Центральная Научная Библиотека  
Главная
 
Новости
 
Разделы
 
Работы
 
Контакты
 
E-mail
 
  Главная    

 

  Поиск:  

Меню 

· Главная
· Биржевое дело
· Военное дело и   гражданская оборона
· Геодезия
· Естествознание
· Искусство и культура
· Краеведение и   этнография
· Культурология
· Международное   публичное право
· Менеджмент и трудовые   отношения
· Оккультизм и уфология
· Религия и мифология
· Теория государства и   права
· Транспорт
· Экономика и   экономическая теория
· Военная кафедра
· Авиация и космонавтика
· Административное право
· Арбитражный процесс
· Архитектура
· Астрономия
· Банковское дело
· Безопасность   жизнедеятельности
· Биржевое дело
· Ботаника и сельское   хозяйство
· Бухгалтерский учет и   аудит
· Валютные отношения
· Ветеринария




Контрольная работа: Комбикормовая промышленность

Контрольная работа: Комбикормовая промышленность

Классификация комбикормов по кормовой ценности

Комбикормовая промышленность выпускает несколько видов продукции, которые являются или готовым к употреблению кормом, или составной частью для приготовления в дальнейшем комбикормов или кормовых рационов, а именно: комбикорма полнорационные, комбикорма-концентраты, белково-витаминно-минеральные добавки, кормовые смеси, премиксы, карбамидный концентрат, заменитель цельного молока.

Комбикорма вырабатывают практически для всех видов продуктивных сельскохозяйственных животных, а также для подкормки северных оленей и овец, содержащихся на отгонных пастбищах. По физической структуре комбикорма подразделяют на гранулированные, брикетированные, рассыпные, крупки, крошки; по кормовой ценности — на полнорационные и комбикорма-концентраты.

Комбикорма полнорационные (ПК) полностью обеспечивают потребность животных в питательных, в том числе и биологически активных веществах. При их применении другие кормовые средства не требуются. Эти комбикорма вырабатывают в первую очередь для птицы.

Комбикорма-концентраты (КК) имеют повышенное содержание протеина, минеральных веществ и микродобавок. Их скармливают животным в ограниченном количестве как дополнение к зерновым, грубым и сочным кормовым средствам для лучшего обеспечения биологически полноценного кормления. Предназначены эти комбикорма для крупного рогатого скота, свиней, кроликов и других животных.

Кормовые смеси (КС) представляют собой продукт, изготовленный в виде однородной россыпи, не содержащий полного набора питательных веществ. Их изготовляют в основном для крупного рогатого скота на специальных установках крупных заводов из побочных продуктов крупяного производства (лузги, мучки) с добавлением мелассы, карбамида, мела, соли и других добавок.

Комбикормовые добавки —добавки, используемые вместе с другими кормовыми средствами для установления баланса питательных веществ.

Белково-витаминно-минеральные добавки (БВМД) — это однородная смесь измельченных до необходимой крупности высокобелковых и минеральных кормовых средств, обогащенная биологически активными веществами (витаминами, ферментами, аминокислотами, микроэлементами и др.), вводимыми в смесь в виде премиксов. Использование БВМД непосредственно для скармливания животным категорически запрещено как из экономических соображений, так и из-за прямого вреда, который можно нанести животным, поедающим комбикорм с очень высоким содержанием протеина (до 30...40 %). Их применяют на сельскохозяйственных предприятиях для производства комбикормов на основе кормового зерна, травяной витаминной муки и других кормовых средств. При использовании БВМД на предприятиях, расположенных при животноводческих хозяйствах, снижаются расходы на перевозку сырья, повышается оперативность в обеспечении животноводства комбикормами в необходимом ассортименте.

Амидо-витаминно-минералъная добавка (АВМД) — это белково-витаминно-минеральная добавка, в которой часть белка заменена небелковыми азотистыми веществами (карбамидом, аммонийными солями), предназначенная для приготовления комбикормов жвачным животным. Ферментами, выделяемыми микроорганизмами преджелудков жвачных животных, карбамид разлагается на аммиак и диоксид углерода, затем эти соединения синтезируются ими в бактериальный белок, хорошо усваиваемый животными.

Премиксы (П) — это комбикормовые добавки, представляющие собой высокодисперсную однородную смесь биологически активных веществ (витаминов, антибиотиков, микроэлементов и т. п.) и наполнителя (мелких отрубей). Для обогащения комбикормов и БВМД в них вводят премиксы в количестве соответственно 0,5...1,0 и 4...5%.

Премиксы вырабатывают на специализированных предприятиях, оснащенных целым комплексом оборудования для тонкого измельчения сырья, ввода жидких компонентов, сушилками солей и наполнителя и т. д. Предприятия выпускают несколько видов премиксов с разным составом биологически активных веществ: универсальные, лечебные, витаминно-аминокислотные, минеральные. Универсальные премиксы по концентрации лекарственных препаратов и витаминов относят к профилактическим.

В качестве кормовых добавок кроме вышеуказанных комбикормовые заводы вырабатывают также ферментные препараты, стимуляторы роста и стабилизаторы кишечной микрофлоры животных, кокцидиостатики. Ферментные препараты (Хостазим С, Хостазим X, Кемзайм и др.) применяют при производстве комбикормов для птиц и свиней, пищеварительный тракт которых не способен усваивать некрахмалистые полисахариды (НПС). Они разрушают НПС на низкомолекулярные соединения, что позволяет широко использовать в комбикормовом производстве сырье, богатое НПС: ячмень, овес, пшеницу, рожь, тритикале, сорго и другие мятликовые, а также подсолнечниковый шрот. В качестве стимулятора роста и стабилизатора кишечной микрофлоры в комбикорма для всех животных вводят Флавомицин 80 (действующее вещество, флавофосфолипол). Кокцидиостатики (Сакокс 120) применяют для профилактики и лечения кокцидиоза бройлеров, кур-несушек, свиней, кроликов. Эти кормовые добавки вводят или в премиксы, или в комбикорма на комбикормовых заводах, или в корма в хозяйствах при наличии смесителей.

Заменитель цельного молока (ЗЦМ) изготовляют на основе сухого обезжиренного молока (СОМ) с добавлением крахмала, животных жиров, специальных премиксов и других добавок, улучшающих питательную ценность, вкус, запах. ЗЦМ предназначен для выпойки телят, поросят и ягнят на крупных фермах и комплексах. ЗЦМ растворяют в теплой воде и выпаивают через специальные автопоилки.


Технология хранения картофеля

Картофель — продовольственная, техническая и кормовая культура.

Клубень картофеля представляет собой видоизмененный стебель, который образуется за счет утолщения концов столонов и служит местом отложения запасных питательных веществ. Место прикрепления клубня к столону называется основанием, противоположная часть — вершиной клубня. Вершина — наименее вызревшая часть клубня, на которой сосредоточена значительная часть глазков. После уборки здесь самая непрочная, легко повреждаемая, неогрубевшая кожура. В первый послеуборочный период эта часть клубня менее устойчива, чем остальные части, к пониженным температурам, под действием которых на вершине образуются темные участки мякоти — некрозы.

Картофель отличается хорошей лежкостью, благодаря его способности впадать после уборки в состояние глубокого покоя, когда почки не прорастают даже при благоприятных условиях. Продолжительность этого периода определяется прежде всего сортовыми особенностями, условиями хранения и качеством клубней.

После окончания глубокого покоя клубни способны образовывать ростки, что приводит к массовым и качественным потерям. На сроки прорастания влияют сортовые особенности, степень зрелости, влажность, освещенность и основной фактор— температура при хранении. После окончания покоя глазки, содержащие 3...4 почки, прорастают, причем прорастает обычно только центральная.

Клубни раннего картофеля покрыты эпидермисом, который легко повреждается. По мере роста и вызревания эпидермис заменяется многослойной перидермой, состоящей из 9... 13 слоев плотно сомкнутых клеток. Такое строение перидермы, наряду с локализацией веществ защитного характера, обеспечивает клубню устойчивость против микроорганизмов, повреждений, излишнего испарения влаги. Газообмен с внешней средой осуществляется за счет чечевичек.

Кроме кулинарных целей картофель широко используют в технических целях — для получения крахмала, спирта, картофелепродуктов.

Качество клубней картофеля оценивают по следующим показателям — внешний вид (целостность, чистота, отсутствие повреждений, увлажнение, прорастание, увядание, форма, окраска), запах, вкус, размер. Стандарты допускают отклонения от номинальных значений внешнего вида и размера. Продукцию с дефектами сверх норм относят к нестандартной. Не допускаются и считаются отходом клубни, у которых поверхность позеленела более чем на 1/4, увядшие, раздавленные, поврежденные грызунами, подмороженные, запаренные, с удушьем, загнившие, а также с органическими и минеральными примесями (солома, ботва, камни и т. п.).

Заготовляемый и реализуемый продовольственный картофель делят на ранний и поздний, а реализуемый — в зависимости от качества на два сорта: отборный и обыкновенный. У позднего картофеля отдельно выделяют отборный высокоценных сортов.

Низкой лежкостью отличаются клубни, пораженные болезнями. Из микробиологических заболеваний картофель поражается фитофторой, сухой, мокрой, кольцевой гнилями, которые переводят продукцию в отход, а также паршой (обыкновенной, бугорчатой), которая ограниченно допускается стандартом. Кроме того, картофель поражается серебристой, порошистой и черной паршой, поэтому перед уборкой необходимо обследовать посевы и дать им фитосанитарную оценку. Выделяют участки, пораженные болезнями. Их убирают выборочно, и больные клубни используют на корм скоту.

Кроме этого, клубни картофеля подвержены таким физиологическим расстройствам, как израстание, ржавая (железистая) пятнистость, позеленение, удушье. У хранящихся клубней может наблюдаться потемнение мякоти.

Неблагоприятный фактор при хранении картофеля — поверхностная влага, поэтому картофель, убранный копателем, необходимо просушивать в борозде на протяжении 3...4 ч (1...2 ч при сухой солнечной погоде). Картофель, убранный комбайном, просушивают в хранилище, во временных буртах или на специальной площадке под навесом с помощью активной вентиляции сухим и теплым воздухом (100 м3/ч на 1 т продукции). Для более равномерного просушивания температуру приточного воздуха поддерживают на 2...5°С ниже, чем в верхней зоне насыпи (12...15°С). Продолжительность подсушивания — от нескольких дней до 1... 2 недель в зависимости от погодных условий. Его прекращают, как только земля высохнет в верхнем 30...40-сантиметровом слое.

Эффективный прием подготовки семенного картофеля к хранению — озеленение клубней. Такие клубни более устойчивы в хранении. Для озеленения семенной картофель предварительно отсортировывают и размещают слоем 1...2 клубня при условии доступа дневного света и хорошей вентиляции. При этом картофель должен быть защищен от увлажнения. При первых признаках позеленения клубней, которое при достаточном освещении обычно наступает на четвертый-пятый день, озеленение прекращают и семенной картофель укладывают на хранение. После световой обработки картофель становится ядовитым и пригоден лишь для посадки.

Подготовка картофеля к длительному хранению и реализации предусматривает ряд операций. Это предварительное хранение клубней перед последующей сортировкой; доочистка вороха от примесей почвы, камней и растительных остатков; калибровка клубней на 2...3 фракции; предреализационная и предпосадочная подготовка (переборка, прогревание, протравливание, проращивание и т. д.).

Лучший срок сортировки картофеля, убранного копателем, — весна. При комбайновой уборке — зима, предварительно картофель кратковременно прогревают, а затем вновь охлаждают. Осенью отделяют землю, примеси, клубни массой менее 70 и более 150 г. При хранении семенного картофеля зимой или весной отбирают дефектные клубни и калибруют на три фракции: 30...50 г; 50...80 и более 80 г.

Процесс хранения картофеля условно делят на четыре периода: лечебный, период охлаждения, основной, а также период подготовки клубней к реализации или посадке.

В лечебный период создают условия для созревания клубней и залечивания механических повреждений: оптимальную температуру и высокую относительную влажность воздуха, свободный доступ кислорода.

Для дозревания клубней и зарубцовывания механических повреждений наиболее благоприятна температура 16...18 оС. Однако она может быть рекомендована только для здорового картофеля. Если в партии имеются клубни, пораженные грибными и бактериальными болезнями, то при такой температуре наблюдается быстрое их развитие и гибель картофеля. В этом случае температуру картофеля понижают до 11... 14 оС. Продолжительность лечебного периода при температуре 15...18°С составляет 10 дней, при 10... 15 °С — 14...30 дней, при 5 °С — заживления повреждений тканей клубня не происходит. Относительная влажность воздуха в этот период — 90...95 %.

После окончания лечебного периода приступают к охлаждению массы картофеля до оптимальной температуры. Для этого его вентилируют в холодное время суток. Температура подаваемого воздуха должна быть не менее чем на 2 °С ниже температуры в массе картофеля (но не ниже 0,5 °С). При хранении клубней, сильно пораженных фитофторой, температуру понижают интенсивно — на 0,5 °С в сутки, в течение 26...40 сут.

При хранении в одном хранилище нескольких сортов картофеля их группируют по требованиям к температуре. Если нет такой возможности, ориентируются на создание оптимальных условий для наиболее ценного сорта или сорта, преобладающего в хранилище. Можно выбрать среднюю температуру, которая удовлетворяла бы требованиям большинства сортов. Ранний картофель хранят при температуре 1...2°С; среднеспелые сорта — 2...3°С; поздние — 3...5 °С. Относительная влажность воздуха — 90...95 %.

При низких температурах хранения в клубнях накапливаются сахара. Если воздействие низких температур непродолжительное, то при повышении температуры большая часть сахаров снова превращается в крахмал. При длительном воздействии низких температур происходит физиологическое расстройство клубней и подавляется образование проростков, поэтому особенно опасно переохлаждение семенного картофеля ниже 1 °С.

В вызревшем картофеле при оптимальных условиях хранения содержится 15...18 % крахмала и 0,5...1,5 % сахаров. При холодном хранении количество сахаров может повышаться до 5 % и такой картофель легко чернеет при повреждении, поэтому перед использованием его нужно выдержать при 10 °С в течение 2 недель и более. Картофель, предназначенный для приготовления полуфабрикатов (пюре, гранул, хлопьев), хранят при 7...9 °С, для приготовления чипсов — при 4 °С, а за 1...2 недели до переработки прогревают при 10...15°С.

Семенной картофель перед посадкой отепляют на свету, чтобы образовались короткие зеленые ростки, не обламывающиеся при посадке. Этот прием обеспечивает раннее появление всходов и увеличивает урожайность картофеля. Отепление картофеля проводят в светлых помещениях при 15...18 оС в течение 2...3 нед.

Во всех зонах страны широко распространено хранение картофеля в буртах и траншеях. В средней зоне картофель хранят в буртах шириной 2...2,5 м, глубина котлована — 0,2...0,4 м, длина — 15...30 м. В южных зонах картофель хорошо хранится в траншеях шириной 1... 1,5 м, глубиной 0,4...0,6 м с переслойкой клубней землей. Укрытие буртов и траншей применяют в соответствии с особенностями климатической зоны. Используют активную и естественную вентиляцию. (При этом вытяжные трубы эффективнее, чем гребневые и горизонтальные).

В процессе хранения регулярно контролируют температуру. В начале сезона температуру измеряют ежедневно, а после установления постоянного режима — один раз в неделю.

В хранилищах с естественной вентиляцией картофель хранят в закромах шириной 1,5...2,5 м. Боковые стенки изготовляют из досок с просветами 2,0...2,5 см. Расстояние между стенками двух соседних закромов — 10...12 см. Задняя стенка должна отступать от стены хранилища на 20...25 см. Передняя стенка разборная. Пол закрома приподнят на 25...30 см над полом хранилища, решетчатый, с просветом между планками 2...3 см. Общая площадь вытяжных труб — 2500...5000 см2 на каждые 100... 120 т картофеля. Картофель хорошего качества загружают на высоту не более 1,5 м, низкого качества — 0,8... 1 м.

Чтобы предупредить случаи отпотевания, насыпь картофеля укрывают сверху соломой, соломенными матами или мешками. Увлажненное укрытие периодически меняют.

В хранилищах с активной вентиляцией картофель размещают навалом (продовольственный) и в закромах (семенной) со сплошными стенками высотой 4...5 м. Увлажненные клубни обсушивают преимущественно днем, когда относительная влажность воздуха низкая. Обсушенный картофель вентилируют в режиме лечебного периода: при высоте насыпи 4...5 м подают 50...200 м3/ч воздуха на 1 т. Если в лечебный период в насыпи картофеля повышается температура, то переходят на режим вентиляции периода охлаждения. Его продолжительность 2040 сут; удельная подача воздуха — 50...75 м3/т в час. В основной период хранения поддерживают оптимальную температуру. Если она благоприятна, вентиляцию включают на 2...3 ч 1...2 раза в сутки для смены воздуха в межклубневых пространствах и устранения перепада температур по высоте насыпи картофеля. В начале весны в массе картофеля создают запас холода. Для этого с помощью вентиляции температуру в насыпи картофеля снижают до 1,5...2°С.

Хранение продовольственного картофеля в хранилищах с активным вентилированием навальным способом позволяет на 25...35% увеличить полезную вместимость хранилищ и обеспечить механизацию работ. При этом картофель загружают по всей площади пола сплошным слоем высотой 3...5 м. У стен хранилища устанавливают деревянные щиты, чтобы предупредить переохлаждение клубней в зимнее время. Пространство между верхом насыпи и перекрытием должно быть 0,7... 1 м. Для измерения температуры и осмотра продукции сверху укладывают трапы из досок.

Картофель можно хранить и в таре (обычно в контейнерах), что позволяет защитить клубни от механических повреждений и механизировать все погрузочно-разгрузочные работы. Контейнеры загружают в поле во время уборки, перевозят в хранилище и клубни перебирают.

Если контейнеры загружают на буртовых полях, то предварительно картофель 2...3 недели выдерживают. При загрузке контейнеры недогружают на 5...6 см. В хранилище их устанавливают в штабеля по сортам на площади 6...8 х 6...8 м. Расстояние между краями верхнего контейнера и перекрытием должно быть не менее 0,8... 1 м. Между штабелями и стенами оставляют проход шириной 0,5...0,7 м. Вентиляционная система картофелехранилищ должна обеспечивать не менее чем 20-кратный обмен воздуха в час и постоянное его перемешивание.

Основной причиной порчи картофеля при хранении являются болезни (фузариоз, фитофтороз, парша и др.), большинство из которых заносится в хранилище с урожаем, поэтому прежде всего необходима правильная технология выращивания здорового картофеля. Одной из важнейших проблем является и снижение механических повреждений.

Очень важны фитосанитарные мероприятия в поле и в хранилище. Подмороженные клубни, а также пораженные удушением, бактериальными и грибными гнилями предварительно выдерживают 10... 15 дней во временных буртах, перебирают, а затем отдельно закладывают на хранение при пониженной высоте насыпи.

В партиях, где содержание клубней, пораженных фитофторозом и бактериозом, превышает 2 %, снижают температуру воздуха в лечебный период до 11... 13 °С, а затем охлаждают со скоростью 1 °С в сутки. При 5... 10 % больных клубней их хранят при температуре 2...3 °С, независимо от сорта.

Состояние картофеля во время хранения определяют отбором и клубневым анализом проб, которые проводят 1...3 раза в два месяца.

При гнездовом типе поражения болезнями картофель не перебирают, так как это способствует массовому перезаражению клубней. В этом случае из насыпи выбирают больные и соприкасавшиеся с ними клубни, очаг опыливают сухим мелом и закладывают здоровым картофелем.

Если количество больных клубней по результатам клубневого анализа превышает 5 % и температуру в массе не удается снизить до оптимальной, проводят сплошную переборку.

Хорошие результаты дает хранение картофеля в регулируемой газовой среде. Оптимальный состав газовой среды: СО2 — 1 %; О2 — 4...6 %; N2 — 93...95 %. Температура хранения — 3...4оС, относительная влажность воздуха — 85...90 %.

Для предотвращения преждевременного прорастания картофеля широко используют различные регуляторы роста (ГМК, препараты М-1 и ТБ, нониловый спирт и др.), а также облучение клубней γ-лучами.

Требования, предъявляемые к зернохранилищам (конструктивные, технологические, экономические)

Зернохранилище — это здание или сооружение для хранения зерна. По назначению различают хранилища продовольственного, фуражного и семенного зерна. По способу хранения хранилища бывают напольные (зерносклады), закромные (бункерные) и силосные.

Дапольные зернохранилища — это одноэтажные здания, как правило, с верхней и нижней галереями. В галереях установлены механизмы для разгрузки и выгрузки зерна. Напольные зернохранилища строят с горизонтальными или наклонными полами.

В хранилищах с горизонтальными полами можно одновременно хранить несколько разных партий зерна. Для этого хранилища делят на отсеки разборными щитами.

Зернохранилища с наклонными полами, заглубленными на 6...7 м, строят в местах с низким уровнем грунтовых вод. При этом проходную галерею с нижним транспортером размещают на глубине более 8 м, что значительно увеличивает вместимость хранилищ и позволяет полностью механизировать их разгрузку через нижние люки. Угол наклона полов должен быть не менее 36...40°С.

Закромные зернохранилища используют для хранения нескольких партий или сортов зерна. Это склады, разделенные стационарными перегородками на отсеки или закрома. Закромные хранилища оборудуют также бункерами с наклонными и конусными днищами, благодаря чему зерно разгружается из них самотеком. Закрома и бункера обычно устраивают в два ряда с проходом посередине.

В хранилищах для продовольственного и кормового зерна закрома и бункера примыкают к наружным стенам, для семенного — между стенами и закромами оставляют проход или делают теплоизоляцию.

Силосом называется емкость для хранения зерна, высота которого более чем в 1,5 раза превышает диаметр. Высота силосов обычно достигает 25...30 м, в плане они круглые, прямоугольные или многоугольные. Силосы строят с днищами в виде конусов или воронок для автоматической выгрузки зерна.

Напольному и силосному способам хранения зерна присущи как достоинства, так и недостатки. При напольном хранении площадь соприкосновения зерновой массы с окружающим воздухом значительно больше, поэтому при проветривании складов зерновая масса частично подсыхает и охлаждается, особенно ее поверхностные слои. Снижение высоты насыпи позволяет хранить зерновую массу повышенной влажности. В напольных хранилищах можно хранить не только зерно, но и зернопродукты в таре. В то же время такие зернохранилища трудно полностью механизировать и герметизировать.

При силосном хранении эффективнее используется объем зернохранилища, здесь можно полностью механизировать приемку. Однако стоимость силосных хранилищ выше напольных. В то же время затраты на сооружение силосных хранилищ быстро окупаются благодаря меньшим издержкам при эксплуатации и высокой производительности труда.

Существуют и некоторые другие виды зернохранилищ. Пакгауз — склад железнодорожного типа с полом на уровне пола вагонов. Пакгауз предназначен для приемки, хранения и отгрузки любых штучных и насыпных грузов.

Сапетка, или кош, — небольшой склад с решетчатыми стенами для хранения кукурузы в початках, продольная сторона которого расположена поперек господствующих в данной местности ветров.

Вентилируемый бункер — специальное металлическое зернохранилище небольшой вместимости, предназначенное для приемки, обработки (вентилирования, сушки) и хранения свежеубранного зерна и семян. Вентилируемые бункера могут быть расположены по одному и в виде механизированных батарейных комплексов.

Металлический силос-зернохранилище значительной вместимости с плоским и наклонным полом. Его используют в единичных экземплярах и в виде батарей.

Элеватор — комплекс рабочей башни и силосного корпуса для приемки, обработки, хранения и отпуска зерна различных культур при полной механизации всех работ и дистанционном контроле за состоянием хранящегося зерна.

Асфальтированная площадка — специально подготовленный участок территории с утрамбованным или асфальтированным полом для временного размещения зерна и его очистки на передвижных зерноочистительных машинах.

Бунт — временное сооружение со стенами из щитов, досок или других вспомогательных материалов, устроенное на специальной площадке и укрытое сверху брезентом или пленкой.

Навес — сооружение без стен, но с крышей и асфальтированным полом.

Механизированный ток — комплекс оборудования и сооружений для приемки, первичной обработки свежеубранного зерна и его кратковременного хранения под навесом.

Хранилище любого типа проектируют и строят с обязательным учетом следующих основных особенностей зерна.

1. Зерно — живой организм, сохранность которого во многом зависит от условий окружающей среды — температуры и влажности.

2. При правильном хранении качество зерна полностью сохраняется и во многих случаях улучшается. Нарушение режимов хранения зерновой массы ведет к ухудшению качества зерна.

3. Зерновая масса обладает свойством сыпучести и оказывает значительное давление на пол и стены хранилища.

4. Производство зерна носит сезонный характер. Зерно нового урожая поступает на обработку и хранение в сжатые сроки (в течение 10...20 дней), а расходуется на протяжении всего года. В связи с этим большая часть зернохранилищ используется не полностью в течение года.

5. Зерно и семена занимают только часть склада. Необходимость размещения технологического оборудования, оставления свободного пространства для наблюдения за зерном приводит к тому, что в зернохранилищах на 1 т хранимого зерна приходится 2,5...3 м3 помещения.

Помимо физических и биологических особенностей зерновой массы учитывают показатели экономического характера, отражающие капитальные затраты и стоимость хранения.

Основные требования к зернохранилищам перечислены ниже.

1.Вместимость хранилища должна обеспечивать размещение всего зерна с учетом переходящих остатков урожаев предшествующих лет.

2.Хранилища должны надежно защищать зерно от грунтовой влаги, атмосферных осадков и грызунов. Не должно быть просыпей и смешивания зерна, а также условий для развития и жизнедеятельности вредителей.

3.Хранилища должны быть прочными, долговечными, пожаро- и взрывобезопасными.

4.Должна быть предусмотрена возможность наблюдения за зерном в период хранения.

5.Все процессы, связанные с погрузочно-разгрузочными работами и обработкой зерна, должны быть механизированы.

6.Хранилища должны быть безопасными для работающих, обеспечивать надлежащие санитарно-гигиенические условия труда и хранения зернопродуктов.

7.Должны быть недорогостоящими, с минимальными эксплутационными расходами.

8.К месту хранения зерна должны быть хорошие подъездные пути.

При эксплуатации зернохранилищ высоту слоя зерна принимают в зависимости от его качества, но не более расчетной — около стен 2,5 м и в середине 5 м. Для этого на стенах высоту засыпки отмечают красной линией.

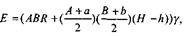
Вместимость склада с горизонтальным полом, т:

          (1)

где А — внутренняя длина склада, м; В — внутренняя ширина склада, м; R — высота засыпки зерна около стен, м; а — длина насыпи зерна поверху, м; b — ширина насыпи зерна поверху, м; Н— высота насыпи зерна в середине склада, м; h — высота засыпки зерна около стен, м; у— натура, т/м3.

Длина и ширина насыпи зерна поверху, м:

а = А-2(Н- h)ctg α; в=В- 2(H-h)ctg α,


где α — угол естественного откоса, град; α=25°.

При размещении в складе вместимость, полученную по формуле (1), уменьшают на 10...20 %.

Стены зернохранилища должны иметь достаточную прочность, рассчитанную на воздействие нагрузки от давления зерна, крыши и ветра. Одновременно они должны хорошо защищать зерно от атмосферных осадков и обладать достаточной гигроскопичностью. Внутренняя поверхность стен не должна иметь щелей, где могут развиваться вредители.

Ввиду того что боковое давление зерна на стену распределяется неравномерно, ее толщину по высоте делают неодинаковой (у основания 523 мм; в середине 380 мм; в верхней части 250 мм). При этом через каждые 3 м располагают контрфорсы, что придает стенам достаточную прочность и устойчивость.

Для предохранения стен от грунтовой влаги между ними и фундаментом делают гидроизоляционную прослойку.

Полы зернохранилища также должны обладать достаточной прочностью и противостоять нагрузке от колес передвижных механизмов. Они должны обладать хорошей влагонепроницаемостью, защищать зерно от проникновения грызунов и исключать возможность развития вредителей.

В современных зерновых складах делают асфальтовые полы. Каменные и бетонные полы нежелательны, так как они разрушаются при перемещении передвижной техники, что приводит к увеличению зольности зерна. Асфальтовое покрытие делают толщиной 25...30 см. У стен полы закругляют, чтобы облегчить их очистку.

Крыша склада должна быть прочной, легкой, огнестойкой и малотеплопроводной.

Основной каркас крыши, как правило, изготовляют из дерева. Для кровли используют шифер, кровельную сталь и рубероид. В типовых проектах угол наклона крыши 26°.

В последних проектах зернохранилищ применяют железобетонные и металлические конструкции.

Ворота шириной 2,2 м, высотой 2,6 м делают как по длине, так и в торце склада. Их делают распашными, на давление зерна не рассчитывают, поэтому с внутренней стороны, около проема укладывают закладные доски, которые давлением зерна прижимаются к каменной стене. Над закладными досками должна быть устроена сетка, препятствующая проникновению в склад птиц. Иметь большое число ворот нецелесообразно.

Окна делают размером 60 х 140 см между воротами склада в стенах над уровнем зерна. Оконные проемы необходимо затягивать проволочной сеткой для защиты от птиц и предотвращения попадания стекла в зерно. Оконные рамы подвешивают на горизонтальных петлях. Их открывают снаружи, что позволяет проветривать склад, не заходя внутрь.


Список литературы

1.  Широков Е.П. Технология хранения и переработки плодов и овощей с основами стандартизации. – М.: Агропромиздат, 1988. – 319 с.: ил.

2.  Хранение и технология сельскохозяйственных продуктов. Под ред. Л.А. Трисвятского. М., "Колос", 448 с. с ил., 1975

3.  Иванов А. Ф. и др. Кормопроизводство/А. Ф. Иванов, В. Н. Чурзин, В. И. Филин. — М.: Колос, 1996. — 400 с: ил.







Информация 







© Центральная Научная Библиотека