Контрольная работа: Особенности расселения населения РФ. Формы территориальной организации населения
КОНТРОЛЬНАЯ
РАБОТА
Тема
«Особенности расселения населения РФ. Формы ТОН»
Введение
Одна из особенностей России заключается в неравномерном размещении
природных ресурсов и населения, а также в наличии диспропорций между
размещением природного потенциала и сформировавшегося экономического
потенциала. Так, значительная часть минерально-сырьевых ресурсов страны
размещена в восточных районах, преимущественно в Сибири, т.е. в труднодоступных
районах с экстремальными природными условиями. При этом почти 85% населения
России сконцентрированы в европейской части страны. В результате освоение и
эксплуатация новых источников природных ресурсов невозможны без привлечения в
восточные районы трудовых ресурсов. Поэтому освоение Сибири всегда было связано
с массовым переселением. Кроме того, диспропорции в размещении промышленности и
населения России, с одной стороны, и природные ресурсов – с другой, усиливают
значимость транспортного фактора, ведут к заметному удорожанию производства за
счет транспортной составляющей.
Итак, одна из важных особенностей России – это обширность
территории. Огромные расстояния служат резкому удорожанию всех средств
сообщения и связи, резко повышают удельные энергетические затраты, т.е.
расстояние – это тяжелейшее экономическое бремя. Кроме того, говоря об обширной
территории России, следует иметь в виду, что Россия не только мировой лидер по
площади территории, но и мировой лидер по суровости климата.
На территориях с экстремальными природными условиями требуется
больше топливно-энергетических и других ресурсов. Так, на эффективных
территориях затраты энергетических ресурсов на производство единицы готовой
продукции в 2–3 раза ниже, чем в высокоширотных и высокогорных странах и
регионах.
Эти факторы оказывают существенное влияние на расселение людей по
территории страны. Этим объясняется стремление населения к заселению более
выгодных с географической, экономической и социальной стороны территорий.
Под расселением подразумевается сеть, или система, населенных
пунктов на той или иной территории. Это составная часть среды, окружающая
человека. Не следует смешивать заселение с расселением, поскольку заселение –
процесс исторический, связанный с освоением новых территорий, а расселение –
результат этого освоения.
В России выделяются три главные зоны расселения – основная,
северная и южная. Они различаются условиями жизни и хозяйственной деятельностью
людей, а также плотностью населения.
В наши дни существует проблема естественной убыли населения.
Естественная убыль населения в определенной мере компенсируется внешним
миграционным приростом. Внешний миграционный обмен России делится на два
потока: со странами СНГ и Балтии (бывшими Союзными Республиками СССР) и с
остальными странами.
Компенсация естественной убыли населения миграционным приростом
вместе с положительными аспектами, в составе которых прирост рабочей силы, сопровождается
негативным влиянием на демографическую ситуацию в целом. В частности, мигранты
усиливают давление на ослабленную социальную сферу России, обостряют
одностороннюю конкуренцию спроса на рынках жилья и труда.
1.
Особенности
расселения РФ
1.1 Понятие и типы зон расселения
Расселение населения – система населенных пунктов на конкретной
территории. Оно включает 2 основных элемента: размещение населения
(исторический процесс, связанный с освоением земель.) и миграцию.
Факторами, влияющими на расселение являются естественное
(смертность и рождаемость) и механическое движение (миграция). Миграция –
перемещение людей через границы тех или иных территорий с переменой места
жительства навсегда или на более или менее длительное время.
Первичной единицей размещения населения на любой территории
является населенный пункт (поселение) – населённое место в пределах
одного застроенного земельного участка (город, посёлок городского типа, село и
пр.). Обязательный признак населённого пункта – постоянство использования его
как места обитания из года в год (хотя бы сезонно).
Существуют исторически сложившиеся в РФ типы поселений:
город, посад, слобода, погост, село, сельцо, деревня, аул, станица и др.
Главным показателем,
отражающим размещение населения является плотность (число жителей, приходящихся
на 1 кв. км территории). Средняя плотность населения по России составляет 8,4 чел./
км². Наибольшая плотность в России наблюдается в г. Москве и
Северо-Кавказском ФО – около 330 чел./км². Самая низкая плотность
населения в Российской Федерации – в Эвенкийском районе Красноярского края –
0,1 чел./км².
При заселении территории РФ исторически сформировались 3 зоны
расселения:
1.
основная зона
Это основная зона расселения – Центральная Россия. Данная зона
представляет вид большого «треугольника» с вершинами в С.-Петербурге, Сочи,
Абакан. Серерная граница этого треугольника – линия Оренбург-Пермь-Красноярск,
а южная граница – Сочи-Астрахань-Оренбург. На Главную полосу приходится примерно
треть территории России, но около 94% ее населения. В этой зоне
сконцентрированы основные города, в том числе все крупнейшие города и
города-миллионеры. Средняя плотность населения достигает 40 чел. на 1 км»,
а плотность сельского населения – 10 чел. на 1 км2.
2.
северная зона
Она занимает 2/3 территории страны, но проживает здесь лишь 5%
населения. Это районы тайги, тундры и лесотундры с суровыми природными
условиями, расположенные севернее Главной полосы расселения. Средняя плотность
населении здесь меньше 1 чел. на 1 км2, а сельского – менее
1 чел. на 10 км2, т.е. большая часть территории фактически
не заселена и не освоена. Преобладает городское население, сконцентрированное в
отдельных очагах, связанных в основном с добычей минеральных ресурсов (районы Норильска,
Воркуты, М. и а да на и др.).
3.
южная зона
Она
занимает сравнительно небольшую территорию на юге Сибири (республики Алтай,
Тыва и некоторые прилегающие территории). К ней же относится и
Прикаспийская низменность. В этой зоне проживает около 1% населения России.
Средний плотность здесь также низка (около 2,5 чел. на 1 км2),
хоти, в отличие от Северной зоны, преобладает сельское население, т.е. это тоже
практически неосвоенная территория.
Существует 3
группы особенностей, влияющих на расселение населения:
1)
этнонациональные
По
принадлежности к языковым группам выделяют:
ü индоевропейская
ü финоугорская
ü северокавказская
ü алтайская
2)
полеэтнические
Предполагает
распыленность в размещении народов, обусловленная несоответствием размещения
многих народов и ограниченными территориями соответствующих субъектов
Федерации. Численность коренных народов снижается в следствии ассимиляции
русских на территориях этих народов.
3)
наличие определенных ландшафтно-этнических групп
·
северно-европейская
·
урало-поволжская
·
северокавказская
·
среднесибирская
·
северо-сибирская
·
южно-сибирская
·
дальневосточная
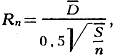
1.2 Методы расчета расселения
Особенностью размещения населения в РФ является его
неравномерность. Для определения степени равномерности расселения населения
используют несколько методов. Например, метод анализа ближайшего соседства
(подсчёт расстояний от каждого поселения до ближайшего к нему населенного
пункта, суммирование таких показателей и расчёт среднего расстояния по всей территории):
где:
Rn – показатель, характеризующий территориальную
концентрацию поселений;
– среднее расстояние между ближайшими поселениями;
S – площадь изучаемой территории;
n – число поселений.
При совершенно равномерном распределении показатель получает
максимальное значение (≈ 2,15); при скученности населения в одном
поселении Rn=0; при беспорядочном, случайном их распределении – 1,0.
Таким образом создаётся возможность описать числом по непрерывной
шкале значений от 0 до 2,15 любое распределение поселений по территории страны.
Степень равномерности размещения населения измеряется также с
помощью индекса территориальной концентрации (кт. к.), определяемого
по формуле:
кт. к.
= 0,5* |Si - Pi|*100%,
где Si и Pi - доля площади и доля населения
i-того региона в общей площади и населении всей страны.
1.3 Типы расселения населения
Большинство поселений, как правило, служит не только пунктом
жительства людей, но также местом размещения производственных объектов
(заводов, ферм, и др.), а также учреждений производственной и
непроизводственной инфраструктуры (дорог, магазинов и т.п.).
Принято выделять несколько типов расселения населения:
1) городское и сельское
2) постоянное и временное
Жители населяют территория постоянно или временно (сезонно).
3) групповое и рассеянное
Групповое – дома жителей расположены рядом друг с другом, образуя
компактные поселения, а рассеянное – каждый расположен на своем земельном
участке.
4)
системное и изолированное
Системное –
взаимосвязанное расселение население.
Главным фактором формирования того или иного типа поселения
является социально-экономический фактор, а именно уровень развития общества.
2.
Формы
ТОН
Исторически в РФ возникло несколько типов поселений:
1.
город
2.
посад
3.
слобода
4.
погост
5.
село
6.
сельцо
7.
деревня
8.
займище
9.
аул
10.
станица
В настоящее время ФЗ №131 (Об общих принципах местного
самоуправления в РФ) определяет следующие виды населенных пунктов в России:
а) городской округ (городское поселение, которое не входит
в состав муниципального района и органы местного самоуправления которого
осуществляют полномочия по решению установленных настоящим Федеральным законом
вопросов местного значения поселения и вопросов местного значения
муниципального района, а также могут осуществлять отдельные государственные
полномочия, передаваемые органам местного самоуправления федеральными законами
и законами субъектов Российской Федерации)
б) городское поселение (город или поселок, в которых
местное самоуправление осуществляется населением непосредственно и (или) через
выборные и иные органы местного самоуправления)
в) сельское поселение (один или несколько объединенных
общей территорией сельских населенных пунктов (поселков, сел, станиц, деревень,
хуторов, кишлаков, аулов и других сельских населенных пунктов), в которых
местное самоуправление осуществляется населением непосредственно и (или) через
выборные и иные органы местного самоуправления)
г) город федерального значения
Отличие их от других субъектов заключается в особой форме
организации местного самоуправления. Внутри городов федерального значения
образованы внутригородские муниципальные образования (в Москве таких
муниципальных образований 125, в Санкт-Петербурге 111). В целях сохранения единства
городского хозяйства часть полномочий, закрепленных законом за органами
местного самоуправления, сохраняется за органами государственной власти
субъекта федерации.
Критерии подразделения поселений:
1. Преобладающая экономическая функция поселения. При этом главной
отраслью в сельских населенных пунктах, как правило, является сельское
хозяйство, а в городских – несельскохозяйственные отрасли экономики.
2. Размер поселения, т.е. количество жителей в нем, – городские
поселения обычно крупнее сельских.
3. Административное значение – если оно есть, то поселение считается
городским.
4. Плотность населения – в городских поселениях она намного выше,
чем в сельских, за счет более плотной и более многоэтажной застройки.
5. Степень благоустройства – в городских поселениях она выше, чем
в сельских.
6. Историческое значение, закрепленное юридическими актами, – поселения
являются городскими или сельскими, потому что в прошлом они получили
соответствующий статус, закрепленный правовыми документами.
Городские и сельские населенные пункты являются первичными
звеньями территориального размещения производства и комплексного развития
регионов страны. В соответствии с формами и типами населенных пунктов принято
классифицировать население на два больших типа – городское и сельское.
2.1 Городское население
Основными признаками, определяющими городское поселение, служат:
1. численность населения населенного пункта
2. род занятий населения
Город – населенный пункт, большая часть населения которого занята в
промышленности, транспорте, связи, торговле и социальной сфере. Город в РФ
должен иметь не менее 12 тысяч жителей и не менее 85% населения, занятого вне
сельского хозяйства. Доля горожан составляет 73% от общей численности населения
страны.
Самый
крупный город в России – Москва, в нём живёт более 10 миллионов жителей. Самый
маленький город в России – Магас (столица Ингушетии), имеет население всего 275
жителей.
По
численности жителей города подразделяют на:
ü малые (до 50 тыс. жителей)
ü средние (51–100 тыс. жителей)
ü большие (101–250 тыс. жителей)
ü крупные (251–500 тыс. жителей)
ü крупнейшие (500 тыс. - 1 млн. жителей)
ü города-миллионеры (более 1 млн. жителей)

Города-миллионеры
РФ (на 01.01.2009 г.)
По
функциональному назначению городские поселения подразделяют на города:
1)
с разнообразными функциями (Например, Москва)
2)
с преимущественно промышленными функциями (Например, Н. Тагил)
3)
города-курорты (Например, Сочи)
4)
города-наукограды и города-научно-исследовательские центры
(Например, Зеленоград, Королев)
В настоящее
время в РФ насчитывается 1098 городов и 1850 ПГТ, из них 11-города миллионеры,
выполняющие функции центров городских агломераций.
Городская
агломерация – компактное скопление
населённых пунктов, главным образом городских, местами срастающихся,
объединённых в сложную многокомпонентную динамическую систему с интенсивными
производственными, транспортными и культурными связями.
Различают моноцентрические
(сформировавшиеся вокруг одного крупного города-ядра, например, Московская
агломерация); полицентрические (имеющие несколько городов-ядер,
например, Кавказские Минводы) и бицентрические
(Чебоксары-Новочебоксарск) агломерации.
Для средних
и малых городов основной проблемой территориальной организации является
обеспечение занятости населения в зависимости от профиля их развития.
Например, в
городских поселениях с легкой промышленностью возрастает сложность
трудоустройства мужского населения, а в городах с преобладанием добывающей или
перерабатывающей промышленности – сложность в трудоустройстве женской части
населений. развитие экономики РФ требует обязательного комплексного развития
хозяйства городских поселений, при том различного типа.
2.2 Сельское население
Сельское
расселение – распределение жителей по населенным
пунктам, находящимся в сельской местности. Притом сельской местностью считается
территория, расположенная за границами городских поселений.
Сокращение
сельских поселений связано с процессами рыночных преобразований и недостаточным
уровнем развития социальной и бытовой сферы. Сельское население России по
данным последней переписи населения (1.01.2002 г.) составило 27% от общей
численности населения страны. Оно представлено занятыми в отраслях
сельскохозяйственного производства, а также социальной сферы.
Типы
сельских поселений разнообразны. На большей части территории России типичные
сельские населенные пункты – это:
ü
села (старые более крупные поселения, имевшие в прошлом или
сохранившие до сих пор церкви);
ü
деревни (старые небольшие поселения, не имевшие церкви);
ü
поселки (новые поселения, возникшие за годы советской власти или в
последнее десятилетие).
В то же
время в русских регионах Северного Кавказа, населенных казаками, сельские
поселения называются станицами (имеются и хутора, но в настоящее время это, как
правило, большие поселения, бывшие настоящими хуторами в далеком прошлом), а в
национальных республиках Северного Кавказа – аулами.
Для России
характерен деревенский тип расселения, который сложился исторически и связан с общинным
землепользованием.
Сельские
населенные пункты классифицируются в зависимости от размера (численности
населения):
1)
мельчайшие (до 50 жителей)
2)
мелкие (51–100 жителей)
3)
средние (101–500 жителей)
4)
крупные (501–1000 жителей)
5)
крупнейшие (свыше 1000 жителей)
Сельское
население страны в основном сосредоточено в поселениях с числом от 1000 жителей
(≈52%). В 1990-е годы численность населения динамично менялась.
Сокращение численности сельского населения привело к уменьшению количества сельских
населенных пунктов, а также плотности их размещения. Особенно ярко этот процесс
был отмечен в европейской части России (ЦФО, СЗФО и ПФО).
В отличие
от городского населения на уровень территориальной организации сельских
поселений влияют природно-климатические факторы. Это связано с тем, что
развитие сельского хозяйства зависит от почвенных и климатических условий.
Именно поэтому, например, в зонах тайги и тундры населенные пункты
располагаются вдоль рек и озер.
Заключение
Характер расселения населения – его распределение на городское и
сельское – определяет степень урбанизированности территорий и распространения
городского образа жизни, занятий и является одним из показателей качества
населения, измеряя степень продвижения от традиционного аграрного общества к
индустриальному и постиндустриальному.
По данным переписи населения 2002 года, 73% россиян – городские
жители, 27% – сельские. Таким же было это соотношение по данным предыдущей
переписи населения 1989 года. Одна из основных особенностей демографической
ситуации последних десятилетий в стране – концентрация городского населения в
небольшом количестве густонаселённых центров. Более 60 процентов населения
России сосредоточено в трёх федеральных округах – Центральном (26%),
Приволжском (22%) и Южном (16%). Самым малочисленным является Дальневосточный
федеральный округ – 4,6% населения. Треть жителей России сосредоточена в
крупнейших «городах-миллионерах»: в Москве, Санкт-Петербурге, Новосибирске, Екатеринбурге,
Нижнем Новгороде, Самаре, Омске, Казани, Челябинске, Ростове-на-Дону, Уфе.
Москва входит в число 20 самых крупных городов мира.
Главное отличие сельских поселений от городских – занятие их
жителей преимущественно сельским хозяйством. В действительности в современной
России сельским хозяйством нзанимается лишь 55% сельского населения, остальные
45% работают в промышленности, транспорте, непрпоизводствееной сфере и других
«городских» отрослях экономики. В начале 21в. в России насчитывается примерно
150 тыс. сельских населенных пунктов, в которых проживает около 39 млн. чел. (27%
всего населения страны).
В России используется сочетание преобладающих экономических
функций и размера. В городских поселениях сельским хозяйством должно быть
занято не более 15% работников. При этом разновидностями являются: 1) города, в
которых должно проживать не менее 12 тыс. чел.; 2) поселки городского типа, в
которых должно проживать не менее 3 тыс. чел. Таким образом, сельские поселении
в России – это те, в которых или проживает менее 3 тыс. чел., или более 15%
занятых работает в сельском хозяйстве, поэтому они подразделяются также на две
разновидности: 1) сельскохозяйственные 2) несельскохозяйственные.
Список использованной литературы
1. Е.Г. Чистяков. Учеб. пособие / Территориальная
организация населения. – М: Вузовский учебник, 2005.
2. Симагин Ю.А. Территориальная организация населения: Учебное
пособие – М.: Издательско-торговая корпорация «Дашков и К», 2004.
3. Электронная энциклопедия http://ru.wikipedia.org