наста, вызванные оттепелями, а также дождями в феврале) отрицательно сказались на зимующем запасе вредителей и не позволили мышевидным грызунам интенсивно размножаться. Также погодные условия не оказали благоприятного влияния на сохранение инфекций сельскохозяйственных культур.

Погода в апреле была сухой, ветреной, с частыми возвратами холодов. 7 апреля, на 2–3 недели раньше обычного, средняя суточная температура воздуха перешла через плюс 5 °С, и до 14 числа сохранялась очень теплая погода. Максимальная температура воздуха в эти дни достигала 20–25 °С. В ночь на 14 апреля, в результате прохождения холодного фронта, резко похолодало. В южной половине области прогремели первые грозы, прошли дожди, снегопады, местами установился временный снежный покров высотой от 4 до 12 см. В период с 15 по 17 апреля минимальная температура воздуха в ночные часы опускалась до 10–15 °C мороза. Холодная погода сохранялась до 19 числа. Затем потеплело, а 24–25 апреля вновь произошло понижение температуры. Однако, несмотря на неоднократные похолодания, средняя месячная температура воздуха оказалась на 2–4 °С выше нормы и составила 4–7 °C тепла.

На большей части территории области осадков не было или количество их не превысило 5–10 мм, 20–50% месячной нормы. И только в южных районах выпало 30–50 мм, 1,5–2,5 месячных нормы. Воздух отличался большой сухостью. В течение 11–19 дней относительная влажность воздуха, в дневные часы, равнялась 30% и менее.

В начале 2 декады апреля началась активизация насекомых – лёт бабочек крапивниц, в 3 декаде апреля отмечена активизация крестоцветных блох, хлебной полосатой блохи, клубеньковых долгоносиков, подъём в верхние слои почвы проволочников. Хозяйства в это время приступили к посеву однолетних трав и овощных культур в южных районах.

В мае преобладала неустойчивая, но сравнительно теплая погода. Холодно было лишь в первых числах месяца, средние суточные температуры в этот период равнялись 1 -5 °C тепла, а ночные опускались до минус 4–10 °С. 5–7 мая, в сроки близкие к многолетним, средняя суточная температура воздуха перешла через плюс 10 °С, и началось интенсивное нарастание тепла. В это время отмечен выход с мест зимовки пьявицы обыкновенной, зарегистрирован лёт репной белянки, в конце 1 декады мая начался лёт капустных мух, в начале 2 декады мая – отрождение личинок саранчовых.

20–22 мая в дневные часы воздух прогревался до 26–3 0 °С. 23 числа похолодало, особенно холодно было в северной половине области. Заморозки в большинстве районов прекратились 5 мая, в дальнейшем они отмечались лишь местами в северных районах. Средняя месячная температура воздуха оказалась на 1–2° выше нормы и равнялась 11–13 °С.

Осадки по времени распределялись очень неравномерно, наиболее интенсивные дожди наблюдались в последней пятидневке месяца. Всего за месяц в южной половине области выпало 40–60 мм (110–160% нормы). В северо-западных районах суммарное количество осадков составило 65–95 мм (130–200% нормы). Наиболее интенсивные дожди прошли в центральных районах, здесь выпало 100–140 мм, в 2,5–3 раза больше обычного. Почти повсеместно наблюдались грозы, местами отмечено выпадение града. От крупного града, диаметр которого достигал 20 мм, пострадали посадки, пленочные укрытия на индивидуальных садовых участках, легковой автотранспорт.

Но 2 и 3 декады мая, в преимуществе тёплые и солнечные, благоприятствовали развитию вредителей. Со 2 декады мая началось заселение всходов яровых зерновых культур хлебной полосатой блохой, которым были нанесены сильные повреждения. Численность выше ЭПВ и высокая вредоносность отмечены на всходах раннего срока сева (25–30 апреля). Проведены химобработки. Дальнейшее понижение температуры, дожди, сильный ветер снизили вредоносность.

Холодная погода, установившаяся в конце мая, сохранялась до 11 июня. В большинстве районов 8–10 числа на почве наблюдались заморозки интенсивностью минус 1 – 4 °С. Пострадали всходы картофеля, овощных, цветочных культур, немного «прихватило» бобовые травы, зерновые культуры.

Осадки и прохладные погодные условия мая и начала июня вызвали прорастание конидий гриба (для заражения растений необходима относительная влажность воздуха не менее 50%) и создали оптимальные условия для развития мучнистой росы и заражения яровых зерновых культур.

11–12 июня средняя суточная температура перешла через 15 °С, то есть на 5–12 дней позднее, обычного установилось метеорологическое лето. Наиболее жаркая погода пришлась на 18–25 июня. Погодные условия этого периода были неблагоприятны для проявления фитофтороза. Максимальная температура воздуха достигала 30–35 °С. 27–28 июня жара спала, и температура воздуха опустилась до средних многолетних значений, 15–18 °С. В целом за месяц температура воздуха оказалась близкой к норме и составила 16–18 °C, в северо-западных районах 14–15 °С.

В большинстве дней июня было сухо. В юго-восточных районах отмечались слабые суховеи. Осадки по территории области распределялись очень неравномерно. Наиболее интенсивные дожди прошли в Аргаяше и Челябинске. Здесь выпало 105–125 мм (1,7–2,2 месячных нормы). Меньше всего осадков, 6–12 мм (12–15% месячной нормы), отметили метеостанции на юге области. На остальной территории суммарное количество осадков за месяц равнялось 25–45 мм, в горах 60–75 мм, что составило 45–85% нормы. В течение месяца наблюдались грозы, местами град и шквалистые усиления ветра.

Чередование холодных периодов с жаркими сухими в начале лета неблагоприятно для развития и созревания бабочек лугового мотылька. На 23 июня лёт прекратился. А с установлением благоприятной погоды после 27 июня (тепло, дожди) лёт возобновился. Лёт проходил, в основном, в южных районах области. В этот период на посевах яровых зерновых культур не отмечено проявление ржавчинных болезней и дальнейшее распространение и развитие мучнистой росы.

Холодная погода, установившаяся в конце июня, сохранялась до 6 июля. Однако, ночи при этом оставались теплыми, лишь 5–6 числа ночные температуры воздуха понизились до 4–9 °С. Погода с умеренными температурами и частыми дождями создала благоприятные условия для прогрессирования болезней картофеля, в т.ч. фитофтороза. Такой температурный режим оказался благоприятным для появления и развития болезней других сельскохозяйственных культур. В дальнейшем до конца месяца стояла очень теплая погода. Наиболее жаркая погода пришлась на 10–12 июля. Максимальная температура воздуха в этот период достигала 30–35 °С, на крайнем юге области – плюс 38 °С. В целом за месяц температура воздуха составила 19–22 °C, что превышает норму на 2–4 °С.

За месяц отмечалось 3–4 периода с дождями. Осадки по территории области распределялись очень неравномерно. Наиболее интенсивные дожди выпали 3–4 июля в Челябинске, Бродокалмаке, Варне. За сутки здесь зарегистрировано 42 -61 мм (2,5 – 4 декадные нормы), а за месяц – 100–130 мм (полторы месячные нормы). Меньше всего осадков, 37–40 мм (около половины месячной нормы) отметили метеостанции Бреды, Магнитогорск, Карталы и Кизильское. На остальной территории суммарное количество за месяц равнялось 60–95 мм, что близко к норме. В течение месяца наблюдались грозы, местами град, шквалистый ветер.

Теплая погода, дожди, наличие цветущей растительности на естественных угодьях были благоприятны для лёта бабочек лугового мотылька. Так же погодные условия прошедшего периода способствовали дальнейшему развитию болезней сельскохозяйственных культур.

В начале августа было пасмурно, сравнительно прохладно, а затем установилась очень теплая, а в южных районах жаркая и сухая погода. В южной половине области в течение 21–27 суток, на остальной территории области в течение 11–17 суток дневные температуры равнялись или превышали 25 °С. Максимальная температура воздуха в южной половине области достигала 32–35 °С, в северной – 28–31 °С. Ночи, как правило, были теплыми. В целом за месяц температура воздуха в южной половине области составила 19–21 °С, на 3–4 °C больше обычного. На остальной территории средняя температура за август равнялась 16–18 °C, на 1–2 °C больше нормы.

Такая погода ускорила развитие некоторых вредителей (саранчовые, луговой мотылек и др.), а наличие рос (дождей) и пасмурных периодов в ряде случаев были благоприятны для развития болезней. Наличие рос в конце июля – начале августа способствовало некоторому развитию стеблевой ржавчины, ветреная погода в начале августа увеличила её распространение, но в преимуществе сухая жаркая погода была неблагоприятна.

Осадки по территории области распределялись крайне неравномерно. В южной половине осадков выпало мало, 10–20 мм (30–40% месячной нормы), часто отмечались суховей различной интенсивности. Практически не было дождей в окрестностях метеостанций: Карталы, Кизильское и Магнитогорск. В северной половине области прошли более значительные дожди. Здесь за месяц выпало от 40 до 60 мм осадков (60–80% нормы). В горных районах – 80–100 мм, что в пределах месячной нормы. Наблюдались грозы, местами – град и шквалистые усиления ветра.

Погодные условия для созревания урожая и уборки основных сельскохозяйственных культур были хорошие и удовлетворительные.

Жаркая и относительно сухая погода августа оказывала сдерживающее воздействие на заражение и распространение бурой ржавчины на всходах озимых этого года, но была благоприятна для яйцекладки саранчовых.

В общем, погодные условия летнего периода не способствовали массовому размножению мышевидных грызунов и сильному прогрессированию болезней зерновых культур.

В сентябре преобладала прохладная и сырая погода, со средними суточными температурами на 3–6 °С ниже нормы. Тепло было только во второй пятидневке, максимальная температура в эти дни достигала 24–29 °С. В целом за месяц температура воздуха оказалась на 1–2 °С ниже нормы и равнялась 8–10 °С, в северо-западных районах 6–7 °С.

Первые осенние заморозки в северной половине области наблюдались 4 сентября (в пределах нормы), на остальной территории 21–22 сентября, на неделю позднее обычного. Наиболее низкие температуры воздуха зарегистрированы в последних числах сентября, и составили в северной половине области минус 3–5 °С, в южной – 8–12° мороза.

Осадков выпало 1–2 месячных нормы, в южной половине области 30–50 мм, в северной половине – 65–95 мм. Исключение составила метеостанция Бреды, где месячное количество осадков равнялось 17 мм (половина нормы). 16–17 и 26–27 сентября наблюдалось выпадение снега, и в северо-западных районах на 1–2 дня устанавливался временный снежный покров высотой от 1 до 8 см.

Холодная и дождливая погода неблагоприятна для развития вредителей, которые продолжают подготовку к зимовке и уход на зиму.

Октябрь был очень теплый и сухой. В большинстве дней средняя суточная температура оказалась на 2–7 °С выше нормы и колебалась от 5 до 12 °С. 4–5 октября дневные температуры достигали 18–22 °С. Наиболее холодная погода наблюдалась 11, 18–19 числа, в ночные часы минимальная температура воздуха опускалась до минус 4–8 °С. Средняя за месяц температура воздуха составила 4–6 °С тепла, на 3–4 °С больше нормы.

Осадки по времени и территории выпадали крайне неравномерно. Интенсивные осадки наблюдались 10 и 16 числа, в остальные дни осадков или не было или они были незначительные. Наибольшее количество осадков, 40–55 мм (70–120% месячной нормы) отметили метеостанции, расположенные на северо-западе области. Наименьшее количество осадков, 7–9 мм (25–35% нормы) пришлось на юго-восточные районы. На остальной территории области выпало 15–25 мм, 45–65% месячной нормы.

В течение месяца в северо-западных районах области неоднократно устанавливался временный снежный покров, в южных районах он устанавливался 20 октября. Сохранялся снежный покров не более 1 -2 дней.

В основном, теплая, сухая и продолжительная осень 2008 года, достаточная кормовая база (потери во время уборки, невывезенная солома, посевы озимых зерновых), непахотные земли, внедрение минимальной обработки почв создают благоприятные условия для питания и зимовки мышевидных грызунов [18].

 

3. Экспериментальная часть

 

3.1 Цель и задачи исследований

Целью исследований является изучение фитопатологической обстановки в основных зерносеющих районах Челябинской области и возможности снижения проявления болезни на примере яровой пшеницы и ячменя, ржи и других зерновых культур.

В этой связи нами поставлено три задачи:

1  Выявить распространённость черноты зародыша яровой пшеницы, ржи, ячменя;

2  Выявить эпифитотийную обстановку по корневым гнилям;

3 Определить уровень экономической эффективности применения средств защиты растений.

 

3.2 Объекты исследований

Объекты исследования – грибы рода р. Аlternaria, p. Fusarium, p. Helmintosporium, Плесневение, Бактериозы. Исследования проведены в Челябинской области, данные исследования за 2005 г., 2006 г., 2007 г., 2008 г., 2009 г.

 

3.3 Методика исследований

Нами проведена обработка материала по отчёту СТАЗР (2006 г.). Работа этой организации выполнялась по методикам ВНИИФ (Всероссийский научно-исследовательский институт фитопатологии), которые включают в себя фито-патологический анализ семян зерновых культур на зараженность возбудителями черноты зародыша корневых гнилей (ГОСТ 12044–81) [18].

Партии для определения зараженности семян болезнями отбирали по ГОСТу 12036–85. Масса партии пшеницы и ячменя составляла не более 60 т.

Среднюю пробу для определения зараженности семян болезнями во влажной камере и на питательных средах отбирали в размере 200 г. и помещали в бумажный пакет или мешок из ткани. Внутрь вкладывали этикетку. Анализ проводили в рулонах фильтровальной бумаги [25, 24].

Из средней пробы, предназначенной для анализа семян на зараженность болезнями, выделяли навеску. Из семян основной культуры отбирали четыре рабочие пробы по 100 семян пшеницы и ячменя. Для проращивания семян использовали два слоя увлажненной до полной влагоемкости фильтровальной бумаги.

Анализировали четыре рабочих пробы по 100 семян, поэтому размер полосок фильтровальной бумаги для каждой пробы был 10 х 110 см (± 2 см). Фильтровальную бумагу перед анализом стерилизовали или проглаживали утюгом. Бумагу, перед раскладкой семян смачивали свежекипяченой водой. Раскладку семян проводили в условиях, обеспечивающих максимальную стерильность. Семена дезинфицировали в 0,5% растворе перманганата калия в течение 5 минут, потом их несколько раз промывали свежекипяченой остуженной водой. Семена раскладывали в одну линию с интервалом 1–2 см на расстоянии 2–3 см от верхнего и боковых краев бумаги зародышами вниз.

Разложенные на бумаге семена накрывали такой же полоской увлажненной фильтровальной бумаги и сворачивали в рулон. Ставили их в высокие стаканы или 2–3-х литровые банки, на дно наливали немного воды. В условиях высокой влажности и при температуре 24–26 °С семена проращивали. Анализировали один раз на 12-й день.

Под микроскопом просматривали полоску, срезанную с фильтровальной бумаги, с остатками мицелия возбудителей болезней.

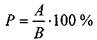
По каждой из четырех проб подсчитывали количество семян, зараженных каждой болезнью и общее количество зараженных семян. Зараженность семян в процентах вычисляли по формуле [1].


                                          (1)

где N – суммарное количество зараженных семян в четырех пробах, шт.; п – общее количество семян, взятых для анализа, шт.

В настоящее время существует целый арсенал подавления возбудителей корневой гнили. Среди них обычно выдвигают химические меры защиты пшеницы и ячменя Витаваксом, Импактом, Винцитом, Премисом и др. В последние годы активно стали применять препараты – Дивиденд, Доспех, Виал ТТ, Триходермин, Фитоспорин, Интеграл, Планриз, Гумат калия д, Агат – 25К.

Эффективность некоторых из них проверено на опыте, проведенном в 2006 году в Брединском районе (Агрофирма «Калининская»). Агротехническая часть испытаний проводилась в соответствии с зональными рекомендациями по возделыванию яровой пшеницы. Площадь поля – 100 га. В опыте использовали сорт яровой пшеницы Эритроспермум 59. В таблице 1 представлена схема опыта.

Таблица 1 – Схема опыта по яровой пшенице в Брединском районе

В литрах на тонну

Вариант Препарат Норма расхода препарата
1 Контроль -
2 Доспех 0,5
3 Доспех 0,4
4 Дивиденд+Агат 25К 1 +40г/т
5 Тебу 60 0,5
6 Дивиденд микс 0,75
7 Дивиденд микс 1,0

В Чебаркульском районе («ЧНИИСХ» Россельхозакадемии, п. Тимирязевский) закладка опыта производилась мелкоделяночным способом в 4-х повторностях на яровой пшенице и ячмене. Учет корневых гнилей проводился также по методике ВНИИФ. Для проведения опыта препараты были предоставлены фирмами: ООО Фирма «Сингента» (г. Москва), ООО «Агрорус и КО» (г. Москва), ЗАО Фирма «Август» (г. Москва), ЗАО «БиО БИЗ и КО» (г. Москва), ООО «Алсико – Агропром» (г. Москва), ЗАО «Торговый Дом Агрохимпром» (г. Барнаул). Схема опыта представлена в таблице 2.

Таблица 2 – Схема опыта по яровой пшенице и ячменю в Чебаркульском районе

В литрах на тонну

Вариант Препарат Норма расхода препарата
яровая пшеница ячмень
1 Контроль - -
2 Дивиденд стар 1,0 1,0
3 Стингер 0,5 0,5
4 ВиалТТ 0,4 0,4
5 Бинорам 0,70 0,70
6 Доспех 0,5 0,5
7 Агат 25К 40 г./т 40 г./т

В течение вегетационного периода проводили три учета корневых гнилей:

-           первый – фаза всходы (9 июля);

-           второй – фаза конец цветения (26 июля);

-           третий – фаза восковая спелость (18 августа).

При учетах в 20 точках по диагонали поля отбирали пробы по 10–20 растений в каждой.

Образцы промывали водой, подсчитывали количество погибших, пораженных и здоровых растений. Для учета интенсивности поражения растений мы использовали единую шкалу [9].

0  – признаки болезни отсутствуют;

1  – единичные штрихи, слабое побурение колеоптиле или подземного междоузлия;

2  – сильное побурение подземного междоузлия или основания стебля и узловых корней;

3  – сильное почернение подземного междоузлия, поражение корней, основания стебля, трухлявость;

4  – полное отмирание растений.

Далее находили интенсивность развития заболевания в учетной точке, а потом уже и на поле. Также определяли распространенность болезни, и потери урожая по шкале [15].

Интенсивность поражения рассчитывали по формулам (2, 3, 4):

1) Для определения интенсивности развития заболевания в учетной точке:

                              (2)

где Rm – интенсивность поражения в учетной точке, %; ΣА раст • b – сумма произведений количества пораженных растений на соответствующий балл пораженности; Np – общее число растений в учетной точке; В-высший балл шкалы учета.

2) Для определения развития заболевания на поле:

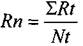
                                            (3)

где Rn – интенсивность поражения на поле, %; ΣRt – арифметическая сумма процента интенсивности поражения в точках, %; N t – количество учетных точек.

По интенсивности развития болезни определяли потери урожая [2].

3) Распространенность болезни определяли по формуле:

                                       (4)

где Р – распространенность болезни, %; А – число продуктивных стеблей в пробе; В-общее число пораженных стеблей [9].

Полевой опыт был заложен в полном соответствии с методикой Госсортосети (1985 год) с использованием малогабаритных сеялок, комбайнов и семяочистительной техники.

 

4. Результаты исследований

 

4.1 Общее фитосанитарное состояние зерновых культур в Челябинской области за 2006–2007 г.

По данным фитопатологического анализа семян зерновых культур под посев в 2007 году – 67,2% семян заражено корневыми гнилями. В 2006 году – 69%. Все проверенные партии семян были заражены. Как и прежде, преобладали грибы родов Alternaria, Helmintosporium, Fusarium, плесневые грибы родов Aspergillus, Mucor и др. Отмечались и бактериозы, но в меньшей степени, чем в 2006 году.

В 2007 году уменьшилась заспоренность грибами p. Alternaria и составила 50,1%. В прошлом году этот показатель был 59%. Заражение грибами рода Fusarium в 2007 году увеличилось на 0,5%, а заражение грибами рода Helmintosporium увеличилось в 3 раза и составило 9% (в прошлом году этот показатель был 3%), данные показаны в таблице 3.

Таблица 3 – Зараженность зерновых культур по Челябинской области за 2005–2007 гг.

Год p. Alternaria, % p. Fusarium, % p. Helmintosporium, % Плесневение, % Бактериозы, %
2005 40,8 1 2 3,9 2,2
2006 59 1 3 3,9 1,9
2007 50,1 1,5 9 5 1,6

Зараженность семян пшеницы в 2007 году по сравнению с 2006 годом:

-  по фузариозу показатель зараженности увеличился в 1,6 раза и составил 1,6%. Максимальное инфицирование отмечено в Сосновском районе – 10,7%, Аргаяшском – 6,4%, Верхнеуральском – 4,8%, Чебаркульском – 4,5%, Увельском – 3,3%;

-  по гельминтоспориозу показатель увеличился в 3,4 раза и составил 6,9%. Максимальное инфицирование отмечено в Пластовском районе – 18%, Чесменском – 11,6%, Троицком – 10,6%, Брединском – 9,2%, Верхнеуральском, Октябрьском – 8,6%, Кизильском – 8,1%;

– по альтернариозу показатель уменьшился в 1,2 раза и составил 48,4%. Максимальное инфицирование отмечено в Еткульском районе – 79,8%, Агаповском – 68,9%, Сосновском – 67%, Каслинском – 66,7%, Карталинском – 64,6%, Аргаяшском – 63,6%, Нагайбакском – 60,4%;

– по плесневению показатель увеличился в 1,3 раза и составил 5,2%. Максимальное инфицирование отмечено в Пластовском районе – 17%, Сосновском – 14,9%, Еткульском – 11,8%, Агаповском – 9,6%, Аргаяшском – 8,1%;

– по бактериозу показатель уменьшился в 1,2 раза и составил 1,7%. Максимальное инфицирование отмечено в Нагайбакском районе – 7,9%, Брединском – 4,1%, Верхнеуральском – 3,5%, Троицком – 3,3%, Красноармейском – 2,4%.

Зараженность семян ячменя:

-  по фузариозу произошло увеличение в 1,6 раза. Максимальное инфицирование отмечено в Увельском районе – 6,1%, Аргаяшском – 4,6% и Верхнеуральском – 3,9%;

-  по гельминтоспориозу зараженность увеличилась в 1,9 раза. Максимальное инфицирование отмечено в Сосновском районе – 42% и Троицком – 39,3%;

-  по альтернаризу произошло незначительное снижение зараженности (на 8,4%). Максимальный показатель в Еткульском районе – 84,5%, Агаповском – 72,4%, Карталинском – 71,8%;

по плесневению увеличилось на 0,8%. Максимальный показатель

в Пластовском районе – 15,1% и Сосновском – 12,2%;

– по бактериозу показатель уменьшился на 0,3%. Максимальная зараженность в Нагайбакском районе – 6,2%, Брединском – 4%.

Зараженность семян овса:

-  по фузариозу произошло уменьшение в 1,5 раза (0,9%). Максимальный показатель в Аргаяшском районе – 4%, Сосновском – 3%, Нязепетровском – 2%;

-  по гельминтоспориозу произошло увеличение в 2,3 раза (3,2%). Максимальный показатель отмечен в Кизильском районе – 11,9%, Брединском – 9,3%, Троицком – 4,9%;

-  по альтернариозу произошло уменьшение в 1,1 раза (59,2%). Максимальный показатель отмечен в Агаповском районе – 79,9%, Карталинском – 77,5%, Еткульском – 73,5%;

– по плесневению отмечено увеличение в 1,7 раза (4,5%). Максимальный показатель отмечен в Сосновском районе – 28,3%;

– по бактериозу – уменьшение в 1,2 раза (1,4%). Максимальный показатель отмечен в Нагайбакском районе – 8,8%, Троицком – 6,5%.

Зараженность семян ржи:

Анализ семян проведен в двух районах (Аргаяшский, Уйский).

– по фузариозу показатель заражения семян увеличился в 6 раз и составил 6%. Максимальное инфицирование отмечено в Аргаяшском районе – 12%;

– по гельминтоспориозу показатель составил 1%. В 2006 году заражение гельминтоспориозом не отмечалось. Максимальное инфицирование отмечено в Аргаяшском районе – 2%;

-  по альтернариозу показатель заражения увеличился в 5,6 раза и составил 51%. Максимальное инфицирование отмечено в Аргаяшском районе – 62%;

-  по плесневению произошло увеличение в 2 раза, показатель составил 8%.

– по бактериозу произошло уменьшение в 3,2 раза, заражение составило 6%. Максимальное инфицирование отмечено в Уйском районе – 10%.


4.1.2 Корневые гнили озимых зерновых культур

Озимая пшеница. За весенне-летний период обследовано 0,25 тыс. га, заражено 0,14 тыс. га (56% обследованной площади). Средневзвешенное распространение – 54,7% и развитие – 25%. Максимальное распространение – 80% и развитие – 40% в Еткульском районе на площади 0,08 тыс. га. В 2006 году средневзвешенное распространение составляло 7,7%, а развитие – 1,8%.

Осенью 2007 года всходы озимой пшеницы обследованы на площади 0,984 тыс. га, заражено 0,634 тыс. га. Средневзвешенное распространение – 16,4%, развитие – 3,2%. Максимальные показатели отмечены в Красноармейском районе: распространение – 43%, развитие – 12,1% на площади 0,05 тыс. га сорта Сибирская нива.

Озимая рожь. За весну – лето обследовано 1,05 тыс. га, заражено 0,95 тыс. га (90,5% обследованной площади). Средневзвешенное распространение составило 36%, развитие – 10,8%. Максимальное распространение – 80%, развитие – 30% в Еткульском районе на площади 0,22 тыс. га. В 2006 году средневзвешенное распространение составляло 6,1%, развитие – 4,2%.

В осенний период 2007 года проведено обследование 0,32 тыс. га озимой ржи, заражена вся обследованная площадь. Средневзвешенное распространение – 13,4%, развитие – 3%.

Таким образом, в 2007 году наблюдается рост распространения и развития корневых гнилей на озимых зерновых культурах, по сравнению с 2006 годом. Однако, заболевание развивалось на депрессивном уровне и потери урожая заболевания незначительные.

 

4.1.3 Корневые гнили яровых зерновых культур

Пшеница. За вегетационный период обследовано 3,197 тыс. га, заражено 2,605 тыс. га со средневзвешенным распространением 17%, средневзвешенным развитием 5,7%.

В 2007 году распространение осталось на том же уровне, что и в 2006 году, а развитие заболевания понизилось. В 2006 году эти показатели были 16% и 10% соответственно.

Ячмень. За вегетационный период 2007 года обследовано 0,183 тыс. га, Заражена вся обследованная площадь. Средневзвешенное распространение составило 13,7%, средневзвешенное развитие – 3%. В 2006 году эти показатели были 13,3% и 5,49% соответственно.

Овес. Обследовано 0,451 тыс. га. Заражена вся обследованная площадь. Средневзвешенное распространение – 13,4%, развитие – 5,4%.

Вредоносность корневых гнилей на овсе, по сравнению с предыдущим годом, уменьшилась почти в 4 раза: в 2006 году средневзвешенное распространение – 48%, средневзвешенное развитие – 25%.

В 2008 году распространение и развитие корневых гнилей будет зависеть от качества посевного материала, объемов и качества протравливания семян, правильной агротехники.

Таблица 4 – Результаты фитоанализа семян для посева в 2007 г. по Челябинской области (данные на 20.05.2007 г.)

 

№ п/п Культура Проведено, тыс. т. Заражено, тыс. т Непроросшие, %

 

фузариоз гельминтоспориоз альтернариоз плесневение бактериоз

 

1 Пшеница 75,256 1,6 6,9 48,4 5,2 1,7 10,0

 

2 Ячмень 23,892 1,5 17,6 52,1 4,7 1,3 20,0

 

3 Овес 8,728 0,9 3,2 59,2 4,5 1,4 18,0

 

4 Зерносмесь 0,420 0,9 6,7 62,1 2,4 0,0 21,0

 

5 Рожь 0,120 6,0 1,0 51,0 8,0 6,0 41,0
Итого зерновые: 108,416 1,5 9,0 50,1 5,0 1,6 12,9

 

 


4.2 Общее фитосанитарное состояние посевов сельскохозяйственных культур Челябинской области за 2007–2008 г.

По данным фитопатологического анализа семян зерновых культур под посев в 2008 году – 65,6% семян заражено корневыми гнилями. В 2007 году – 67,2%. Все проверенные партии семян были заражены. Как и прежде, преобладали грибы родов Alternaria, Helmintosporium, Fusarium, плесневые грибы родов Aspergillus, Mucor и др. Отмечались и бактериозы, но в меньшей степени, чем в 2007 году.

В 2008 году уменьшилась заспоренность грибами p. Alternaria и составила 45,2%. В прошлом году этот показатель был 50,1%. Заражение грибами рода Fusarium в 2008 году уменьшилось на 0,3%, а заражение грибами рода Helmintosporium увеличилось на 1,6% и составило 10,6% (в прошлом году этот показатель был 9%). Так же в 2008 году отмечалось увеличение плесневения с 5% до 7,2 (таблица 5).

Таблица 5 – Зараженность зерновых культур по Челябинской области за 2006–2008 годы

Год p. Alternaria, % p. Fusarium, % p. Helmintosporium, % Плесне-вение, %

Бактериозы,

%

2006 59 1 3 3,9 1,9
2007 50,1 1,5 9 5 1,6
2008 45,2 1,2 10,6 7,2 1,5

Зараженность семян пшеницы в 2008 году по сравнению с 2007 годом:

– по фузариозу показатель зараженности уменьшился на 0,21% и составил 1,41%. Максимальные показатели отмечены в Красноармейском – 3,49%, Еткульском – 3,17%, Чесменском – 3,11% районах. В 2007 г. максимальные показатели составляли 10,68% в Сосновском районе, 6,4% – Аргаяшском, 4,8% – Верхнеуральском, 4,5% – Чебаркульском;

-    по гельминтоспориозу показатель уменьшился на 1,73% и составил 5,17%, Максимальный показатель отмечен в Уйском районе – 12,8%, Пластовском – 11,44%, Троицком – 10,31%, Еткульском – 9,17%, Верхнеуральском – 7,3%, Брединском и Чебаркульском – 6,38%. В 2007 г. максимальные показатели отмечались в Пластовском районе – 18%, Чесменском – 11,6%, Троицком – 10,6%, Брединском – 9,2%, Верхнеуральском, Октябрьском и Кизильском районах – 8,6%;

-    по альтернариозу показатель уменьшился на 2,69% и составил 45,71%. Максимальные показатели отмечены в Карталинском – 85,01%, Еткульском – 70,69%, Агаповском – 64,49%, Верхнеуральском – 64,41%, Сосновском – 57,67%, Кунашакском – 54,78% районах. В 2007 г. максимальные показатели отмечались в Еткульском – 79,8%, Агаповском – 68,9%, Сосновском – 67%, Каслинском – 66,7%, Карталинском – 64,6%, Аргаяшском – 63,6%, Нагайбакском – 60,4% районах;

– по плесневению показатель увеличился на 2,91% и составил 8,11%. Максимальные показатели отмечены в Варненском – 27,71%, Агаповском – 10,59%, Нагайбакском – 9,9% районах. В 2007 г. максимальные показатели отмечались в Пластовском районе – 17%, Сосновском – 14,9%, Еткульском – 11,8%, Агаповском – 9,6%, Аргаяшском – 8,1%;

– по бактериозу показатель уменьшился на 0,19% и составил 1,51%. Максимальные показатели отмечены в Красноармейском – 3,96%, Варненском – 3,56%, Троицком – 2,38%, Брединском – 2,31%. В 2007 г. максимальные показатели отмечались в Нагайбакском районе – 7,9%, Брединском – 4,1%, Верхнеуральском – 3,53%, Троицком – 3,3%, Красноармейском – 2,4% районах.

Зараженность семян ячменя:

– по фузариозу произошло уменьшение в 2,4 раза и составил 0,6%. Максимальные показатели отмечены в Чесменском – 3,19%, Красноармейском – 2,32%, Аргаяшском – 2,09%, Чебаркульском – 1,7%, Еткульском – 1,27% районах. В 2007 г. максимальные показатели отмечались в Увельском районе – 6,1%, Аргаяшском – 4,6% и Верхнеуральском – 3,9%;

– по гельминтоспориозу показатель увеличился и составил 31,03%, в 2007 г. – 17,59%. Максимальные показатели отмечены в Каслинском – 90,46%, Уйском – 61,25%, Верхнеуральском – 42,22%, Красноармейском – 41,41%, Чебаркульском – 40,46%, Пластовском – 38,5% районах. В 2007 г. максимальные показатели отмечались в Сосновском районе – 42% и Троицком – 39,3%;

– по альтернариозу зараженность снизилась на 11,1% и составила 40,99%. Максимальные показатели отмечены в Карталинском – 83,36%, Еткульском – 78,91%, Кизильском – 59,07%, Агаповском – 58,87%, Нагайбакском – 50,8% районах. В 2007 г. максимальные показатели отмечались в Еткульском районе – 84,5%, Агаповском – 72,4%, Карталинском – 71,8%;

-  по плесневению отмечено незначительное увеличение показателя (на 0,29%), он составил 4,98%. Максимальные показатели отмечены в Варненском – 26,94%, Сосновском – 8,85%, Агаповском – 7,15%, Кизильском – 6,88%, Чесменском – 6,56%, Каслинском – 6,23%, Еткульском – 5,82% районах. В 2007 г. максимальные показатели отмечались в Пластовском районе – 15,1% и Сосновском – 12,2%;

-  по бактериозу показатель увеличился на 0,28% и составил 1,54%. Максимальные показатели отмечены в Красноармейском – 19,3%, Брединском – 5,34%, Троицком – 4,05%, Чесменском – 2,16% районах. В 2007 г. максимальные показатели отмечались в Нагайбакском районе – 6,2%, Брединском – 4%.

Зараженность семян овса:

– по фузариозу показатель увеличился на 0,32% и составил 1,19%. Максимальные показатели отмечены в Варненском – 4,39%, Уйском – 2,62%, Чесменском – 2,6% районах. В 2007 г. максимальные показатели отмечались в Аргаяшском районе – 4%, Сосновском – 3%, Нязепетровском – 2%;

– по гельминтоспориозу показатель увеличился на 0,95% и составил 4,1%. Максимальные показатели отмечены в Нагайбакском – 11,64%, Верхнеуральском – 9,08%, Брединском – 7,5%, Агаповском – 6,8%, Еткульском – 5% районах. В 2007 г. максимальные показатели отмечались в Кизильском районе – 11,9%, Брединском – 9,3%, Троицком – 4,9%;

-  по альтернариозу произошло уменьшение показателя на 6,42%, он составил 52,76%. Максимальные показатели отмечены в Карталинском – 87,75%, Агаповском – 73,71%, Каслинском – 68,67%, Нагайбакском – 68,29%, Чебаркульском – 61,3%, Аргаяшском – 60,75%, Кунашакском – 60,25% районах. В 2007 г. максимальные показатели отмечались в Агаповском районе – 79,9%, Карталинском – 77,5%, Еткульском – 73,5%;

-  по плесневению отмечено незначительное увеличение заражения (на 0,4%), оно составило 4,53%. Максимальные показатели отмечены в Варненском – 25,72%, Нагайбакском – 10,21%, Чесменском – 9%, Агаповском – 7,16%, Кизильском – 6,99% районах. В 2007 г. максимальный показатель отмечался в Сосновском районе – 28,3%;

– по бактериозу произошло уменьшение показателя на 0,31% и составил 1,1%. Максимальные показатели отмечены в Красноармейском – 4,66%, Брединском – 4,42%, Кизильском – 2,58%, Нагайбакском – 2,57% районах. В 2007 г. максимальные показатели отмечались в Нагайбакском районе – 8,8%, Троицком – 6,5%.

Таблица 6 – Результаты фитоэкспертизы семян для посева в 2008 г. по Челябинской области (данные на 20.05.2008 г.)

№ п/п Культура Проверено, тыс. т Заражено, тыс. т Непроросшие, %
фузариоз гельминтоспориоз альтернариоз плесневение бактериоз
1 Пшеница 115,638 1,4 5,2 45,7 8,1 1,5 7,0
2 Ячмень 35,165 0,6 31,0 41,0 5,0 1,5 14,0
3 Овес 12,352 1,2 4,1 52,8 4,5 1,1 13,0
4 Зерносмесь 0,898 1,4 3,0 47,8 15,3 2,6 16,0
Итого зерновые: 164,053 1,2 10,6 45,2 7,2 1,5 9,0

 

4.2.1 Корневые гнили озимых зерновых культур

Озимая пшеница. За весенне-летний период обследовано 0,178 тыс. га, заражена вся обследованная площадь. Средневзвешенное распространение – 42,6% и развитие – 7,4%. В 2007 году средневзвешенное распространение составляло 54,7%, а развитие -25%.

Осенью 2008 года обследования на всходах озимой пшеницы не проводились.

Озимая рожь. За весну – лето обследовано 0,243 тыс. га, заражено 0,185 тыс. га (76,1% обследованной площади). Средневзвешенное распространение составило 20,2%, развитие – 16,5%. В 2007 году средневзвешенное распространение составляло 36%, развитие – 10,8%.

В осенний период 2008 года проведено обследование 0,8 тыс. га озимой ржи, заражено 0,5 тыс. га (62,5% обследованной площади). Средневзвешенное распространение – 16,4%, развитие – 6,1%.Максимальное распространение – 40%, развитие – 22% в Увельском районе на площади 0,1 тыс. га.

В 2008 году на озимых культурах корневые гнили развивались на депрессивном уровне и потери урожая от заболевания были незначительные.

Корневые гнили яровых зерновых культур

Пшеница. За вегетационный период обследовано 6,508 тыс. га, заражено 5,037 тыс. га (77,4% обследованной площади) со средневзвешенным распространением 16,3%, средневзвешенным развитием 5,7%. Максимальное распространение – 57%, развитие – 30% в Увельском районе на площади 0,12 тыс. га.

В 2008 году отмечено незначительное уменьшение распространения, по сравнению с прошлым годом, а развитие осталось на том же уровне. В 2007 году эти показатели были 17% и 5,7% соответственно.

Ячмень. За вегетационный период 2008 года обследовано 1,023 тыс. га, заражено 0,703 тыс. га (68,7% обследованной площади). Средневзвешенное распространение составило 18,5%, средневзвешенное развитие – 7,1%. В 2007 году эти показатели были 13,7% и 3% соответственно. Максимальное распространение – 43,9%, развитие – 15,9% в Октябрьском районе на площади 0,056 тыс. га.

Овес. Обследовано 0,15 тыс. га. Заражена вся обследованная площадь. Среднее распространение – 3%, развитие – 1%. На овсе в течение двух последних лет наблюдается тенденция к снижению вредоносности корневых гнилей. В 2007 году эти показатели были 13,4% и 5,4% соответственно, в 2006 году – 48% и 25%.

В 2009 году распространение и развитие корневых гнилей будет зависеть от качества посевного материала, объемов и качества протравливания семян, правильной агротехники.

Гельминтоспориозы зерновых культур

Первые признаки гельминтоспориозных пятнистостей на яровых пшенице и ячмене проявились в первой декаде июля.

Яровой пшеницы обследовано 1,094 тыс. га, заражено 0,584 тыс. га (53,4% обследованной площади). Средневзвешенное распространение – 7,6%, развитие -1,7%.

В 2007 году на 48,6% обследованной площади средневзвешенное распространение составляло 7,6%, развитие – 1%.

Ярового ячменя обследовано 0,344 тыс. га, заражено 100% обследованной площади со средневзвешенным распространением – 9%, развитием – 1%. –

В 2007 году на всей обследованной площади средневзвешенное распространение составило 41,7%, развитие – 4,1%.


Таблица 7 – Результаты фитоэкспертизы семян для посева в 2009 г. по Челябинской области

№ п/п Культура Проверено, тыс. т Заражено, тыс. т Непро-росшие, %
фузариоз гель-минто-спориоз альтер-нариоз плес-невение бакте-риоз
1 Пшеница 17,783 0,8 4,3 49,5 4,4 1,5 7,0
2 Ячмень 5,388 0,6 12,2 47,3 5,0 0,6 12,0
3 Овес 1,870 1,3 3,5 38,0 7,5 1,9 27,0
4 Зерносмесь 0,060 0,0 48,0 40,0 8,0 0,0 34,0
Итого зерновые: 25,101 0,8 6,0 48,1 4,8 1,3 9,6

 

4.3 Меры борьбы с болезнью

Ограничению развития патогенных грибов способствует протравливание семян. Процент протравленных семян к высеянным семенам в области варьирует по годам от 54 до 82,6. Всего протравлено в 2008 году 196,6 тыс. т семян (таблица 8).

Таблица 8 – Процент протравленных семян за 2008 г.

Наименование культур Всего семян в наличие, ц/га Протравлено, %
Всего Химическими средствами Биологическими средствами
Яровая пшеница 142,2 137,0825 125,7655 11,317
Яровой ячмень 51,16 47,532 44,148 3,384
Овес 15,32 11,338 10,939 0,399
Озимая пшеница 0 0 0 0
Озимый ячмень 0 0,349 0,349 0
Озимая рожь Нет данных 0,349 0,349 0

Однако проведение протравливания семян остается малодоступным приемом многим сельхозпроизводителям из-за их финансовой несостоятельности. Во многих хозяйствах нет средств на приобретение протравителей и протравочных машин, парк которых ежегодно ветшает. Да и при протравливании зачастую нарушается норма расхода препарата, чаще в сторону ее занижения.

В основном в хозяйствах области для протравливания используют приставки к погрузчикам и самодельно оборудованные на базе. Качество протравливания из-за неравномерного нанесения протравителя на зерно в этих аппаратах низкое.

Полученные данные имеют важное практическое значение и указывают на необходимость защиты семян от болезни посредством специальных препаратов.

 

5. Экономическая эффективность

Сложные экономические условия, в которых оказались хозяйства аграрного сектора в последнее время, ухудшили условия выращивания зерновых культур (ограниченный выбор предшественника, рост засоренности посевов, нарушение сроков и качества обработки почвы, снижение объемов переходящих семенных фондов и обеспеченности растений основными элементами питания, а также объемов протравливания, и как следствие – тяжелая фитопатологическая ситуация в посевах).

В ходе работы была проанализирована экономическая эффективность мероприятий, направленных на подавление развития и распространения корневых гнилей на яровой пшенице.

Для определения экономической эффективности использовали следующие показатели: затраты на производство продукции, себестоимость 1 т зерна, валовая прибыль, экономический эффект и рентабельность производства продукции (таблица 9).

Расчет стоимости полученного урожая производили исходя из цены реализации яровой пшеницы 6000 рублей за 1 тонну. Расчёт показателей экономической эффективности приведён в таблице 9.

Таблица 9 – Расчёт экономической эффективности применения средств химизации

Показатель Контроль Виал-ТТ
1. Урожайность, т/га
2. Затраты труда, чел.-ч:
на 1 га
на 1 т
3. Прямые затраты на 1 га, руб.
4. В том числе все затраты на применение средств химизации и уборку дополнительного урожая, руб.
5. Прибавка урожая, т/га
6. Стоимость валовой продукции с 1 га, руб.
7. Стоимость прибавки с 1 га, руб.
8. Себестоимость 1 т. продукции, руб.
9. Чистый доход с 1 га, руб.
10. Дополнительный чистый доход с 1 га, руб.
11. Производительность труда, руб./чел.-ч
12. Рост производительности труда, %
13. Окупаемость затрат, руб./руб.
14. Окупаемость дополнительных затрат, руб./руб.
15. Рентабельность, %
16. Рентабельность дополнительных затрат, %

По данным таблицы 9 видно, что материально-денежные затраты по сравнению с контролем возросли на рублей. Наибольший чистый доход получен с применением протравителя. Рентабельность в варианте с применением препарата Виал-ТТ выше на % по сравнению с контролем. Таким образом, применение протравителя Виал-ТТ с нормой расхода 1 л/т является экономически эффективным.

 

6. Безопасность жизнедеятельности

 

6.1 Охрана труда

 

6.1.1 Задачи охраны труда в сельском хозяйстве

Охрана труда – это система сохранения жизни и здоровья работников в процессе их трудовой деятельности, включающая в себя правовые, социально-экономические, организационно-технические, санитарно-гигиенические, лечебно-профилактические, реабилитационные и иные мероприятия.

Цель охраны труда – создание здоровых и безопасных условий труда на рабочих местах и на основе этого снижение травматизма и заболеваемости работников. Кроме этого, охрана труда решает вопросы предоставления работникам, получившим повреждение здоровья на производстве, различных компенсаций, реабилитационных мероприятий и др. [26].

Система охраны труда призвана решать следующие основные задачи:

1  Обеспечение безопасности труда работающих и пропаганда вопросов охраны труда;

2  Обеспечение безопасности производственного оборудования, производственных процессов, зданий и сооружений, нормализация санитарно-гигиенических условий труда;

3  Обеспечение работающих средствами индивидуальной защиты;

4  Создание оптимальных режимов труда и отдыха;

5  Организация лечебно-профилактического и санитарно-бытового обслуживания работающих, а так же организация обучения и инструктажа, работающих по безопасности труда [27].


6.1.2  Характеристика условий труда в сельском хозяйстве и защита от неблагоприятных погодных факторов

Условия труда в сельскохозяйственном производстве резко отличаются от условий работы в промышленности и в строительстве. Сельскохозяйственное производство осуществляется на большой территории, что связано с перемещением на значительные расстояния людей, машин, материалов и т.д. Одни и те же люди выполняют большое число различных работ и в разнообразных условиях под открытым небом. Нередко погодные условия резко и неожиданно изменяются. Изменяются и дорожные условия.

Влияние неблагоприятных метеорологических условий во многих случаях можно устранить довольно просто. Например, в полевых условиях для предотвращения перегрева необходимо использовать заранее построенные навесы, тенты, изменить режим рабочего дня, в кабинах машин установить устройства для поддерживания температуры воздуха в нужных пределах.

Для предотвращения вредного влияния холода и дождя устраивают перерывы в работе для обогрева, ограничивают время нахождения людей в данных условиях, кабины машин оборудуют обогревателями.

Правильное поведение во время грозы работников сельского хозяйства также имеет огромное значение. Человек, застигнутый грозой в холмистой местности, не должен находиться на вершине холма или в лощине. Лучше переждать грозу на склоне, особенно у больших камней или песчаных откосов, т. к. там электрическое сопротивление грунта больше, а вероятность удара молнии меньше. Если же гроза застала на равнине, то лучше не стоять или идти, а сесть на какой-нибудь камень. Опасно прятаться от дождя под одиночными деревьями в поле или на опушке, а также находиться во время грозы вблизи воздушных линий электропередач.

Во время грозы все полевые работы прекращаются, машины останавливают, т. к. оглушенный разрядом водитель может временно потерять способность управлять машиной. Кабина с брезентовой крышей, в отличие от металлической, не защищает от молнии. Во время грозы безопаснее отойти от такой машины на 15 метров.

Одним из способов защиты от неблагоприятных погодных факторов является правильный выбор спецодежды с учетом времени года. К ним относятся головные уборы, рукавицы, куртки, комбинезоны и т.д. [28].

6.1.3 Меры безопасности при протравливании семян

Одним из основных мероприятий, направленных на борьбу с корневыми гнилями является протравливание семян.

К выполнению данной операции допускаются лица не моложе 18 лет, ознакомленные с правилами безопасного выполнения работ, признанные годными по состоянию здоровья.

Для защиты организма от попадания пестицидов через органы дыхания, кожу и слизистые оболочки все работающие с химическими веществами должны бесплатно обеспечиваться средствами индивидуальной защиты согласно действующим отраслевым нормам бесплатной выдачи рабочим и служащим специальной одежды, обуви и других средств индивидуальной защиты.

Для проведения работ с агрохимикатами используются только технологии, техника и оборудование, прошедшие в установленном порядке гигиеническую и технологическую оценку и имеющие соответствующее санитарно – эпидемиологическое заключение учреждений госсанэпидслужбы.

Протравливание семян осуществляется в хозяйствах на открытом воздухе или в специальных помещениях в соответствии с требованиями действующих нормативных и технических документов. Перед протравливанием семян необходимо строго рассчитать их требуемое количество для высева в данном хозяйстве. Протравливанию подлежат семена, доведенные до посевных кондиций. Семена протравливают высокотоксичными (часто ртутьорганическими) препаратами, опасными для человека. Для уменьшения выделения вредных веществ в воздух рабочей зоны и исключения контакта работающих с фунгицидами или протравленными семенами все работы должны быть максимально механизированы. Запрещается протравливать семена методом ручного перелопачивания. Следует применять только полусухой и мокрый способы протравливания и соответствующую технику. Семена протравливают на открытых площадках, расположенных не ближе 200 м от жилых помещений, детских учреждений, мест хранения продуктов питания и фуража, а также под навесами или в помещениях с достаточно эффективно действующей вентиляцией и бетонированными полами. Применение пестицидов и агрохимикатов в каждом конкретном случае проводится на основании утвержденных в установленном порядке рекомендаций по применению, а также в соответствии с Каталогом разрешенных средств и Санитарными правилами [29].

На рабочих местах, где производятся работы с применением агрохимикатов, обязательно должен быть предусмотрен набор соответствующих медикаментов. При появлении первых признаков отравления следует немедленно обратиться в ближайшее лечебное учреждение.

 

6.2 Охрана окружающей среды

Все виды сельскохозяйственных работ так или иначе взаимосвязаны с окружающей средой. Эрозия почв, истощение и загрязнение водных источников, засоление земель, образование подвижных песков и оврагов, снижение содержания гумуса и основных элементов минерального питания растений в почвах сельскохозяйственных угодий, повышение кислотности почв, ухудшение состояния сельскохозяйственных земель – все это представляет важные проблемы, связанные с невосполнимым ущербом, наносимым ресурсам и окружающей среде.

Значительный ущерб водным ресурсам, как поверхностным, так и надземным и подземным, наносят значительные склады минеральных и органических элементов в виде удобрений, ядохимикатов и пестицидов, а также горючесмазочных материалов, на которых нарушаются регламенты их хранения и транспортировки. Для окружающей среды большую опасность представляют продукты сгорания топлива сельскохозяйственной техники, эксплуатационные и технологические разливы топливно-смазочных материалов.

Охрана земель включает систему организационных, экономических, правовых, инженерных и других мероприятий, направленных на защиту земель от необоснованных изъятий из сельскохозяйственного оборота, вредных антропогенных и природных воздействий в целях повышения эффективности природопользования и создания благоприятной экологической обстановки.

Охрана земель и их рациональное использование осуществляется на основе комплексного подхода к угодьям, как и к сложным природным образованиям, с учетом их зональных и региональных особенностей. Система рационального использования земель носит природоохранительный ресурсосберегающий характер и предусматривает сохранение почв, ограничение воздействия на растительный и животный мир, геологические породы и другие компоненты окружающей среды.

 

6.2.1 Экологические проблемы, возникающие при возделывании яровой пшеницы и ячменя

Возделывание яровой пшеницы и ячменя сопряжено с использованием большого количества сельскохозяйственной техники, различных сельскохозяйственных орудий, многократно воздействующих на почву. Применяются различные минеральные и органические удобрения. Все это, в конечном итоге, не может не сказаться на состоянии окружающей среды.

В результате уничтожения на больших площадях естественного растительного покрова произошли глубокие нарушения единства природных условий и их взаимосвязей, что усилило развитие эрозионных процессов, их уже трудно приостановить простыми механическими приемами боронование, лункование зяби и др. имеющими микрорельеф пашни. Требуются радикальные меры, направленные на коренное улучшение физических свойств почвы и состояния ее поверхности. Основные источники загрязнения окружающей среды в процессе выращивания яровой пшеницы и ячменя – остатки пестицидов, минеральных удобрений, а также эрозия почв.

Проблема загрязнения окружающей среды в связи с интенсификацией сельского хозяйства имеет глубоко диалектический характер, восходящий к философской дилемме. С одной стороны, неупорядоченное применение пестицидов и минеральных удобрений приводит к загрязнению окружающей среды. С другой стороны, грамотное их применение обеспечивает получение высоких урожаев и тем самым позволяет сберечь большие площади от распашки, сохраняя естественные ландшафты.

Целью мероприятий по защите окружающей среды является снижение до минимума антропогенной нагрузки на природные экосистемы при сохранении максимальной продуктивности агрофитоценозов [13].

 

6.2.2 Пути снижения неблагоприятных воздействий при возделывании яровой пшеницы и ячменя

Для ограничения отрицательного влияния ячменя и пшеницы на последующие культуры необходимо выполнять компенсирующие мероприятия.

Первый фактор, на который необходимо обращать внимание, – это улучшение состояния почвы органическим веществом, причем нужно использовать все доступные источники: пожнивные остатки, навоз, зеленое удобрение, компосты, запашку ненужной соломы и другие, в зависимости от местных условий.

Большое значение имеет возделывание многолетних трав, особенно бобовых. Они составляют в почве значительное количество качественной органической массы, благодаря клубеньковым бактериям обогащают почву азотом, их ризосфера повышает биологическую активность почвы, углубляет ее эффективный профиль. Бобовые травы ограничивают распространение некоторых болезней пшеницы и ячменя, особенно корневых гнилей, как одно из самых опасных заболеваний, вызываемое комплексом возбудителей, приводящих к снижению урожайности, всхожести зерновых культур. Поэтому желательно, чтобы при высокой концентрации пшеницы и ячменя на пашне доля бобовых культур превышала 15–16%.

Для питательного режима, физических свойств, биологической активности и фитосанитарного состояния почвы и повышения эффективности питательных веществ удобрений важное значение имеет систематическое, раз в 4–6 лет, внесение органических удобрений, особенно навоза.

Одно из главных требований – содержание поверхности почвы в защищенном состоянии с помощью растительного покрова или органических элементов в виде удобрений. Заслуживает внимание безотвальная обработка почвы с оставлением стерни, которая в значительной степени защищает почву от водной и ветровой эрозии и способствует накоплению на полях снега.


Выводы

1  Изучение комплекса возбудителей, обуславливающих проявление черноты зародыша семян зерновых культур в условиях Челябинской области, показало, что, ежегодно вся масса семян инфицирована возбудителями черноты зародыша и корневой гнили грибами рода Fusarium, Alternaria, Helmintosporium. При этом основным патогенном является гриб Alternaria. Таким образом, становится очевидным, что весь семенной фонд пшеницы и ячменя в Челябинской области нуждается в защите от корневых гнилей.

2  Опыты станции защиты растений показали, что в условиях степи Челябинской области защита сорта яровой пшеницы Эритроспермум 59 от корневой гнили посредством обработки семян такими препаратами как Дивиденд микс с нормой расхода 0,75 – 1,0 л/т, Доспех с нормой расхода 0,4 – 0,5 л/т, Агат 25К+Дивиденд микс с нормой расхода 40 г./т и 1,0 л/т приводит к получению положительного эффекта.

Более эффективен Дивиденд микс с нормой расхода 1,0 л/т.

3  Экономические расчеты показали, что в сравнении с контролем использование препарата Дивиденд микс с нормой расхода 1,0 л/т оправдывает расходы на применение. Прибавка урожая составила 0,41 т/га.

Рекомендации производству

На основании полученных результатов, можно считать, что наилучшим вариантом в подавлении комплекса возбудителей черноты зародыша и корневой гнили зерновых культур Челябинской области является препарат Дивиденд микс. Целесообразно использовать препарат с нормой расхода 1 л/т.


Список литературы

1.    Интеграл – высокоэффективный биологический препарат комплексного действия / К.К. Сатубалдин, М.Я. Менликиев, Л.А. Сангинас, С.Б. Никитин. – Екатеринбург: ЗАО научно производственная система «Элита-комплекс», 2002. – С. 3–4.

2.    Фитосанитарная экспертиза зерновых культур / С.С. Санин, В.И. Черкашин, Л.Н. Назарова, Е.А. Соколова. – М.: ФГНУ «Росинформагротех», 2002. – 140 с.

3.    Долженко В.И., Котикова Г.Ш., Здрожевская С.Д. Средства защиты растений для предпосевной обработки семян / В.И. Долженко, Г.Ш. Котикова, С.Д. Здрожевская. – Санкт-Петербург: Всероссийский НИИ защиты растений (ВНИИ), 2001. – 54 с.

4.    Пересыпкин В.Ф. Сельскохозяйственная фитопатология / В.Ф. Пересыпкин. – М.: Агропромиздат, 1989. – 480 с.

5.    Грибные болезни зерновых культур / М.М. Левитин, С.Л. Тютерев // Защита и карантин растений. – 2003. – №11. – С. 48.

6.    Зинченко В.А. Химическая защита растений: средства, технология и экологическая безопасность / В.А. Зинченко. – М.: КолосС, 2006. – 232 с: ил.

7.    Буга С.Ф. Роль протравливания семян / С.Ф. Буга // Защита и карантин растений. – 2004. – №3. – С. 21.

8.    Нестеров А.Н. Изучение путей повышения эффективности комплекса агротехнических мероприятий в борьбе с корневой гнилью яровой пшеницы в условиях Северного Казахстана / Нестеров А.Н.: автореф. дис. канд. с.-х. наук. – Л., 1975. – 21 с.

9.    Информационное обеспечение прогнозов распространения и развития многоядных вредителей и болезней зерновых культур и картофеля / А.Ф. Ченкин, В.П. Блинова, А.С. Воловик, В.Ф. Дьяченко, Т.Ю. Федулова, В.Е. Ажбенов. – М: Центр научно-технической информации пропаганды и рекламы, 1993. – 50 с.

10. Грушева С.Е. Сельскохозяйственная фитопатология / С.Е. Грушева. – М.: Колос, 1995. – 447 с.

11. Кривова К.Г. Устойчивость и выносливость корневой гнили пшеницы к возбудителю Helminthosporium sativum в условиях Кустанайской области / Кривова К.Г.: автореф. дис. канд. с.-х. наук. – Л., 1972. – 28 с.

12. Семенов А.Я., Потлайчук В.И. Болезни семян полевых культур / А.Я. Семенов, В.И. Потлайчук. – Л.: Колос, 1982. – 127 с.

13. Грязнов А.А. Ячмень Карабалыкский (корм, крупа, пиво) / А.А. Грязнов. – Кустанай: Кустанайский печатный двор, 1996. – 446 с.

14. Тупеневич С.М. Корневые гнили яровой пшеницы / С.М. Тупеневич. – Л.: Колос, 1974. – 63 с.

15. Станчева И. Атлас болезней сельскохозяйственных культур. Болезни полевых культур / И. Станчева. – М.: София, 2003. – С. 37–38.

16. Пономарева Л.А. Гельминтоспориозные болезни ячменя и система мероприятий по защите его посевов степной зоне Северо-Западного Казахстана / Пономарева Л.А.: автореф. дис. канд. с.-х. наук. – Алматы, 2000. – 21 с.

17. Чулкина В.И. Корневые гнили хлебных злаков в Сибири / В.И. Чулкина. – Новосибирск: Наука, 1985. – 187 с.

18. Отчеты о работе ФГУ «Федеральная государственная территориальная станция защиты растений в Челябинской области» за 2006 г.

19. Постовалов А.А. Реакция ризосферных микроорганизмов и возбудите лей корневой гнили ячменя на минеральные удобрения и биопрепараты в условиях лесостепи Зауралья / Постовалов А.А.: автореф. дис. канд. с.-х. наук. – Курган, 2004. – 19 с.

20. Ткаченко М.Н. Приемы защиты ярового ячменя от гельминтоспориозной корневой гнили и темно-бурой пятнистости листьев в условиях Курганской области / Ткаченко М.Н.: автореф. дис. канд. с.-х. наук. – Курган, 2004. – 19 с.

21. Пересыпкин В.Ф. Атлас болезней полевых культур / В.Ф. Пересыпкин. – Киев: Урожай, 1981. – 240 с.

22. Шкаликова В.А. Практикум по сельскохозяйственной фитопатологии / В.А. Шкаликова. – М.: КолосС, 2002. – 205 с.

23. Панфилов А.Э. Общая и сельскохозяйственная фитопатология (курс лекций) / А.Э. Панфилов. – Челябинск, ЧГАУ. 2000. – 142 с.

24. Ишкова Т.И. Диагностика основных грибных болезней хлебных злаков / Т.И. Ишкова, Л.И. Берестецкая, Е.Л. Гасич. – Санкт-Петербург, 2002. – 76 с.

25. ГОСТ 12044–93. Семена сельскохозяйственных культур. Методы определения зараженности болезнями. – Минск: ИПК Издательство стандартов, 1995. – 87 с.

26. Безопасность жизнедеятельности на производстве (охрана труда): учебник для вузов. Г.И. Беляков. – СПб.: Лань, 2006. – 512 с: ил.

27. Шкрабак В.С. Безопасность жизнедеятельности в сельскохозяйственном производстве / В.С. Шкрабак, А.В. Луковников, А.К. Тургиев. – М.: КолосС, 2004. – с. 512: ил.

28. Зотов Б.И., Курдюмов В.И. Безопасность жизнедеятельности / Б.И. Зотов, В.И. Курдюмов. – М.: Колос, 2003. – 432 с.

29. Шкрабак В.С., Казлаускас Г.К. Охрана труда / В.С. Шкрабак, Г.К. Казлаускас. – М.: Агропромиздат, 1989. – 480 с.: ил.







Информация 







© Центральная Научная Библиотека